管(guan)件的(de)(de)尺寸分為以(yi)(yi)米(mi)制單(dan)(dan)位(wei)表(biao)(biao)示(shi)(shi)的(de)(de)管(guan)件和以(yi)(yi)英制單(dan)(dan)位(wei)表(biao)(biao)示(shi)(shi)的(de)(de)管(guan)件兩個系列。
在米制(zhi)單位表示的管(guan)件(jian)尺寸中,管(guan)件(jian)端部外徑(即與管(guan)子外徑相(xiang)配的坡口處外徑)分為Ⅰ及Ⅱ兩(liang)個(ge)系(xi)列(lie),Ⅰ系(xi)列(lie)為國際通用系(xi)列(lie)。
由于(yu)米制單(dan)位(wei)和英制單(dan)位(wei)的(de)(de)管件不能做(zuo)到精確的(de)(de)等同,因此使用(yong)者(zhe)必須(xu)分別采用(yong)兩(liang)種單(dan)位(wei)制。對(dui)(dui)于(yu)尺(chi)(chi)寸為(wei)(wei)米制單(dan)位(wei)的(de)(de)管件,其公稱(cheng)(cheng)尺(chi)(chi)寸用(yong)DN表(biao)(biao)示;對(dui)(dui)于(yu)尺(chi)(chi)寸為(wei)(wei)英制單(dan)位(wei)的(de)(de)管件,其公稱(cheng)(cheng)尺(chi)(chi)寸用(yong)NPS表(biao)(biao)示。兩(liang)者(zhe)之間的(de)(de)關系見(jian)表(biao)(biao)9-2。

1. 米制尺(chi)寸
長(chang)半(ban)徑彎(wan)頭(tou)型式見圖 9-1,尺寸(cun)見表(biao) 9-3 。

90°長半(ban)徑彎頭(tou)型式見(jian)圖 9-2,尺(chi)寸(cun)見(jian)表 9-4 。


90°短半(ban)徑彎頭型式見(jian)圖 9-3,尺寸見(jian)表 9-5 。

等徑三通和四通型式見圖 9-4,尺(chi)寸見表 9-6 。


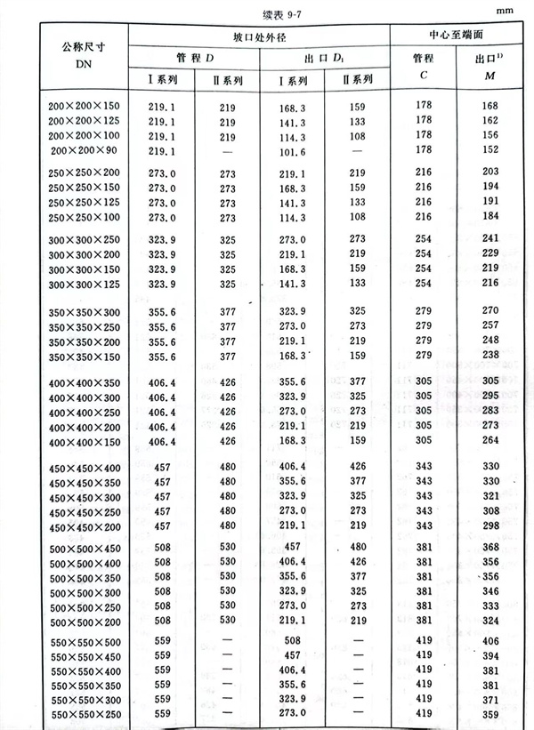
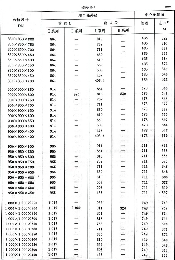
異徑三(san)通和四通型(xing)式見(jian)圖 9-5,尺寸見(jian)表 9-7 。






管帽型式見圖 9-6,尺寸(cun)見表 9-8 。


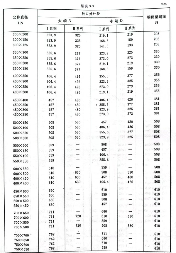
異徑接頭型式見(jian)圖 9-7,尺寸(cun)見(jian)表(biao) 9-9 。




2. 英制(zhi)尺(chi)寸(cun)
長半徑(jing)彎頭型式(shi)見圖 9-8,尺(chi)寸見表 9-10 。

長半(ban)徑彎頭型式見圖 9-9,尺寸見表 9-11 。

短半(ban)徑彎頭型式見圖 9-10,尺寸見表 9-12 。


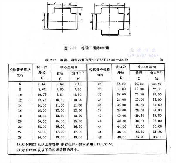
等徑(jing)三通(tong)和四(si)通(tong)型式(shi)見圖 9-11,尺寸見表 9-13 。

異徑三通和四通型式見圖 9-12,尺寸見表 9-14 。



管帽型式見(jian)圖 9-13,尺寸見(jian)表 9-15 。

異徑接頭型(xing)式見圖 9-14,尺寸見表 9-16 。



