本章所(suo)介紹的(de)美(mei)國管件標(biao)準(zhun)(zhun)主(zhu)要為美(mei)國機械(xie)工程師協會(即ASME)近(jin)期發(fa)布的(de)最新標(biao)準(zhun)(zhun),這些管件標(biao)準(zhun)(zhun)主(zhu)要為:灰鑄鐵螺(luo)(luo)紋(wen)管件(ASME B16.4-1998)、可鍛(duan)(duan)鑄鐵螺(luo)(luo)紋(wen)管件(ASME B16.3-1998)、承插焊(han)和(he)螺(luo)(luo)紋(wen)連接鍛(duan)(duan)鋼(gang)(gang)(gang)制(zhi)管件(ASME B16.11-2005)、工廠制(zhi)造的(de)鍛(duan)(duan)鋼(gang)(gang)(gang)對焊(han)管件及鍛(duan)(duan)鋼(gang)(gang)(gang)制(zhi)對焊(han)短半徑彎(wan)頭(tou)和(he)180°彎(wan)頭(tou)等。
工廠(chang)制造的鍛鋼對焊管(guan)件 ASME B16.9-2003 標準
一、適用范(fan)圍
1. 總則
ASME B16.9-2003標(biao)準適用于規格為NPS1/2~NPS 48(DN 15~DN1200)的工廠制造的鍛制對(dui)焊管件的總體尺寸、公差、壓力等級、試驗及(ji)標(biao)志。
2. 特殊管(guan)件
根據制造廠和使用方雙方協議,可以制造特(te)殊(shu)尺寸、規格(ge)、形(xing)狀(zhuang)及公(gong)差的管(guan)件。
3. 管件制品
采用環(huan)焊縫或交叉焊縫制(zhi)造的(de)分支管件(jian)和其他管件(jian)均屬管件(jian)制(zhi)品(pin),并不(bu)屬于該標準的(de)范圍(wei)。
搭接短節制(zhi)品不受(shou)以上(shang)限制(zhi),只要其材料符合20.4.4條所(suo)規定的(de)(de)(de)可適用的(de)(de)(de)ASTM材料規范的(de)(de)(de)所(suo)有要求。
4. 標準計量單位
無論以米制為單(dan)位(wei)(wei)或(huo)以美國慣用單(dan)位(wei)(wei)(即英制單(dan)位(wei)(wei))表示(shi)的數值(zhi)(zhi)都分別視(shi)為標(biao)準值(zhi)(zhi)。
在(zai)該標(biao)準的正文中英制(zhi)單(dan)位(wei)在(zai)括號內示出。由于兩種(zhong)單(dan)位(wei)制(zhi)所規(gui)定(ding)的數(shu)值不能做到精確地(di)相等,因此(ci),必須獨立地(di)分別(bie)使(shi)用每(mei)一種(zhong)單(dan)位(wei)制(zhi)。兩種(zhong)單(dan)位(wei)制(zhi)使(shi)用的混合數(shu)值,將導(dao)致與該標(biao)準的不一致。
無論是米制(zhi)單(dan)位尺寸(cun)的管件或是英制(zhi)單(dan)位尺寸(cun)的管件,其規格(ge)的標志都為NPS。管件壓力等級與相應規格(ge)和材料的管子(zi)的連接壁厚有關(guan)。
5. 使用條(tiao)件(jian)
適合(he)于(yu)特定流體使(shi)用條件的管件型式(shi)和(he)材(cai)料的選擇標準(zhun),不屬于(yu)本標準(zhun)的范圍。
6. 焊(han)接
安裝(zhuang)焊接要求(qiu)不屬于本標準的范圍。
7. 質量體系
按(an)ASME B16.9標(biao)準制造(zao)(zao)的(de)產(chan)品(pin)應(ying)按(an)質量體系程序生(sheng)產(chan),該(gai)程序應(ying)遵(zun)循(xun) ISO 9000系列的(de)某一適合(he)的(de)標(biao)準的(de)原(yuan)則制定(ding)。制造(zao)(zao)廠(chang)有責(ze)任(ren)確定(ding)是(shi)否需要由一個獨立的(de)組織機構對產(chan)品(pin)制造(zao)(zao)廠(chang)的(de)質量體系進行注冊(ce)/或認證。采(cai)購方在制造(zao)(zao)廠(chang)的(de)場所(suo)應(ying)能得到(dao)演(yan)示程序符合(he)性(xing)的(de)詳細文件。應(ying)采(cai)購方的(de)請求(qiu),采(cai)購方可以得到(dao)產(chan)品(pin)制造(zao)(zao)廠(chang)提供的(de)其所(suo)使(shi)用(yong)的(de)該(gai)質量體系程序的(de)書面概括說明(ming)。所(suo)謂產(chan)品(pin)制造(zao)(zao)廠(chang)是(shi)指按(an)本標(biao)準標(biao)志或識別要求(qiu)顯(xian)示在產(chan)品(pin)上的(de)完整廠(chang)名和商標(biao)。
8. 修約
為了確定符(fu)合于(yu)本標準的(de)(de)目的(de)(de),確定有效數字值(最大極限值或最小極限值)的(de)(de)修約,規(gui)定應(ying)按(an)ASTME29予(yu)以“圓整(zheng)”。十進制的(de)(de)小數值和公差(cha)并不包含特殊的(de)(de)測量方法。
9. 壓力等(deng)級(ji)標志
磅級(ji)(后面緊(jin)跟尺寸數字)是壓力-溫度等級(ji)的(de)標志。對于本標準中所(suo)引(yin)用的(de)ASME B16.5法蘭的(de)標準,其(qi)標志為磅級(ji)150、300、900、1500及2500。
二(er)、 壓力(li)等(deng)級
1. 等級的基準
按(an)(an)本標(biao)(biao)準所(suo)(suo)規定(ding)的(de)(de)(de)管(guan)件的(de)(de)(de)允許壓(ya)力等(deng)級(ji),可以根據ASME B31《壓(ya)力管(guan)道規范》中所(suo)(suo)規定(ding)的(de)(de)(de)規程,按(an)(an)等(deng)同材料(liao)(按(an)(an)相應材料(liao)規范的(de)(de)(de)化學成分和機械性(xing)能比較所(suo)(suo)得出的(de)(de)(de))的(de)(de)(de)直無縫(feng)管(guan)來計算。為(wei)了計算,應使用(yong)與管(guan)件相當的(de)(de)(de)管(guan)子(zi)規格、壁厚及(ji)材料(liao)的(de)(de)(de)應用(yong)數據。管(guan)件上的(de)(de)(de)管(guan)子(zi)規格、壁厚(或壁厚系(xi)列號(hao))和材料(liao)標(biao)(biao)志與壓(ya)力等(deng)級(ji)標(biao)(biao)志有關。
2. 管件的設(she)計
管(guan)件的(de)(de)(de)(de)(de)(de)設(she)計應(ying)按(an)美(mei)國(guo)全(quan)國(guo)范(fan)圍(wei)內(nei)公認(ren)的(de)(de)(de)(de)(de)(de)壓力容器或(huo)管(guan)道規范(fan)中所包含的(de)(de)(de)(de)(de)(de)數學分(fen)(fen)析(xi)方(fang)(fang)法(fa)(fa)(例(li)如,對彎頭按(an)ASME B16.49)來(lai)確定,或(huo)按(an)制造廠的(de)(de)(de)(de)(de)(de)意見,根據(ju)本標準的(de)(de)(de)(de)(de)(de)第(di)9章采用驗(yan)證(zheng)試驗(yan)方(fang)(fang)法(fa)(fa)進行。為了滿足設(she)計或(huo)制造要求(qiu),可(ke)以預料(liao),成型管(guan)件某些部分(fen)(fen)的(de)(de)(de)(de)(de)(de)壁(bi)厚(hou)可(ke)能需(xu)要比打算使(shi)用該管(guan)件的(de)(de)(de)(de)(de)(de)管(guan)子壁(bi)厚(hou)要厚(hou)。如果(guo)使(shi)用,數學分(fen)(fen)析(xi)可(ke)以考(kao)慮(lv)這些較厚(hou)部分(fen)(fen)。在制造的(de)(de)(de)(de)(de)(de)現場應(ying)能得(de)到數學分(fen)(fen)析(xi)和(he)/或(huo)合格(ge)的(de)(de)(de)(de)(de)(de)驗(yan)證(zheng)試驗(yan)結(jie)果(guo)的(de)(de)(de)(de)(de)(de)記錄以供(gong)采購(gou)方(fang)(fang)檢查。
三、規格(ge)
公稱管件規格(ge)的(de)(de)代號是NPS后(hou)跟無因次(ci)的(de)(de)數字。NPS與國際(ji)標(biao)準中所使用的(de)(de)標(biao)準公稱通徑DN有關(guan),它們之間的(de)(de)關(guan)系見表20-40。

四、材料(liao)
本標準所(suo)包(bao)括(kuo)的(de)(de)(de)鍛(duan)(duan)制管件(jian)應遵循 ASTM A234、A403、A420、A815、B361、B363和(he)B366或(huo)ASME 鍋爐和(he)壓(ya)力容器(qi)規范(fan)第II卷中所(suo)列出的(de)(de)(de)相應標準。術語“鍛(duan)(duan)制”是指管件(jian)是由管子、管材、板材或(huo)鍛(duan)(duan)件(jian)制造(zao)的(de)(de)(de)。由鍛(duan)(duan)坯制造(zao)的(de)(de)(de)管件(jian)只能根(gen)據(ju)制造(zao)廠和(he)采購方(fang)的(de)(de)(de)協議(yi)供貨。這(zhe)種管件(jian)不需要符(fu)合(he)20.4.7條表面輪廓的(de)(de)(de)要求。
五、尺寸
1. 標準尺寸
本標準為管件(jian)的焊(han)接端提(ti)供了(le)固(gu)定位(wei)置(zhi),不(bu)論(lun)是相(xiang)對于管件(jian)的中心線還是總尺寸(cun),其(qi)位(wei)置(zhi)都不(bu)變。
管件尺寸分米制(zhi)和英制(zhi)兩個系列(lie)。
a. 米制(zhi)尺(chi)寸(cun)的長半徑彎(wan)頭(tou)型式見(jian)圖(tu)20-33,尺(chi)寸(cun)見(jian)表20-41;英制(zhi)尺(chi)寸(cun)的長半徑彎(wan)頭(tou)型式見(jian)圖(tu)20-33,尺(chi)寸(cun)見(jian)表20-42。
b. 米(mi)制(zhi)尺(chi)寸的長半(ban)(ban)徑(jing)異徑(jing)彎頭(tou)型式(shi)見(jian)(jian)圖20-34,尺(chi)寸見(jian)(jian)表20-43;英制(zhi)尺(chi)寸的長半(ban)(ban)徑(jing)異徑(jing)彎頭(tou)型式(shi)見(jian)(jian)圖20-34,尺(chi)寸見(jian)(jian)表20-44。




c. 米制(zhi)尺(chi)寸的(de)長半徑(jing)(jing)180°彎(wan)頭型式(shi)(shi)見(jian)圖20-35,尺(chi)寸見(jian)表20-45;英(ying)制(zhi)尺(chi)寸的(de)長半徑(jing)(jing)180°彎(wan)頭型式(shi)(shi)見(jian)圖20-35,尺(chi)寸見(jian)表20-46。

d. 米制(zhi)尺寸(cun)的短(duan)半徑(jing)彎頭型式見(jian)圖(tu)20-36,尺寸(cun)見(jian)表(biao)20-47;英制(zhi)尺寸(cun)的短(duan)半徑(jing)彎頭型式見(jian)圖(tu)20-36,尺寸(cun)見(jian)表(biao)20-48。

e. 米(mi)制尺(chi)寸的短半徑(jing)180°彎頭型(xing)式見圖20-37,尺(chi)寸見表20-49;英制尺(chi)寸的短半徑(jing)180°彎頭型(xing)式見圖20-37,尺(chi)寸見表20-50。

f. 米(mi)制(zhi)尺寸(cun)(cun)等徑(jing)三(san)通和四通型式(shi)見(jian)圖(tu)20-38,尺寸(cun)(cun)見(jian)表20-51;英制(zhi)尺寸(cun)(cun)等徑(jing)三(san)通和四通型式(shi)見(jian)圖(tu)20-38,尺寸(cun)(cun)見(jian)表20-52。
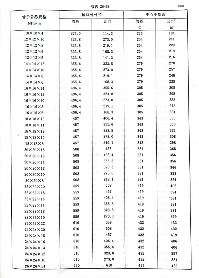
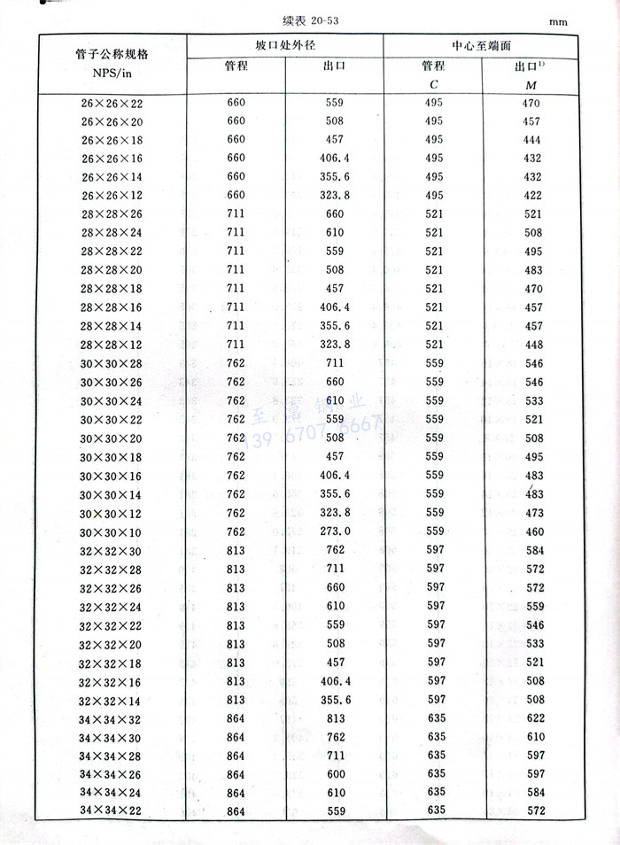
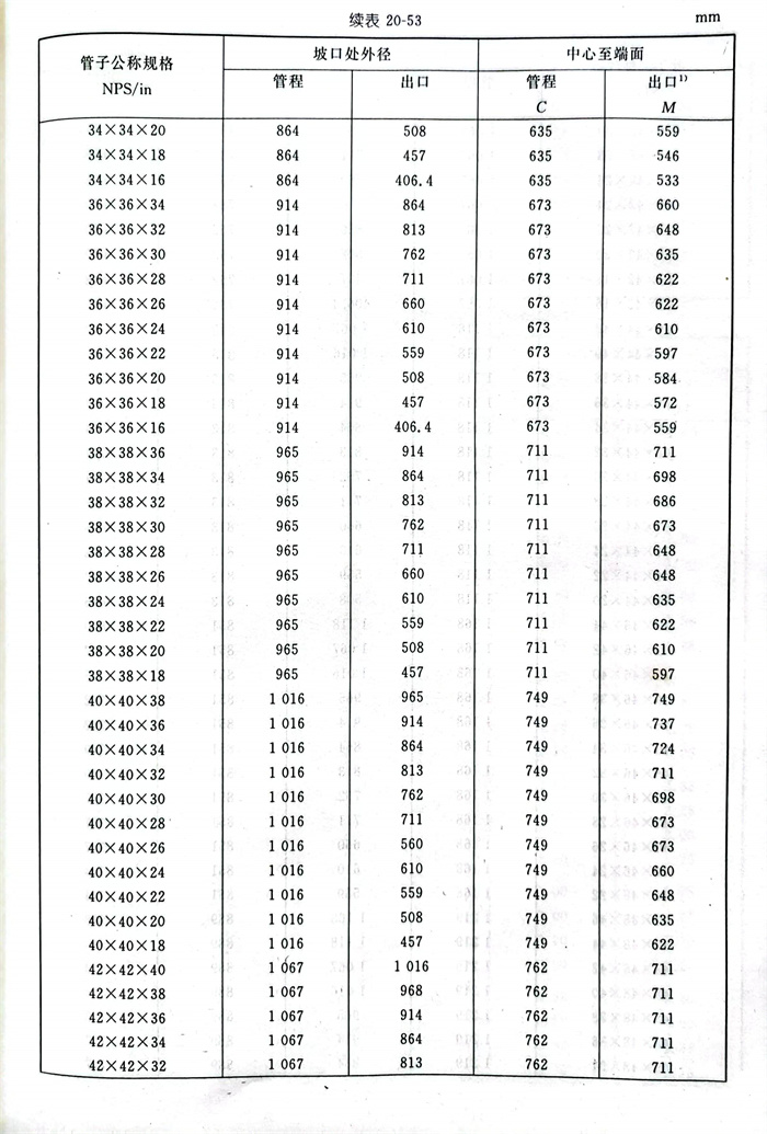
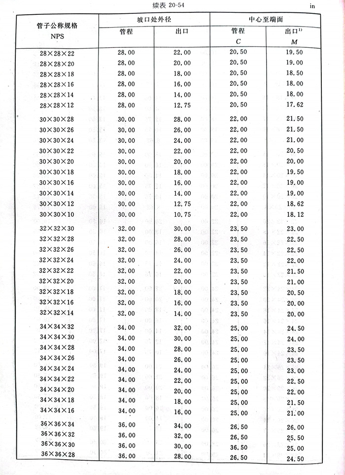
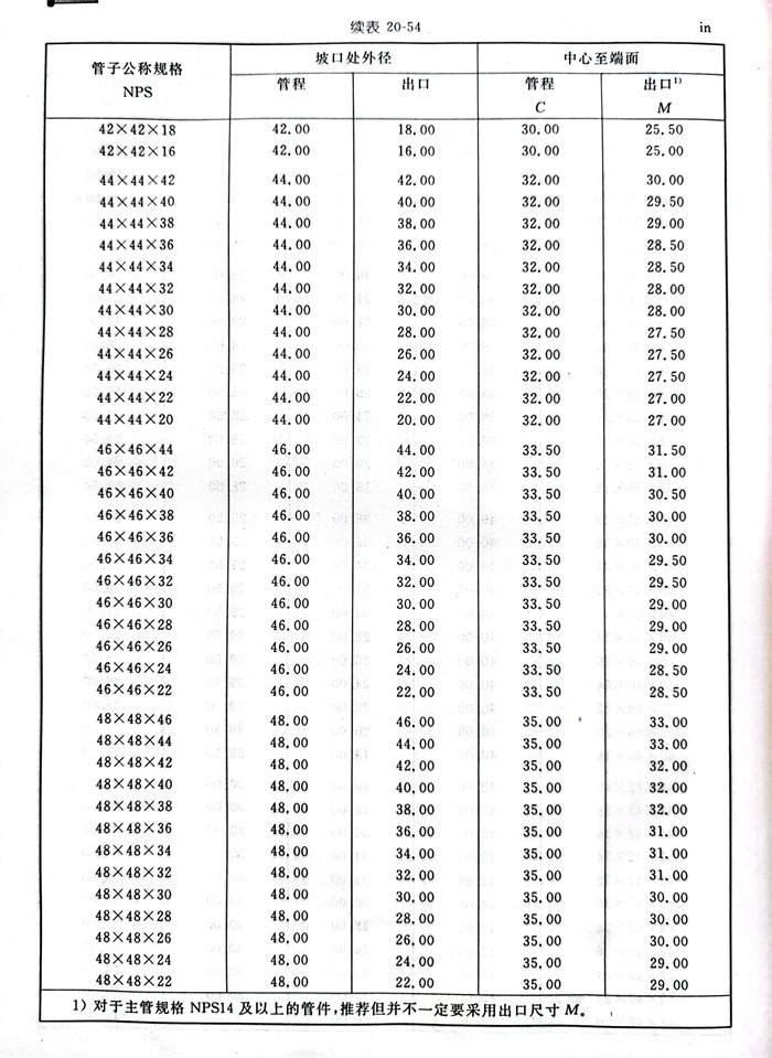
g. 米(mi)制(zhi)尺(chi)(chi)寸異(yi)徑出(chu)口(kou)三(san)(san)通(tong)(tong)和(he)異(yi)徑出(chu)口(kou)四通(tong)(tong)型式見(jian)圖20-39,尺(chi)(chi)寸見(jian)表(biao)20-53;英制(zhi)尺(chi)(chi)寸異(yi)徑出(chu)口(kou)三(san)(san)通(tong)(tong)和(he)異(yi)徑出(chu)口(kou)四通(tong)(tong)型式見(jian)圖20-39,尺(chi)(chi)寸見(jian)表(biao)20-54。













h. 米(mi)制搭接(jie)短節型式(shi)(shi)見圖20-40,尺寸見表20-55;英制搭接(jie)短節型式(shi)(shi)見圖20-40,尺寸見表20-56。

①. 當(dang)短(duan)形短(duan)節用(yong)300磅(bang)級和(he)600磅(bang)級的較(jiao)大(da)法(fa)(fa)(fa)蘭及大(da)于等于900磅(bang)級的大(da)部分規(gui)格法(fa)(fa)(fa)蘭時(shi);當(dang)長(chang)(chang)形短(duan)節用(yong)1500磅(bang)級和(he)2500磅(bang)級的較(jiao)大(da)法(fa)(fa)(fa)蘭時(shi),為了避免法(fa)(fa)(fa)蘭可能覆蓋(gai)焊(han)縫,可能需要增(zeng)加搭接長(chang)(chang)度。長(chang)(chang)度的增(zeng)加量由制造廠與采(cai)購方雙方協(xie)商。
②. 當采用榫(sun)槽面(mian),凹凸面(mian)特(te)殊(shu)端面(mian)時,必須(xu)增(zeng)加搭接邊的厚(hou)度,增(zeng)加厚(hou)度應在基本(ben)長(chang)度F之(zhi)外(wai)(不包(bao)括在基本(ben)長(chang)度內(nei))。
③. 這些尺(chi)寸應與ASME B16.5《管道法蘭(lan)和法蘭(lan)管配件》中(zhong)搭(da)接(jie)法蘭(lan)的規定半徑相(xiang)符。
④. 該尺(chi)寸與(yu)ASMEB16.5中表示的標(biao)準機(ji)加(jia)工(gong)(gong)面(mian)一致。折邊的背面(mian)應進行機(ji)加(jia)工(gong)(gong),使(shi)與(yu)其安裝表面(mian)一致。當采用環連(lian)接密封(feng)面(mian)時,使(shi)用ASME B16.5中給(gei)出的尺(chi)寸K。

①. 當短形(xing)短節用300磅級(ji)和(he)600磅級(ji)的(de)(de)較大(da)法(fa)蘭(lan)及大(da)于(yu)等于(yu)900磅級(ji)的(de)(de)大(da)部(bu)分(fen)規格法(fa)蘭(lan)時;當長形(xing)短節用1500磅級(ji)和(he)2500磅級(ji)的(de)(de)較大(da)法(fa)蘭(lan)時,為(wei)了避免法(fa)蘭(lan)可能覆蓋焊縫,可能需要增加搭(da)接(jie)管的(de)(de)長度。長度的(de)(de)增加量(liang)由制造廠(chang)與采購方雙方協商。
②. 當采用如(ru)榫槽(cao)面(mian),凹凸(tu)面(mian)特殊(shu)端面(mian)時,必須增加(jia)搭接邊的厚(hou)度(du),增加(jia)厚(hou)度(du)應(ying)在基本長度(du)F之外(不包括在基本長度(du)內)。
③. 這些(xie)尺寸應與ASME B16.5《管道法(fa)蘭和法(fa)蘭管配件》中塔(ta)接法(fa)蘭的規定半徑(jing)相符。
④. 該(gai)尺(chi)寸與(yu)ASME B16.5中表示的(de)(de)標準機(ji)加工面(mian)(mian)一致。折邊的(de)(de)背(bei)面(mian)(mian)應進行機(ji)加工,使與(yu)其安(an)裝表面(mian)(mian)一致。當采用環連接(jie)密封(feng)面(mian)(mian)時,使用ASMEB16.5中給出的(de)(de)尺(chi)寸K。
i. 米制管(guan)蓋型式見圖20-41,尺(chi)寸見表20-57;英制管(guan)蓋型式見圖20-41,尺(chi)寸見表20-58。
j. 米制異徑接(jie)頭型式見(jian)圖20-42,尺寸見(jian)表20-59;英制異徑接(jie)頭見(jian)圖20-42,尺寸見(jian)表20-60。






2. 特(te)殊尺寸
a. 疲(pi)勞載荷
對于(yu)涉(she)及疲勞載荷的(de)應(ying)用情況(kuang),采購方應(ying)提供所要求的(de)最小尺(chi)寸。
b. 鉆孔直(zhi)徑
不在端部的鉆孔(kong)直(zhi)徑不作規(gui)定。如(ru)果需要特殊的流程要求,采購方應規(gui)定鉆孔(kong)尺寸。
C. 短(duan)節
使用條(tiao)件(jian)和接頭結構通(tong)常支配短節長度要求。因此,在訂購(gou)時,采購(gou)方(fang)必須(xu)規定是長形還是短形管件(jian)。
六、公差
管(guan)件(jian)公(gong)差(cha)有米制尺寸公(gong)差(cha)及英制尺寸公(gong)差(cha)兩種。米制管(guan)件(jian)公(gong)差(cha)見圖20-43及表(biao)20-61;英制管(guan)件(jian)公(gong)差(cha)見圖20-43及表(biao)20-62。


①. 端部內(nei)徑(jing)和公稱(cheng)壁厚由(you)采購方(fang)規(gui)定。
②. 除非采購方規定各種壁厚公差否則就采用公稱壁厚的87.5%,見圖20-45的腳注1)(a)。
③. 不圓度為正偏差和負偏差絕對值之和。
④. 當需要增加壁厚以滿足20.4.2.2條的設計要求時,該公差可能不適用于成型管件的固定區域。
⑤. 除非采購方另有規定,否則這些公差適用于公稱內徑等于公稱外徑減去兩倍公稱壁厚的場合。
⑥. 筒部外徑的極限尺寸見表20-55。

①. 端部內徑和公稱壁厚由采購方規定。
②. 除非采購方規定各種壁厚公差否則就采用公稱壁厚的87.5%。見圖20-45的腳注1)(a)。
③. 不圓度為正偏差和負偏差絕對值之和。
④. 當需要增加壁厚以滿足20.4.2.2條的設計要求時,該公差可能不適用于成型管件的固定區域。
⑤. 除非采購方另有規定,這些公差適用于公稱內徑(等于公稱外徑減去兩倍公稱壁厚)的場合。
⑥. 筒部外徑的極限尺寸見表20-56。
七、表面輪廓(kuo)線
當管件(jian)上(shang)(shang)相鄰的開(kai)孔不在平行平面上(shang)(shang),應用一(yi)段圓弧(hu)(hu)(hu)或半(ban)徑將外(wai)表面連(lian)接上(shang)(shang)。圓弧(hu)(hu)(hu)或半(ban)徑可(ke)以終止在切點處。除作為鍛坯提(ti)供(gong)的管件(jian)外(wai)(見20.4.4條),管件(jian)外(wai)表面的設(she)計輪(lun)廓應無尖(jian)銳的橫斷圓弧(hu)(hu)(hu)及(ji)/或折疊圓弧(hu)(hu)(hu)。
八(ba)、端部(bu)制備
除非另有規定,管件焊接端(duan)部(bu)的制備(包(bao)括焊接端(duan)部(bu)坡口形狀(zhuang)及尺(chi)寸以(yi)及焊接端(duan)部(bu)過(guo)渡部(bu)分的最大包(bao)絡線)按以(yi)下規定:
a. 焊接端(duan)部坡口形狀及尺寸見(jian)(jian)圖(tu)20-44,焊接坡口和鈍(dun)邊(bian)見(jian)(jian)表20-63。
b. 焊(han)接端部過渡部分的最大包(bao)絡(luo)線見圖20-45。
除圖20-45(焊接(jie)端部過(guo)渡(du)段的(de)(de)最(zui)(zui)大包絡線)腳注5)所(suo)包括(kuo)情況或除非特(te)殊訂貨外,在圖20-45所(suo)示的(de)(de)最(zui)(zui)大包絡線的(de)(de)范(fan)圍(wei)內,由焊接(jie)坡口到(dao)管件的(de)(de)外表(biao)面、以及(ji)由鈍邊到(dao)管件的(de)(de)內表(biao)面的(de)(de)過(guo)渡(du),由制造廠自(zi)定。


九、設計驗(yan)證試驗(yan)
1. 要求(qiu)的試驗
當制(zhi)造(zao)廠選(xuan)擇驗(yan)(yan)(yan)證試驗(yan)(yan)(yan)以考(kao)核管(guan)件(jian)設計質(zhi)量時,應按本標準的(de)規定(ding)進行驗(yan)(yan)(yan)證試驗(yan)(yan)(yan)。除非制(zhi)造(zao)廠和(he)采(cai)購方(fang)之間另有協議(yi),驗(yan)(yan)(yan)證試驗(yan)(yan)(yan)應是依據管(guan)件(jian)及其他連(lian)接管(guan)道的(de)計算爆(bao)破壓力進行的(de)一種試驗(yan)(yan)(yan)。
搭接(jie)(jie)短節免做驗證試驗。因為搭接(jie)(jie)短節在法蘭組件(jian)中使(shi)用,它有著不同的壓力等(deng)級(ji),并取決于操作要求。
2. 試(shi)驗組裝件
a.樣品(pin)件 作(zuo)為產品(pin)樣品(pin)并(bing)已經被選來作(zuo)試驗的管件,應驗明材(cai)料、等(deng)級和批(pi)量(liang),包(bao)括熱處(chu)理。管件應經過尺寸檢驗,并(bing)符(fu)合本標準的要(yao)求。
b. 其(qi)他(ta)零件應將計(ji)算(suan)爆破壓力至少(shao)(shao)與按(an)(an)20.4.9.3條規(gui)定(ding)計(ji)算(suan)得(de)出(chu)的(de)(de)驗證試驗壓力同樣(yang)大小的(de)(de)直無縫管(guan)(guan)或(huo)焊(han)接管(guan)(guan)的(de)(de)管(guan)(guan)段(duan)焊(han)接到待試驗的(de)(de)管(guan)(guan)件各端(duan)。任何(he)內圓(yuan)不(bu)圓(yuan)度(du)(du)大于1.5 mm(0.06 in.)的(de)(de)管(guan)(guan)子(zi)都應采用(yong)斜(xie)度(du)(du)不(bu)大于1:3的(de)(de)鏜削(xue)加工,減少(shao)(shao)其(qi)不(bu)圓(yuan)度(du)(du)。這些管(guan)(guan)段(duan)的(de)(de)截止長度(du)(du)按(an)(an)以下規(gui)定(ding):
對(dui)于NPS 14(DN 350)及以下的管(guan)件(jian),管(guan)子的最小長度應(ying)與管(guan)子的外徑相等。
對于(yu)(yu)大(da)于(yu)(yu)NPS 14(DN 350)的(de)(de)管(guan)(guan)件,管(guan)(guan)子的(de)(de)最小(xiao)長度應為(wei)管(guan)(guan)子外徑的(de)(de)一半。
3. 試驗方法
水(shui)壓試(shi)驗(yan)(yan)(yan)(yan)用的試(shi)驗(yan)(yan)(yan)(yan)流體應為水(shui)或其他液體。應對試(shi)驗(yan)(yan)(yan)(yan)組裝件(jian)施加水(shui)壓。當試(shi)驗(yan)(yan)(yan)(yan)組裝件(jian)能經受住按下(xia)式(shi)計算得到的驗(yan)(yan)(yan)(yan)證試(shi)驗(yan)(yan)(yan)(yan)壓力(li)的105%而不(bu)發生破(po)裂時(shi),即滿足驗(yan)(yan)(yan)(yan)證試(shi)驗(yan)(yan)(yan)(yan)要求。
P=2 St/D
式中:D-管子的公稱外徑;
P-管(guan)子的最(zui)小計算驗(yan)證試驗(yan)壓(ya)力;
S-試(shi)驗管件的(de)(de)(de)實測(ce)抗(kang)拉強(qiang)度,該抗(kang)拉強(qiang)度從試(shi)驗管件的(de)(de)(de)有代表性的(de)(de)(de)樣品(pin)上測(ce)出(chu)。試(shi)驗管件的(de)(de)(de)實測(ce)抗(kang)拉強(qiang)度應滿(man)足20.4.4條中所規定的(de)(de)(de)適用材(cai)料的(de)(de)(de)抗(kang)拉強(qiang)度要求。
t一(yi)管(guan)件(jian)標(biao)志識別的公稱管(guan)壁厚(hou)度。
注:可使用(yong)任何(he)一種(zhong)和(he)尺寸(cun)上相符合的(de)單位制。
4. 試驗結果的可用性
不需(xu)要對規格、壁厚及(ji)材料(liao)的(de)(de)(de)所(suo)有組合管件進(jin)行逐(zhu)一試驗(yan)(yan)。在(zai)一個代表(biao)性管件上得出的(de)(de)(de)合格驗(yan)(yan)證試驗(yan)(yan)可代表(biao)以下(xia)所(suo)述范圍內的(de)(de)(de)其(qi)他相同形式的(de)(de)(de)管件。
a. 規格范圍
一個試驗管(guan)件(jian)可(ke)用(yong)來評定或(huo)(huo)考(kao)(kao)核(he)規(gui)格(ge)為試驗管(guan)件(jian)規(gui)格(ge)的0.5倍到2倍的類似比例的管(guan)件(jian)。非異徑管(guan)件(jian)試驗可(ke)用(yong)以對相同模型的等徑管(guan)件(jian)進行評定或(huo)(huo)考(kao)(kao)核(he)。
b. 厚度(du)范圍
一個試驗(yan)管(guan)件(jian)可(ke)以用來對(dui)t/D比值為(wei)試驗(yan)管(guan)件(jian)的(de)0.5倍(bei)到(dao)3倍(bei)的(de)類似比例(li)的(de)管(guan)件(jian)進行評定或(huo)考核。
c. 材料等級
由各種(zhong)級(ji)別(bie)鋼(gang)材制(zhi)造的幾何尺寸相同的管件(jian),其承壓能(neng)力直(zhi)接與各種(zhong)級(ji)別(bie)材料(liao)的抗拉強度成正(zheng)比,見(jian)20.4.2.1條。因此,只需(xu)試驗單一材料(liao)級(ji)別(bie)的樣品管件(jian)以驗證(zheng)該管件(jian)的設計。
十、產品試(shi)驗
本標準不要(yao)求對(dui)鍛鋼管件(jian)進行(xing)水(shui)壓試驗。所有(you)管件(jian)都(dou)應能(neng)承受與該(gai)管件(jian)的(de)NPS、壁厚及標志在管件(jian)上的(de)材料(liao)級別相(xiang)當(dang)的(de)無縫鋼管適用規范所要(yao)求的(de)水(shui)壓試驗壓力(li),而無泄漏或有(you)損使(shi)用性能(neng)的(de)缺陷。
十一、標志(zhi)
1. 標準標志
每(mei)個管(guan)件都應(ying)作永(yong)久(jiu)性標志以(yi)表明以(yi)下內容:
a. 制造廠的名稱或商標;
b. 材料標識,ASTM或ASME級別符號;
c. 壁厚(hou)序列號或以mm為單(dan)位(wei)的公稱壁厚(hou);
d. 規格(ge)一(yi)一(yi)應使用與端部(bu)連(lian)接有關的(de)管(guan)子公稱規格(ge)(NPS)識(shi)別(bie)號;
e. 符合性一一對(dui)于標準管件(jian)(jian)和特殊管件(jian)(jian)標志見20.4.11.4條。
制造廠可采(cai)用(yong)包括DN規格符號等其他(ta)標(biao)志來(lai)補充強制性標(biao)志,但是(shi)應避免與要(yao)求的標(biao)志混(hun)淆。
注:壁厚(hou)系列號(hao)是在訂購管子和(he)管件時使用的一(yi)種(zhong)方便(bian)的代號(hao),是一(yi)個(ge)無尺寸單位(wei)的數字。它(ta)通(tong)常(chang)與一(yi)組(zu)標準管壁厚(hou)有聯系。對于管子的壁厚(hou)系列號(hao)的整個(ge)細節見 ASME B36.10M及ASME B36.19M。
2. 例(li)外情況
當管件(jian)的(de)規格不允許進行完整標志時(shi),可逆上述內容順序省略識別標識。
3. 鋼印深(shen)度
在使用(yong)鋼(gang)印處,應注意鋼(gang)印不要過深(shen)或太尖而產生(sheng)裂(lie)紋或使管(guan)件的壁厚減少(shao)到小于允許的最小壁厚。
4. 符合性
a. 標(biao)準管件
按符(fu)合本(ben)標(biao)準制造的管(guan)件,包括所有尺寸在內,在材料級別(bie)號標(biao)志中加“WP”前(qian)綴進行識別(bie)。
b. 特殊管件
按符(fu)合本標準制造的管件,除了(le)尺(chi)寸(cun)要求是按采購方和制造廠之間(jian)的協議外,用補充后綴至(zhi)如下(xia)材(cai)料(liao)級(ji)別號標志中來進行識別:
對于符合 ASTM A234、A403、A420及A815的(de)管件,采用“S9”標志;
對于符合ASTM B361、B363及B366的管件,采用(yong)“SPLD”標志。

