充滿香蕉app免費視頻在線觀看:超聲波的空間或超聲振動所波及的部分介質稱為超聲場。描述超聲場的常用物理量主要有聲壓、聲阻抗、聲強等。
1. 聲壓
假設某(mou)一(yi)點在沒有超聲波存在時(shi)的(de)(de)靜態壓(ya)強為P0,存在超聲波時(shi)某(mou)一(yi)時(shi)刻所(suo)具有的(de)(de)壓(ya)強P1,兩者之差即為該(gai)點的(de)(de)瞬時(shi)聲壓(ya)P。聲壓(ya)單位與(yu)壓(ya)強單位相同,均為Pa(帕)。
有效聲壓是指在一定時(shi)間(jian)(jian)(jian)間(jian)(jian)(jian)隔內,瞬時(shi)聲壓對(dui)時(shi)間(jian)(jian)(jian)取均方根(gen)值,即

超聲(sheng)波(bo)在(zai)介(jie)質(zhi)中傳播時(shi),介(jie)質(zhi)每(mei)一點的聲(sheng)壓隨(sui)時(shi)間和振動位移(yi)(yi)量的不(bu)同而變(bian)化,所以(yi)瞬時(shi)聲(sheng)壓P是時(shi)間和位移(yi)(yi)的函(han)數,可由下式表(biao)達:

由式(2.1)可知,超(chao)聲(sheng)(sheng)(sheng)(sheng)(sheng)場中(zhong)(zhong)(zhong)(zhong)某一點(dian)的(de)(de)(de)聲(sheng)(sheng)(sheng)(sheng)(sheng)壓(ya)按(an)余(yu)弦(xian)函數周(zhou)期性變化。聲(sheng)(sheng)(sheng)(sheng)(sheng)壓(ya)的(de)(de)(de)幅(fu)值(zhi)與介(jie)(jie)質(zhi)(zhi)的(de)(de)(de)密(mi)度(du)、波(bo)速(su)(su)、質(zhi)(zhi)點(dian)振(zhen)動速(su)(su)度(du)成正(zheng)比(bi)。通(tong)常固體介(jie)(jie)質(zhi)(zhi)由于(yu)(yu)密(mi)度(du)大、聲(sheng)(sheng)(sheng)(sheng)(sheng)速(su)(su)高和(he)質(zhi)(zhi)點(dian)振(zhen)速(su)(su)高,導(dao)致置于(yu)(yu)同一超(chao)聲(sheng)(sheng)(sheng)(sheng)(sheng)場中(zhong)(zhong)(zhong)(zhong)的(de)(de)(de)介(jie)(jie)質(zhi)(zhi)(離(li)聲(sheng)(sheng)(sheng)(sheng)(sheng)源距離(li)相(xiang)同),以(yi)固體介(jie)(jie)質(zhi)(zhi)中(zhong)(zhong)(zhong)(zhong)的(de)(de)(de)聲(sheng)(sheng)(sheng)(sheng)(sheng)壓(ya)最高,液體中(zhong)(zhong)(zhong)(zhong)聲(sheng)(sheng)(sheng)(sheng)(sheng)壓(ya)次之,氣體中(zhong)(zhong)(zhong)(zhong)聲(sheng)(sheng)(sheng)(sheng)(sheng)壓(ya)最小。當然,對于(yu)(yu)不同固體介(jie)(jie)質(zhi)(zhi)而(er)言,因材(cai)料性質(zhi)(zhi)、密(mi)度(du)、聲(sheng)(sheng)(sheng)(sheng)(sheng)速(su)(su)等因素(su)的(de)(de)(de)差異,對應的(de)(de)(de)聲(sheng)(sheng)(sheng)(sheng)(sheng)壓(ya)也會有(you)所區(qu)別(bie)。一般(ban)認(ren)為,探傷(shang)儀顯示屏(ping)上的(de)(de)(de)信號高度(du)與聲(sheng)(sheng)(sheng)(sheng)(sheng)壓(ya)成正(zheng)比(bi)。
2. 聲(sheng)阻抗(kang)
超聲(sheng)場中任一(yi)點(dian)的聲(sheng)壓與該處質(zhi)點(dian)振(zhen)動速度之比稱為聲(sheng)阻抗,也(ye)稱特性阻抗,常用符號Z表示(shi),單位為kg/(m2·s)[千克/(平方米·秒(miao))]:

由式(2.2)可(ke)知,聲阻抗(kang)的(de)大小等(deng)于介質的(de)密度(du)(du)與波(bo)速的(de)乘積。不難看(kan)出,在同一聲壓(ya)下,Z增加,質點的(de)振動(dong)速度(du)(du)下降。因此聲阻抗(kang)Z可(ke)理解為介質對質點振動(dong)的(de)阻礙作用。類似于電學中的(de)歐姆定(ding)律 I=U/R,電壓(ya)定(ding),電阻增加,電流(liu)減少。
聲(sheng)(sheng)阻抗(kang)是表征(zheng)介質聲(sheng)(sheng)學性質的(de)重要物理量。超聲(sheng)(sheng)波在異種介質界面上的(de)反射和(he)透(tou)射情況與聲(sheng)(sheng)阻抗(kang)關(guan)系密切。
3. 聲強
單(dan)位時(shi)間內(nei)在垂直于聲(sheng)波(bo)傳(chuan)播(bo)方向的(de)介質指定(ding)面(mian)積上(shang)所通過(guo)的(de)平(ping)均(jun)聲(sheng)能(neng)量,稱(cheng)為(wei)平(ping)均(jun)聲(sheng)功率或平(ping)均(jun)聲(sheng)能(neng)量流。單(dan)位面(mian)積上(shang)的(de)平(ping)均(jun)聲(sheng)功率稱(cheng)為(wei)聲(sheng)強度,簡稱(cheng)聲(sheng)強,通常用符號I表(biao)示,單(dan)位為(wei)瓦/平(ping)方米(mi)(W/㎡),可寫作

由式(2.3)可知,在(zai)同一(yi)介質中,聲強與(yu)聲壓的平方(fang)成正比。
4. 聲(sheng)壓(ya)級、聲(sheng)強級
直接(jie)使(shi)用(yong)聲(sheng)(sheng)壓、聲(sheng)(sheng)強等物理量描(miao)述實際生活中的各(ge)種聲(sheng)(sheng)音(yin),數(shu)(shu)值變(bian)化范圍會非(fei)常寬,涉及的數(shu)(shu)量級(ji)也相差(cha)巨大(da),如果使(shi)用(yong)對(dui)(dui)數(shu)(shu)標(biao)度來進行比較計算就能大(da)大(da)簡(jian)化運算。另一個原因是人耳對(dui)(dui)聲(sheng)(sheng)音(yin)的接(jie)收(shou)更接(jie)近正比于(yu)其對(dui)(dui)數(shu)(shu)值,并非(fei)正比于(yu)強度。因此,在聲(sheng)(sheng)學中普遍使(shi)用(yong)對(dui)(dui)數(shu)(shu)標(biao)度對(dui)(dui)聲(sheng)(sheng)壓、聲(sheng)(sheng)強等參數(shu)(shu)進行度量,對(dui)(dui)應的,分(fen)別稱為聲(sheng)(sheng)壓級(ji)、聲(sheng)(sheng)強級(ji),單位用(yong)Bel(貝爾(er))表示,因為貝爾(er)的單位比較大(da),工程上使(shi)用(yong)時(shi)將(jiang)其縮至1/10后以dB(分(fen)貝)為單位。
聲壓級的符號通常用Lp表示。定義聲壓級為將待測聲壓的有效值Pe與基準聲壓P0。的比值取以10為底的常用對數,再乘以20,即

在空氣中,基準聲壓為P0=2×105Pa,這個數值是正常人聽覺對1kHz聲音稍稍感知到的最低聲壓值,低于此,通常人的聽覺系統就感知不到了,亦即聽閾聲壓級為0dB。人耳的聽覺從可聽閾的2×105Pa的聲壓到痛閾的20 Pa,兩者相差100萬倍,而用聲壓級來表示則變化為0~120dB的范圍,使對聲音的描述大為方便。
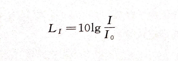
聲強級的符號為LI,定義為待測聲強I與基準聲強I0的比值取以10為底的常用對數,再乘以10,即

在空氣中,基準聲強I0取為1×1012 W/㎡,與空氣中基準聲壓相對應,是能夠引起人耳聽覺的最低聲強。
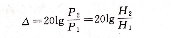
垂直(zhi)線性較好的探傷儀(yi),顯(xian)(xian)示(shi)屏顯(xian)(xian)示(shi)的信號高度與聲壓成正比,有(you)

式中,基準聲壓P1和基準聲強H1可任意選取。
常用聲(sheng)壓(ya)比(波高比)對應的分貝值見表2.1.


