鋼管的(de)(de)壁(bi)厚計(ji)算方法,在ASME B31.3、GB 50316、SH/T 3509等標準規范(fan)中均有(you)詳細的(de)(de)介(jie)紹。鋼管壁(bi)厚的(de)(de)表示(shi)方法在不同的(de)(de)標準中各不相同,但主要(yao)有(you)三種。
1. 以管子(zi)表(biao)號表(biao)示(shi)公稱(cheng)壁(bi)厚 此種表(biao)示(shi)方法以ASME B36.10《焊接和無縫鋼管》為代表(biao)并為其他許多標準所采用,常(chang)以“Sch”標示(shi)。
管子表號(hao)是(shi)管子設計壓力與(yu)設計溫度下材料許(xu)用應力的比值(zhi)乘以1000,并經(jing)圓整后(hou)的數值(zhi)。
ASME B36.10和JIS標準(zhun)中管子表號有(you):Sch10、Sch20、Sch30、Sch40、Sch60、Sch80、Sch100、Sch120、Sch140、Sch160。
ASME B36.19中不銹鋼(gang)管管子(zi)表號有(you):Sch5s、Sch1Os、Sch40s、Sch80s。
中(zhong)國石化集團公(gong)司標(biao)準SH/T 3405中(zhong),無(wu)縫鋼(gang)管(guan)采(cai)用了Sch20、Sch30、Sch40、Sch60、Sch80、Sch100、Sch120、Sch140、Sch160九個表(biao)號(hao),不銹鋼(gang)管(guan)采(cai)用了Sch5s、Sch10s、Sch20s、Sch40s、Sch80s五個表(biao)號(hao)。
無縫鋼(gang)管(guan)和焊接鋼(gang)管(guan)的管(guan)子(zi)表號可分(fen)別(bie)查圖4-1和圖4-2確定。


2. 以管子(zi)重量表示(shi)公(gong)稱壁厚
美國MSS和(he)ASME也(ye)規定了(le)以管子(zi)重量表示(shi)壁(bi)厚(hou)的(de)方法,并將(jiang)管子(zi)壁(bi)厚(hou)分為三種:標(biao)準重量管,以STD表示(shi);加(jia)厚(hou)管,以XS表示(shi);特厚(hou)管,以XXS表示(shi)。
對于(yu)DN≤250mm的管子(zi),Sch40相當(dang)于(yu)STD;DN<200mm的管子(zi),Sch80相當(dang)于(yu)XS。
3. 以鋼(gang)管(guan)壁厚(hou)值表(biao)示公(gong)稱壁厚(hou) 中(zhong)國、ISO和日(ri)本部分鋼(gang)管(guan)標(biao)準采用了壁厚(hou)值表(biao)示鋼(gang)管(guan)公(gong)稱壁厚(hou)。
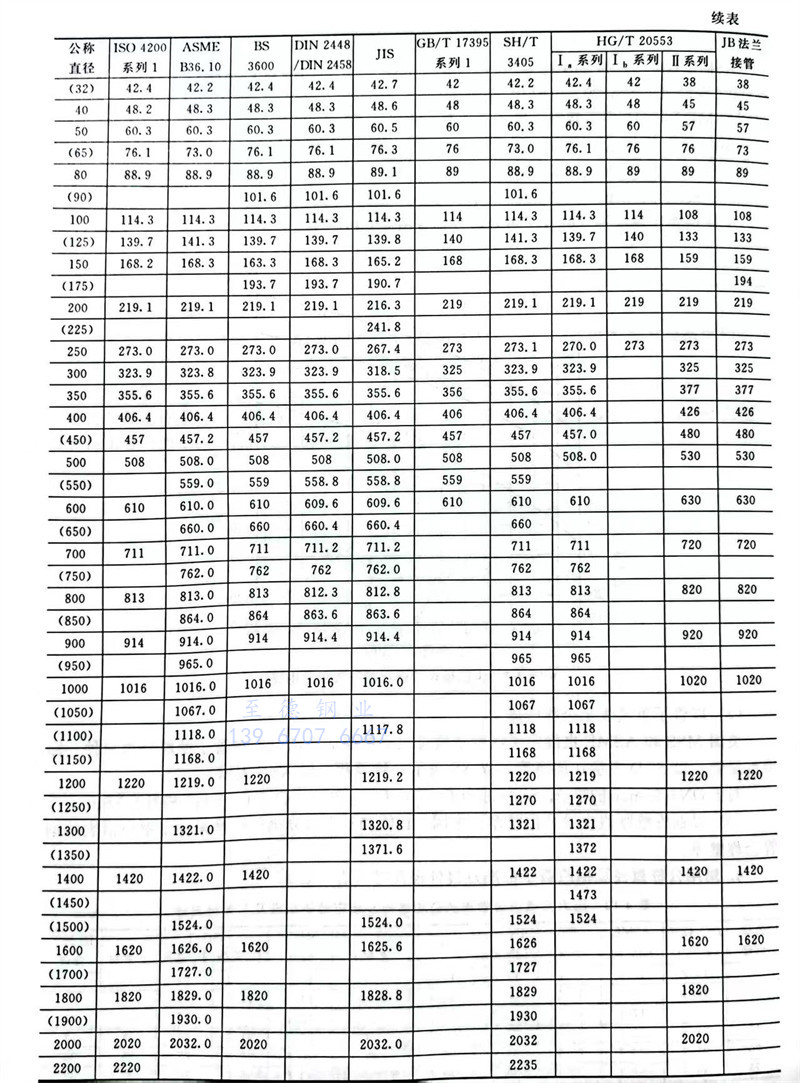
4.常用公稱(cheng)直徑(jing)及相應管子(zi)標準及其外徑(jing)尺寸(表4-12)



