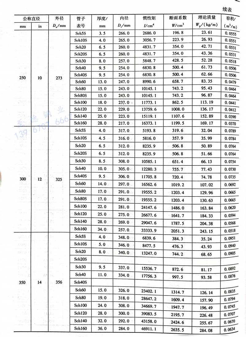
中國石化行業標準碳素鋼、低合金鋼、合金鋼、奧氏體不銹(xiu)鋼無縫鋼管(guan)尺寸及特性數據見表4.1.14。
表4.1.14 中國石(shi)化行業標準碳素鋼、低合金鋼、合金鋼、奧氏體不銹鋼無縫鋼管尺寸(cun)及特(te)性(xing)數據(ju)








發布日期:2024-05-06 14:42:09 人氣:366
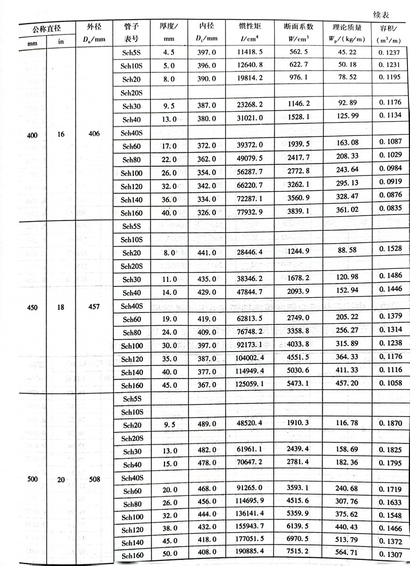
中國石化行業標準碳素鋼、低合金鋼、合金鋼、奧氏體不銹(xiu)鋼無縫鋼管(guan)尺寸及特性數據見表4.1.14。
表4.1.14 中國石(shi)化行業標準碳素鋼、低合金鋼、合金鋼、奧氏體不銹鋼無縫鋼管尺寸(cun)及特(te)性(xing)數據(ju)







