不銹鋼電化學拋光液一般含有硫酸、磷酸、鉻酐及少量的水,以及在電解過程中溶入的Fe3+、Cr3+、Ni2+、Mn2+等雜質。當采用標準堿液連續滴定時,這些金屬雜質的鹽類會水解,使分析結果偏高。因此,在滴定過程中要加入絡合劑掩蔽金屬雜質,以防止水解。絡合掩蔽劑采用六偏磷酸鈉或EDTA。
采用六(liu)(liu)偏磷(lin)酸鈉(na)時(shi),由(you)于其水(shui)溶液(ye)pH=6,采用甲基紅和溴甲酚綠混合指示劑在第(di)一個等電點(dian)滴(di)定時(shi)pH=5,所以(yi)六(liu)(liu)偏磷(lin)酸鈉(na)不消耗(hao)堿(jian),用酚酞為指示劑進行第(di)二(er)個等電點(dian)滴(di)定時(shi)pH=9.5,六(liu)(liu)偏磷(lin)酸鈉(na)就會耗(hao)去相應量的堿(jian),此(ci)堿(jian)量需在計算中扣除。其反應式如下。
第(di)一個等電(dian)點時(pH=5):
H2SO4+2NaOH→Na2SO4+2H2O
H3PO4+NaOH→NaH2PO4+H2O
H2CrO4+NaOH→NaHCrO4+H2O
第(di)二個等電點時(pH=9.5):
NaH2PO4+NaOH→Na2HPO4+H2O
NaHCrO4+NaOH→Na2CrO4+H2O
(NaPO3)6+6NaOH→6Na2HPO4
若是采用 EDTA,從(cong)絡合能力看比(bi)六偏磷酸鈉好(hao),但第(di)一(yi)個等(deng)電(dian)(dian)(dian)點(dian)時(shi)(shi),0.05mol/L的EDTA溶液的pH約為(wei)4,離第(di)一(yi)個等(deng)電(dian)(dian)(dian)點(dian)較遠,需消(xiao)耗(hao)一(yi)定量的氫氧化(hua)(hua)鈉,到達(da)第(di)二個等(deng)電(dian)(dian)(dian)點(dian)時(shi)(shi)進一(yi)步消(xiao)耗(hao)氫氧化(hua)(hua)鈉,需分別扣除。
扣除方法(fa):取一(yi)個(ge)同(tong)(tong)本操作(zuo)中(zhong)所加絡合掩蔽劑(ji)用量相(xiang)同(tong)(tong)的絡合掩蔽劑(ji),加水稀釋(shi),進(jin)行空(kong)白實驗,(不加電(dian)化(hua)(hua)學拋光液(ye)),分(fen)別以甲基紅、溴甲酚(fen)綠指示劑(ji)用氫氧(yang)化(hua)(hua)鈉(na)標準液(ye)滴(di)定至(zhi)第(di)一(yi)個(ge)等電(dian)點,由紅變綠,記(ji)錄(lu)(lu)耗用的氫氧(yang)化(hua)(hua)鈉(na)毫(hao)升數(shu),以酚(fen)酞(tai)為指示劑(ji)用氫氧(yang)化(hua)(hua)鈉(na)標準液(ye)滴(di)至(zhi)第(di)二個(ge)等電(dian)點,由綠色變紫(zi)紅色,記(ji)錄(lu)(lu)耗用的氫氧(yang)化(hua)(hua)鈉(na)毫(hao)升數(shu),分(fen)別在計算(suan)中(zhong)減去(qu)。
1. 試劑
①. 標準0.5mol氫氧(yang)化(hua)鈉(na)溶液(ye)。稱取20g氫氧(yang)化(hua)鈉(na)溶于蒸餾水中,用(yong)水在量瓶(ping)中稀釋(shi)至1L.
標定:稱(cheng)取在120℃干(gan)燥2h后的(de)分(fen)析純苯(ben)二甲酸氫(qing)(qing)鉀(KHC8H4O4)4g(四位(wei)有效數(shu)字P)于(yu)250mL錐形杯中,加(jia)水100mL,溫熱使其溶解,加(jia)入酚酞指示劑2滴(di),用配制好的(de)氫(qing)(qing)氧(yang)化(hua)鈉(na)溶液滴(di)定至淡紅色為終點,記錄(lu)耗用的(de)氫(qing)(qing)氧(yang)化(hua)鈉(na)溶液為V(mL)。
計算:標準氫氧(yang)化鈉溶(rong)液的摩爾濃(nong)度
M= P × 1000 / V × 204.2 (mol/L)
②. 0.1mol六(liu)偏磷(lin)酸的溶液。稱取120℃干燥(zao)2h后的分(fen)析純(chun)六(liu)偏磷(lin)酸鈉61.20g,溶于(yu)蒸餾(liu)水中(zhong),用(yong)水在容量瓶中(zhong)稀釋至1L。不(bu)需標定。
③. 0.05mol EDTA標準溶液。②和③中兩者擇其一,稱取分析純EDTA(乙二胺四乙酸二鈉,其分子式C10H14N2O8Na2·2H2O)20g,溶解于熱蒸餾水中,冷卻后,用水在容量瓶中稀釋至1L。
標定:稱(cheng)取(qu)分析(xi)純金屬鋅(xin)0.4g(準(zhun)確稱(cheng)重至(zhi)四位有(you)效數字(zi)P),在250mL錐(zhui)形瓶中(zhong)(zhong)用1:1試(shi)劑(ji)鹽酸加(jia)(jia)(jia)熱溶(rong)(rong)解鋅(xin)至(zhi)完全(quan)形成(cheng)氯化(hua)(hua)鋅(xin),冷卻,移入100mL容量瓶中(zhong)(zhong),加(jia)(jia)(jia)水(shui)(shui)稀(xi)(xi)釋(shi)至(zhi)刻度,搖勻。用移液(ye)管(guan)吸取(qu)20mL于250mL錐(zhui)形瓶中(zhong)(zhong),加(jia)(jia)(jia)水(shui)(shui)50mL,以氨水(shui)(shui)調節至(zhi)微堿(jian)性,加(jia)(jia)(jia)入pH=10緩沖溶(rong)(rong)液(ye)(溶(rong)(rong)解54g氯化(hua)(hua)銨于水(shui)(shui)中(zhong)(zhong),加(jia)(jia)(jia)入350mL濃氨水(shui)(shui),加(jia)(jia)(jia)水(shui)(shui)稀(xi)(xi)釋(shi)至(zhi)1L)10mL,鉻(ge)(ge)黑T指示劑(ji)(0.5g鉻(ge)(ge)黑T和氯化(hua)(hua)鈉50g研磨而成(cheng))少(shao)許,搖勻,以配好的(de)(de)0.05mol EDTA標準(zhun)溶(rong)(rong)液(ye)滴定至(zhi)由(you)紅變藍色為終點(dian),記錄耗用的(de)(de)EDTA溶(rong)(rong)液(ye)V(mL).
計(ji)算:標準EDTA溶液濃度

④. 甲基紅指示(shi)劑(pH 4.2~6.3).稱取甲基紅0.1g溶(rong)解于60mL乙醇中,溶(rong)解后加水(shui)稀釋至100mL。
⑤. 溴甲酚(fen)綠(lv)指(zhi)示劑(pH 3.6~5.2).稱取溴甲酚(fen)綠(lv)0.1g溶解于2.88mL的(de)0.05mol氫氧化鈉(na)溶液中,加水(shui)稀釋(shi)至250mL。
⑥. 酚(fen)酞(tai)指示劑(pH 8.3~10.0).稱取(qu)1g酚(fen)酞(tai)溶(rong)解于80mL乙(yi)醇(chun)中(zhong),溶(rong)解后加水稀釋至100mL.
2. 分析方法
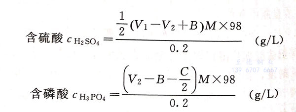
①. 用六偏磷酸鈉作(zuo)掩蔽(bi)劑。
a. 吸取試液5mL于250mL容量瓶中,加水稀釋至(zhi)刻度,搖勻。
b. 吸取(qu)此液(ye)10mL于300mL錐形瓶中(相當于原(yuan)液(ye)0.2mL),加(jia)水(shui)80mL。
c. 用移(yi)液(ye)管準確加人(ren)六偏磷酸鈉溶液(ye)20mL。
d. 加甲(jia)基紅4滴(di)、溴甲(jia)酚綠6滴(di)。
e. 以0.5mol氫氧化鈉標準溶液滴定至綠色為終點,記錄耗用量(liang)V1。
f. 加酚酞5滴。
g. 以0.5mol氫氧(yang)化鈉標準(zhun)溶液滴定至紅色(保持(chi)20s不退),記錄(lu)耗(hao)用(yong)量V2。
h. 另用移(yi)液管吸取0.1mol六偏(pian)磷酸鈉溶液20mL于250mL錐形(xing)瓶中,加水(shui)80mL。
i. 加酚酞5滴(di)。
j. 用(yong)0.5mol氫氧(yang)化鈉溶液滴定至紅色(se),記(ji)錄耗用(yong)量B(mL)。
計算:

式中,M為標準氫氧化鈉溶液的摩爾濃度;C為中和所取試液中的CrO3相的標準氫氧化鈉溶液的容積,mL。
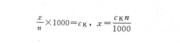
設(she)n為(wei)所取試(shi)樣容積,mL;ck為(wei)三氧化鉻濃度,g/L;x為(wei)所取試(shi)樣中(zhong)含(han)氧化鉻質(zhi)量(liang),g;
則(ze)有:


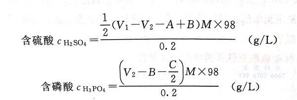
②. 用EDTA作掩蔽劑。
a. 吸取試液5mL于(yu)250mL容量瓶(ping)中,加水稀釋至刻度,搖勻。
b. 吸取(qu)此液10mL于(yu)300mL錐形瓶中(相當于(yu)原液0.2mL),加水(shui)80mL。
c. 用移液(ye)管準確加入(ru)0.05mol EDTA標準溶液(ye)20mL。
d. 加(jia)甲基紅4滴、溴甲酚(fen)綠(lv)6滴。
e. 用0.5mol氫氧化鈉標準溶液滴定至綠色為終點,記錄耗用量為V1。
f. 加酚酞5滴(di)。
g. 用0.5mol氫氧化鈉標準溶液滴定至紅色(保持20s不褪色),記錄耗用量為V2。
h. 另用滴定管(guan)取0.05mol EDTA于(yu)250mL錐形(xing)瓶中,加(jia)水(shui)80mL。
i. 加甲(jia)基紅4滴,溴甲(jia)酚綠6滴。
j. 用0.05mol氫(qing)氧化鈉(na)溶(rong)液滴定至(zhi)綠色(se),記(ji)錄耗用量(liang)為A。
k. 加酚酞5滴。
l. 繼續用0.05mol氫氧(yang)化鈉溶(rong)液滴(di)定至紅(hong)色,記(ji)錄耗(hao)用量為B。
計算:

C 的(de)計(ji)算(suan)與(yu)①用六(liu)偏磷(lin)酸鈉(na)掩蔽的(de)公式相(xiang)同。

