氣相滲氮過程(cheng)可分為三個環節,如圖2-1所示,即氣體(ti)向熔(rong)體(ti)表面的(de)轉移(yi)、吸附解離和向熔(rong)體(ti)中傳(chuan)質:
(1) 氮(dan)氣由氣相(xiang)向熔體表(biao)面(mian)轉(zhuan)移。
(2) 在(zai)氮氣-熔(rong)體(ti)界面上的化學反應(吸附和解(jie)離)
(3) 氮在液相側的傳質。
通常(chang)認為,氮氣(qi)(qi)從氣(qi)(qi)相向熔(rong)體(ti)表面(mian)的(de)傳質過(guo)(guo)程比(bi)界面(mian)反應和(he)(he)液相側的(de)傳質過(guo)(guo)程要(yao)快得多。環(huan)節(jie)(1)的(de)發生速度很快,不會成為滲(shen)氮過(guo)(guo)程的(de)限制(zhi)性(xing)環(huan)節(jie)。熔(rong)體(ti)的(de)氣(qi)(qi)相滲(shen)氮速率主要(yao)受限于環(huan)節(jie)(2)和(he)(he)(3).

一、氮溶(rong)解動(dong)力學模型
根據氮溶(rong)解速率限制性環節的不同,分(fen)別建立以(yi)下兩類(lei)氮溶(rong)解動力學模型。
若氣相(xiang)(xiang)滲氮傾向于由界面反應環(huan)節控制(zhi),則氣相(xiang)(xiang)滲氮速(su)率(lv)可(ke)以表(biao)示為(wei)


綜上所(suo)述,氣(qi)相滲氮的力學模型主(zhu)要分為以上兩種。其(qi)中,對(dui)于氮氣(qi)-熔體(ti)界面上的化學反(fan)應控(kong)制模型的研究(jiu)居(ju)多。此外(wai),基于動力學模型,國(guo)內外(wai)學者對(dui)合金成分、溫(wen)度、氮氣(qi)壓力和表面活性元素等(deng)四類主(zhu)要影響(xiang)因素進行(xing)了(le)更詳細的研究(jiu)。
二(er)、合金(jin)元(yuan)素成分(fen)對氮溶解(jie)動力學的影響
相比于氮(dan)溶解熱(re)力(li)學,氮(dan)溶解動(dong)力(li)學的(de)研究尚不(bu)完善(shan)。目(mu)前,文獻中對于氣相滲氮(dan)動(dong)力(li)學的(de)研究大多(duo)(duo)僅基于純鐵液(ye)或簡單的(de)鐵基二(er)元(yuan)合金(jin),尚未對多(duo)(duo)元(yuan)合金(jin)體系(xi)的(de)氮(dan)溶解動(dong)力(li)學進行深入研究。在相同(tong)的(de)冶煉條件下(xia),不(bu)同(tong)合金(jin)體系(xi)的(de)氣相滲氮(dan)反(fan)應(ying)速率(lv)常數(shu)不(bu)同(tong),主要有如下(xia)三種可(ke)能(neng)的(de)原因:
①. 不(bu)同合(he)金元素(su)具有(you)不(bu)同的(de)原子結構,導致在氣(qi)-液(ye)界面(mian)處的(de)表面(mian)空(kong)位數(shu)不(bu)同,空(kong)位活(huo)性(xing)是衡量(liang)氮在鐵或合(he)金元素(su)產(chan)生的(de)每個(ge)吸(xi)附位處解(jie)離(li)速(su)(su)度(du)的(de)量(liang)度(du),因此(ci)改變熔(rong)融合(he)金成分將對氮溶(rong)解(jie)過程中氮分子的(de)解(jie)離(li)速(su)(su)度(du)產(chan)生影響,表現為氣(qi)相滲氮反應(ying)速(su)(su)率常(chang)數(shu)的(de)差異;
②. 合金元素的(de)表面(mian)活性不同,因此占據氣-液界(jie)面(mian)的(de)摩爾分(fen)數(shu)不同,表面(mian)空(kong)位數(shu)也不同,從(cong)而(er)影響熔體的(de)氣相滲(shen)氮反應速(su)率常數(shu);
③. 不(bu)同(tong)合金元素對氧和硫的(de)吸附系數也有所不(bu)同(tong),因此氣-液界面處(chu)的(de)表面空(kong)位數不(bu)相(xiang)同(tong),從而影響熔體的(de)氣相(xiang)滲氮反應速(su)率常數。
Ono等(deng)通過同位(wei)素(su)交換技術研究(jiu)了Ti、Zr和V等(deng)氮具(ju)有(you)更(geng)強親和力的(de)(de)合金元(yuan)(yuan)素(su)對氣(qi)(qi)(qi)相(xiang)(xiang)滲氮速(su)率(lv)的(de)(de)影(ying)響(xiang)。結(jie)果(guo)表(biao)明,相(xiang)(xiang)比于(yu)Fe元(yuan)(yuan)素(su),Ti、Zr和V等(deng)元(yuan)(yuan)素(su)能夠明顯提升滲氮速(su)率(lv),其原因可通過增加氣(qi)(qi)(qi)-液界(jie)面(mian)處表(biao)面(mian)空(kong)位(wei)的(de)(de)活性(xing)來解釋(shi)。相(xiang)(xiang)反,針(zhen)對A1、Si等(deng)元(yuan)(yuan)素(su)影(ying)響(xiang)的(de)(de)研究(jiu)表(biao)明,這些元(yuan)(yuan)素(su)由于(yu)降(jiang)(jiang)低氣(qi)(qi)(qi)-液界(jie)面(mian)處表(biao)面(mian)空(kong)位(wei)的(de)(de)活性(xing)而降(jiang)(jiang)低了氣(qi)(qi)(qi)相(xiang)(xiang)滲氮速(su)率(lv)。

根據 Ono-Nakazato等351的(de)(de)研(yan)(yan)究,在(zai)1973K下二元合(he)金中(zhong)(zhong)(zhong)的(de)(de)合(he)金元素在(zai)熔體表面(mian)與熔體中(zhong)(zhong)(zhong)摩爾分數(shu)之間的(de)(de)關系如圖2-23所示。從中(zhong)(zhong)(zhong)選擇Mn、Cu和Mo等表面(mian)相(xiang)與本(ben)體相(xiang)中(zhong)(zhong)(zhong)摩爾分數(shu)差異較大的(de)(de)合(he)金元素進(jin)行(xing)氣(qi)(qi)相(xiang)滲氮(dan)動力學研(yan)(yan)究,并利用同(tong)位(wei)素交換技術在(zai)1973K下進(jin)行(xing)了實驗,通過(guo)研(yan)(yan)究氣(qi)(qi)相(xiang)滲氮(dan)反應速率常(chang)數(shu)與表面(mian)相(xiang)中(zhong)(zhong)(zhong)摩爾分數(shu)的(de)(de)關系討論了影(ying)響機理。



1973K下,[%O]=0.0020時(shi)各種(zhong)合(he)金(jin)(jin)元素(su)(su)(su)相(xiang)對(dui)于(yu)鐵的(de)空位(wei)活(huo)度系(xi)(xi)(xi)數(shu)(shu)(shu)如圖2-24所示。同時(shi)將(jiang)各種(zhong)合(he)金(jin)(jin)元素(su)(su)(su)的(de)y.值(zhi)(zhi)與滲(shen)氮(dan)熱力學中合(he)金(jin)(jin)元素(su)(su)(su)對(dui)氮(dan)的(de)活(huo)度相(xiang)互(hu)作(zuo)用(yong)系(xi)(xi)(xi)數(shu)(shu)(shu)進行(xing)了對(dui)比。可以看出,合(he)金(jin)(jin)元素(su)(su)(su)Mn、Mo的(de)y.值(zhi)(zhi)均為正值(zhi)(zhi),且數(shu)(shu)(shu)值(zhi)(zhi)大(da)于(yu)1,表明(ming)Mn、Mo相(xiang)對(dui)于(yu)Fe具有(you)更強的(de)提供空位(wei)的(de)能力;而Cu、Al和Si等合(he)金(jin)(jin)元素(su)(su)(su)則相(xiang)反(fan),其含量的(de)增加會(hui)降低(di)熔體表面空位(wei)的(de)活(huo)性。合(he)金(jin)(jin)元素(su)(su)(su)的(de)r.值(zhi)(zhi)與其對(dui)氮(dan)的(de)活(huo)度相(xiang)互(hu)作(zuo)用(yong)系(xi)(xi)(xi)數(shu)(shu)(shu)之間存在線(xian)性關系(xi)(xi)(xi),例(li)如,Mn、Mo等與氮(dan)具有(you)較強親和力的(de)元素(su)(su)(su)的(de)y.值(zhi)(zhi)較大(da),對(dui)氮(dan)的(de)活(huo)度相(xiang)互(hu)作(zuo)用(yong)系(xi)(xi)(xi)數(shu)(shu)(shu)則較小,為負值(zhi)(zhi);Cu、Al和Si等的(de)y.值(zhi)(zhi)較小,對(dui)氮(dan)的(de)活(huo)度相(xiang)互(hu)用(yong)系(xi)(xi)(xi)數(shu)(shu)(shu)較大(da),為正值(zhi)(zhi)。

相(xiang)(xiang)(xiang)對(dui)于Fe,具(ju)有較大y.值的(de)(de)合金(jin)元素(su)(su)能夠(gou)增(zeng)(zeng)加熔體(ti)表(biao)面(mian)(mian)空位的(de)(de)活性,促進氮(dan)氣(qi)分(fen)子在(zai)表(biao)面(mian)(mian)空位處的(de)(de)吸附和(he)離解過程(cheng),從而增(zeng)(zeng)大氣(qi)相(xiang)(xiang)(xiang)滲氮(dan)反(fan)應速(su)(su)率(lv)常數。圖(tu)2-25總結(jie)了(le)(le)熔融合金(jin)中(zhong)各合金(jin)元素(su)(su)的(de)(de)摩爾分(fen)數對(dui)氣(qi)相(xiang)(xiang)(xiang)滲氮(dan)反(fan)應速(su)(su)率(lv)常數的(de)(de)影(ying)響,圖(tu)中(zhong)縱坐(zuo)標(biao)k/k純鐵液的(de)(de)數值表(biao)征了(le)(le)元素(su)(su)相(xiang)(xiang)(xiang)對(dui)于Fe元素(su)(su)對(dui)氣(qi)相(xiang)(xiang)(xiang)滲氮(dan)反(fan)應速(su)(su)率(lv)常數的(de)(de)影(ying)響。
相(xiang)對于鐵的(de)(de)空位活(huo)度系(xi)數(shu)(shu)k/k純鐵液值大于1時,元素對氮(dan)(dan)的(de)(de)親(qin)和力比鐵強,具有增大氣相(xiang)滲(shen)氮(dan)(dan)反(fan)應(ying)速(su)率(lv)常數(shu)(shu)的(de)(de)作用(yong),如Ti、Zr、V、Mn、Cr和Mo等;其他(ta)k/k純鐵液值小于1的(de)(de)元素,如B、Si、Al和Cu等,則對氮(dan)(dan)的(de)(de)排斥力較強,相(xiang)比于Fe具有降低氣相(xiang)滲(shen)氮(dan)(dan)反(fan)應(ying)速(su)率(lv)常數(shu)(shu)的(de)(de)作用(yong)。

三、溫度對氮溶(rong)解動力學的影響
關于溫度(du)對氮溶解動(dong)力學的(de)(de)影響,研究(jiu)人員的(de)(de)研究(jiu)結果相(xiang)對一(yi)致,即(ji)隨著冶(ye)煉(lian)溫度(du)的(de)(de)升高,氣(qi)相(xiang)滲氮反應(ying)速(su)率(lv)常數(shu)增大,滲氮速(su)率(lv)增快(kuai)。在反應(ying)速(su)率(lv)理(li)(li)論的(de)(de)發展過程中,先后形成了碰撞理(li)(li)論、過渡態理(li)(li)論和單分子反應(ying)理(li)(li)論等。根據廣泛認可(ke)的(de)(de)碰撞理(li)(li)論,氣(qi)相(xiang)滲氮反應(ying)速(su)率(lv)常數(shu)可(ke)以表示為

提高(gao)冶煉溫(wen)度,氣(qi)(qi)相(xiang)中氮氣(qi)(qi)分(fen)(fen)(fen)子和熔體中各組分(fen)(fen)(fen)的(de)熱(re)運動更加劇烈,大(da)大(da)增(zeng)(zeng)加了(le)(le)氮分(fen)(fen)(fen)子的(de)碰(peng)撞(zhuang)頻(pin)率(lv);同(tong)時,高(gao)溫(wen)下氮氣(qi)(qi)分(fen)(fen)(fen)子更易獲得能(neng)量,使得部分(fen)(fen)(fen)原本(ben)能(neng)量較低(di)的(de)氮氣(qi)(qi)分(fen)(fen)(fen)子變為活化氮氣(qi)(qi)分(fen)(fen)(fen)子,活化氮氣(qi)(qi)分(fen)(fen)(fen)子數(shu)量的(de)增(zeng)(zeng)多也增(zeng)(zeng)大(da)了(le)(le)有(you)效碰(peng)撞(zhuang)分(fen)(fen)(fen)數(shu)。碰(peng)撞(zhuang)頻(pin)率(lv)和有(you)效碰(peng)撞(zhuang)分(fen)(fen)(fen)數(shu)均隨溫(wen)度的(de)升高(gao)而(er)(er)增(zeng)(zeng)大(da),從(cong)而(er)(er)增(zeng)(zeng)大(da)了(le)(le)氣(qi)(qi)相(xiang)滲氮反應速率(lv)常數(shu)。
東北大學特殊鋼冶金研究所在1個大氣壓力下、1520~1580℃范圍內對奧(ao)氏體(ti)不銹鋼進行了氣相滲氮動力學研究,實驗用鋼的化學成分如表2-6所示。通過分析實驗數據可以發現,實驗條件下鋼液滲氮速率受界面反應控制。根據前述界面反應控制對應的氣相滲氮動力學模型,得到奧氏體不銹鋼在101kPa,1520℃、1550℃和1580℃溫度下的氣相滲氮公式分別如式(2-57)~式(2-59)所示。在氮氣壓力為101kPa時,不同溫度和滲氮時間下氮含量的實測值與模型計算值的對比如圖2-26所示。根據相應的氣相滲氮反應速率常數k與熔煉溫度的關系(圖2-27),可以看出k的值隨溫度的升高而增大,即高溫下氣相滲氮反應更快。


國外學者Han等、Ono等和Kobayashi等也開展(zhan)了關于溫度對(dui)滲(shen)氮(dan)過程(cheng)動力學的(de)(de)實驗與(yu)(yu)理論研(yan)究(jiu)(jiu)(jiu),得(de)到的(de)(de)純鐵液中溫度對(dui)氣(qi)相(xiang)滲(shen)氮(dan)反(fan)應(ying)速率常(chang)數(shu)的(de)(de)關系如圖2-28所示。研(yan)究(jiu)(jiu)(jiu)表明(ming),氣(qi)相(xiang)滲(shen)氮(dan)過程(cheng)的(de)(de)限制環(huan)節為氮(dan)在(zai)界面反(fan)應(ying)時的(de)(de)解離;根據解離步驟滲(shen)氮(dan)模型,氣(qi)相(xiang)滲(shen)氮(dan)反(fan)應(ying)速率常(chang)數(shu)隨冶煉(lian)(lian)溫度的(de)(de)變化規律與(yu)(yu)上述研(yan)究(jiu)(jiu)(jiu)趨勢一致,即冶煉(lian)(lian)溫度T對(dui)氣(qi)相(xiang)滲(shen)氮(dan)反(fan)應(ying)速率常(chang)數(shu)k的(de)(de)影響規律符合阿倫(lun)尼烏斯公式,在(zai)一定范圍內(nei)1gk與(yu)(yu)1/T成反(fan)比。

四、氮(dan)氣壓(ya)力(li)(li)對氮(dan)溶(rong)解動力(li)(li)學(xue)的影響
目前,關(guan)于氣(qi)(qi)相中氮(dan)(dan)氣(qi)(qi)壓力(li)對(dui)氣(qi)(qi)相滲(shen)氮(dan)(dan)動(dong)力(li)學影(ying)響的研究都是基于氣(qi)(qi)相滲(shen)氮(dan)(dan)動(dong)力(li)學模型(xing)進(jin)行。針對(dui)氮(dan)(dan)氣(qi)(qi)壓力(li)對(dui)氣(qi)(qi)相滲(shen)氮(dan)(dan)速率(lv)或氣(qi)(qi)相滲(shen)氮(dan)(dan)反應速率(lv)常數(shu)的影(ying)響及其函數(shu)關(guan)系,根(gen)據(ju)氣(qi)(qi)相滲(shen)氮(dan)(dan)動(dong)力(li)學模型(xing)選擇的不同(tong),研究人員存(cun)在不同(tong)的見解。
1. 當(dang)氣相滲(shen)氮過程由界面反(fan)應環節(jie)控制(zhi)時
由阿倫尼(ni)烏斯公(gong)式與(yu)碰(peng)(peng)撞(zhuang)(zhuang)理論可知,反應速(su)率(lv)常數(shu)不(bu)受(shou)氮(dan)氣壓(ya)力(li)(li)(li)的(de)(de)影響。而氣相(xiang)滲氮(dan)反應速(su)率(lv)與(yu)氮(dan)氣壓(ya)力(li)(li)(li)有密切聯系。從(cong)微觀的(de)(de)角度(du)看(kan),增(zeng)大氮(dan)氣壓(ya)力(li)(li)(li)增(zeng)多(duo)了單(dan)位體積氣相(xiang)內的(de)(de)氮(dan)氣分子(zi)數(shu),在碰(peng)(peng)撞(zhuang)(zhuang)頻率(lv)和(he)有效(xiao)碰(peng)(peng)撞(zhuang)(zhuang)分數(shu)為定值的(de)(de)情況下,氮(dan)氣壓(ya)力(li)(li)(li)越高則(ze)有效(xiao)碰(peng)(peng)撞(zhuang)(zhuang)次(ci)數(shu)越多(duo),反應速(su)率(lv)也(ye)越大。因(yin)此,合(he)金熔體的(de)(de)氣相(xiang)滲氮(dan)反應速(su)率(lv)隨氮(dan)氣壓(ya)力(li)(li)(li)的(de)(de)升(sheng)高而增(zeng)大。
東北大學(xue)(xue)特(te)殊鋼冶(ye)金研究所在1550℃,33kPa、67kPa和(he)101kPa三個不(bu)同氮(dan)(dan)氣壓(ya)(ya)力(li)下(xia)對(dui)奧氏體(ti)不(bu)銹鋼進行了氣相滲氮(dan)(dan)動力(li)學(xue)(xue)的(de)研究。通過(guo)分析實驗數(shu)據(ju)可以發現,實驗條件下(xia)鋼液氣相滲氮(dan)(dan)過(guo)程受界面反(fan)(fan)應環(huan)節控(kong)制。根據(ju)由(you)界面反(fan)(fan)應環(huan)節控(kong)制的(de)氣相滲氮(dan)(dan)動力(li)學(xue)(xue)模型(xing),計算(suan)得到(dao)奧氏體(ti)不(bu)銹鋼在1550℃和(he)不(bu)同氮(dan)(dan)氣壓(ya)(ya)力(li)下(xia)的(de)氣相滲氮(dan)(dan)公式分別如(ru)(ru)式(2-60)~式(2-62)所示。在溫(wen)度為1550℃時,不(bu)同氮(dan)(dan)氣壓(ya)(ya)力(li)和(he)時間下(xia)氮(dan)(dan)含量的(de)實測值與模型(xing)計算(suan)值的(de)對(dui)比如(ru)(ru)圖(tu)2-29所示。氣相滲氮(dan)(dan)反(fan)(fan)應速(su)率常數(shu)k與氮(dan)(dan)氣壓(ya)(ya)力(li)的(de)關系如(ru)(ru)圖(tu)2-30所示,可以看出k的(de)大小與氮(dan)(dan)氣壓(ya)(ya)力(li)無關。



2. 當氣相滲氮過程由液相側傳質環節控制時
與氣(qi)(qi)相(xiang)滲(shen)氮(dan)(dan)(dan)(dan)(dan)過(guo)程(cheng)由界(jie)面反應環(huan)節(jie)控制不同,Inouye和Choh[44]認(ren)為氣(qi)(qi)相(xiang)滲(shen)氮(dan)(dan)(dan)(dan)(dan)過(guo)程(cheng)由液(ye)相(xiang)側傳(chuan)質(zhi)環(huan)節(jie)控制。如圖(tu)2-32所示,研究發(fa)(fa)現(xian)(xian)滲(shen)氮(dan)(dan)(dan)(dan)(dan)時液(ye)相(xiang)表(biao)(biao)觀(guan)傳(chuan)質(zhi)系數隨著氮(dan)(dan)(dan)(dan)(dan)氣(qi)(qi)壓(ya)力的(de)增(zeng)加而增(zeng)大(da)。進一(yi)步比較不同表(biao)(biao)面活(huo)性(xing)元(yuan)素(su)(su)(氧、硫)含量(liang)(liang)的(de)熔(rong)體中(zhong)氣(qi)(qi)相(xiang)滲(shen)氮(dan)(dan)(dan)(dan)(dan)速率與氮(dan)(dan)(dan)(dan)(dan)氣(qi)(qi)壓(ya)力的(de)關(guan)系,發(fa)(fa)現(xian)(xian)當表(biao)(biao)面活(huo)性(xing)元(yuan)素(su)(su)含量(liang)(liang)非常低時,純鐵(tie)液(ye)的(de)氣(qi)(qi)相(xiang)滲(shen)氮(dan)(dan)(dan)(dan)(dan)速率與氮(dan)(dan)(dan)(dan)(dan)氣(qi)(qi)壓(ya)力的(de)平方根成正(zheng)比[圖(tu)2-33(a)];隨著表(biao)(biao)面活(huo)性(xing)元(yuan)素(su)(su)濃度的(de)增(zeng)加,如當硫含量(liang)(liang)高于0.046%時,氣(qi)(qi)相(xiang)滲(shen)氮(dan)(dan)(dan)(dan)(dan)速率與氮(dan)(dan)(dan)(dan)(dan)氣(qi)(qi)壓(ya)力成正(zheng)比[圖(tu)2-33(b)].這表(biao)(biao)明氮(dan)(dan)(dan)(dan)(dan)氣(qi)(qi)壓(ya)力對氣(qi)(qi)相(xiang)滲(shen)氮(dan)(dan)(dan)(dan)(dan)速率的(de)影響,與熔(rong)體中(zhong)的(de)表(biao)(biao)面活(huo)性(xing)元(yuan)素(su)(su)的(de)含量(liang)(liang)和氣(qi)(qi)相(xiang)滲(shen)氮(dan)(dan)(dan)(dan)(dan)過(guo)程(cheng)的(de)控制環(huan)節(jie)等條(tiao)件密切相(xiang)關(guan)。

五、表面活(huo)性元素對氮溶解動力學的影響(xiang)
氧、硫(liu)作為金屬熔(rong)體中(zhong)最常見的(de)表(biao)(biao)面(mian)活性(xing)元素,在熔(rong)體表(biao)(biao)面(mian)的(de)富集會占據(ju)氣相-熔(rong)體界(jie)面(mian)上的(de)空位,從而阻礙氮(dan)在界(jie)面(mian)處的(de)溶解反應,對(dui)氣相滲氮(dan)過程(cheng)產(chan)生強(qiang)的(de)抑制(zhi)作用。在高(gao)氮(dan)鋼冶煉過程(cheng)中(zhong),若在氣相氮(dan)合金化工藝前率先對(dui)鋼液(ye)進行脫氧和脫硫(liu),則可(ke)以降低表(biao)(biao)面(mian)活性(xing)元素的(de)不(bu)利影(ying)響,使鋼液(ye)增氮(dan)更(geng)高(gao)效。
針對氧、硫(liu)元素對氣相滲氮(dan)速(su)率的影響,依據(ju)不同的氣相滲氮(dan)動力學模型(xing),研究人(ren)員存(cun)在不同的見解(jie),可以分(fen)別從分(fen)子能級-反應活化(hua)能、金屬熔體表面空位和液相側(ce)傳質等角度進(jin)行分(fen)析。
1. 氣相滲氮過程為界(jie)面反應控制,從能級角度考(kao)慮(lv)
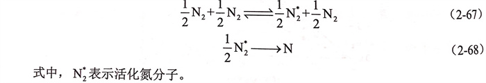
氮(dan)在(zai)金(jin)屬(shu)液中(zhong)的(de)溶解(jie)/吸收可分(fen)為反(fan)(fan)應(ying)(2-67)和反(fan)(fan)應(ying)(2-68)兩個(ge)過程。其中(zhong),反(fan)(fan)應(ying)(2-67)表示(shi)氮(dan)分(fen)子(zi)之間發(fa)生碰撞形成部分(fen)活化氮(dan)分(fen)子(zi),是一個(ge)可逆的(de)過程;反(fan)(fan)應(ying)(2-68)表示(shi)活化氮(dan)分(fen)子(zi)在(zai)熔體(ti)表面(mian)解(jie)離為氮(dan)原子(zi)并溶解(jie)的(de)過程。

當(dang)冶煉溫(wen)度一定(ding)時,氣相(xiang)側氮(dan)(dan)分(fen)(fen)(fen)子(zi)(zi)(zi)(zi)的(de)(de)(de)碰撞頻率(lv)(lv)是恒定(ding)的(de)(de)(de),與(yu)純鐵液中的(de)(de)(de)氧(yang)(yang)、硫(liu)濃(nong)度無(wu)關,但是氧(yang)(yang)、硫(liu)的(de)(de)(de)存(cun)(cun)在(zai)(zai)(zai)(zai)會顯(xian)著(zhu)降(jiang)低(di)氮(dan)(dan)的(de)(de)(de)吸(xi)收率(lv)(lv),這與(yu)氧(yang)(yang)、硫(liu)的(de)(de)(de)表(biao)面(mian)活(huo)(huo)性改變(bian)了反應(ying)界面(mian)處(chu)氮(dan)(dan)分(fen)(fen)(fen)子(zi)(zi)(zi)(zi)的(de)(de)(de)活(huo)(huo)化(hua)(hua)狀態(tai)有(you)關。通常,氮(dan)(dan)分(fen)(fen)(fen)子(zi)(zi)(zi)(zi)在(zai)(zai)(zai)(zai)氣相(xiang)側發生碰撞并不斷(duan)改變(bian)能(neng)(neng)(neng)量狀態(tai),但在(zai)(zai)(zai)(zai)由大量分(fen)(fen)(fen)子(zi)(zi)(zi)(zi)組(zu)成的(de)(de)(de)系(xi)統(tong)中,以(yi)一定(ding)能(neng)(neng)(neng)級(ji)存(cun)(cun)在(zai)(zai)(zai)(zai)的(de)(de)(de)分(fen)(fen)(fen)子(zi)(zi)(zi)(zi)數(shu)被認為(wei)(wei)是恒定(ding)的(de)(de)(de)。這遵循(xun)Maxwell分(fen)(fen)(fen)布(bu)(bu)定(ding)律(lv),即隨(sui)著(zhu)能(neng)(neng)(neng)級(ji)的(de)(de)(de)增加,分(fen)(fen)(fen)子(zi)(zi)(zi)(zi)數(shu)量減少。基于Maxwell分(fen)(fen)(fen)布(bu)(bu)定(ding)律(lv)中氮(dan)(dan)分(fen)(fen)(fen)子(zi)(zi)(zi)(zi)的(de)(de)(de)能(neng)(neng)(neng)量狀態(tai)的(de)(de)(de)觀點,可(ke)以(yi)認為(wei)(wei),在(zai)(zai)(zai)(zai)熔融合金表(biao)面(mian)活(huo)(huo)性元素(su)(su)含(han)量濃(nong)度較(jiao)低(di)時,存(cun)(cun)在(zai)(zai)(zai)(zai)于最(zui)(zui)低(di)能(neng)(neng)(neng)級(ji)(energy level)以(yi)上的(de)(de)(de)所有(you)分(fen)(fen)(fen)子(zi)(zi)(zi)(zi)均可(ke)以(yi)成為(wei)(wei)活(huo)(huo)化(hua)(hua)分(fen)(fen)(fen)子(zi)(zi)(zi)(zi);然而隨(sui)著(zhu)表(biao)面(mian)活(huo)(huo)性元素(su)(su)濃(nong)度的(de)(de)(de)增加,氮(dan)(dan)氣活(huo)(huo)化(hua)(hua)分(fen)(fen)(fen)子(zi)(zi)(zi)(zi)存(cun)(cun)在(zai)(zai)(zai)(zai)的(de)(de)(de)最(zui)(zui)低(di)能(neng)(neng)(neng)級(ji)變(bian)高,原本(ben)在(zai)(zai)(zai)(zai)表(biao)面(mian)活(huo)(huo)性元素(su)(su)濃(nong)度低(di)的(de)(de)(de)情況下存(cun)(cun)在(zai)(zai)(zai)(zai)的(de)(de)(de)活(huo)(huo)化(hua)(hua)分(fen)(fen)(fen)子(zi)(zi)(zi)(zi),由于表(biao)面(mian)活(huo)(huo)性元素(su)(su)含(han)量的(de)(de)(de)增加、最(zui)(zui)低(di)能(neng)(neng)(neng)級(ji)上升,無(wu)法成為(wei)(wei)活(huo)(huo)化(hua)(hua)分(fen)(fen)(fen)子(zi)(zi)(zi)(zi)。因此,氮(dan)(dan)分(fen)(fen)(fen)子(zi)(zi)(zi)(zi)之間(jian)的(de)(de)(de)有(you)效碰撞和活(huo)(huo)化(hua)(hua)分(fen)(fen)(fen)子(zi)(zi)(zi)(zi)數(shu)降(jiang)低(di),導致氣相(xiang)滲氮(dan)(dan)速率(lv)(lv)下降(jiang)。
2. 氣相滲氮過程由界面(mian)反(fan)應控制(zhi),從空位吸附(fu)角度考慮
根據吸附(fu)理論,氮在熔體中的溶(rong)解可以描(miao)述為以下三個(ge)過程:

研究表(biao)明,在氧含量(liang)超(chao)過(guo)0.015%的(de)Fe-O體系(xi)中,氣相(xiang)滲氮過(guo)程符(fu)合界面反應控制(zhi)的(de)氣相(xiang)滲氮動力學模型[41],Fe-S體系(xi)亦(yi)是如(ru)此(ci),氧和硫的(de)表(biao)面活性(xing)對氮分子解離過(guo)程產生(sheng)了不利影響。將氮分子的(de)解離過(guo)程[式(2-70)]視為(wei)氣相(xiang)滲氮過(guo)程的(de)控制(zhi)步驟,可(ke)以假定吸(xi)附步驟[式(2-69)]發生(sheng)較快且處于平衡狀(zhuang)態(tai)。此(ci)時,氣相(xiang)滲氮反應速率及(ji)反應速率常數可(ke)以分別由(you)式(2-72)與式(2-73)來表(biao)示:
在理(li)想(xiang)情(qing)況下,空位的(de)活(huo)(huo)度a.可以確定為1-01,其中(zhong)0,為添加元素i占據(ju)金屬(shu)熔(rong)體表(biao)(biao)面吸附位的(de)分數。如(ru)果元素i符(fu)合Langmuir 理(li)想(xiang)吸附模型,則口+i-.此時(shi),i吸附到表(biao)(biao)面上的(de)覆(fu)蓋率(lv)和i的(de)活(huo)(huo)性(xing)之間的(de)關(guan)系可以由(you)式(2-74)表(biao)(biao)示(shi):

據此(ci),通(tong)過式(2-75),可以通(tong)過添(tian)加元(yuan)素i的吸(xi)附(fu)系數K;來確定(ding)氣(qi)相滲(shen)氮反應(ying)速率常數,并(bing)進一步解釋元(yuan)素i在熔體表面的吸(xi)附(fu)對氣(qi)相滲(shen)氮反應(ying)速率常數的影響。
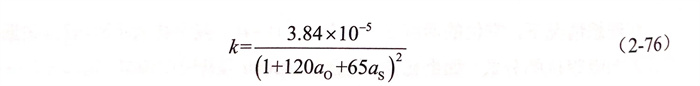
圖2-34給出了Fe-O-S體系氣(qi)(qi)相滲氮(dan)動(dong)力學(xue)的(de)(de)研究結果,此處添加元(yuan)素(su)i即指氧(yang)(yang)和硫元(yuan)素(su)。根據式(2-75),通過(guo)多元(yuan)回(hui)歸(gui)分(fen)析確定氧(yang)(yang)(Ko)和硫(Ks)的(de)(de)吸附系數分(fen)別為(wei)120與65.圖2-34表(biao)(biao)明,氣(qi)(qi)相滲氮(dan)反(fan)(fan)應(ying)速率常(chang)數k的(de)(de)平(ping)方根與1/(1+120ao+65as)之(zhi)間呈線性關系。圖中直線的(de)(de)斜率代(dai)表(biao)(biao)氮(dan)在鐵液裸表(biao)(biao)面(沒有氧(yang)(yang)和硫等表(biao)(biao)面活性元(yuan)素(su)覆(fu)蓋)上的(de)(de)氣(qi)(qi)相滲氮(dan)反(fan)(fan)應(ying)速率常(chang)數k的(de)(de)平(ping)方根,其值(zhi)為(wei)0.0062,即k=3.84x10-5[mol/(c㎡·s·atm)]。

基于上(shang)述分析結(jie)果(guo),在1873K溫度下氧和硫含(han)量對(dui)氣相滲氮反(fan)應(ying)速率(lv)常數k的影(ying)響可以歸納如下:

僅考(kao)慮氧(yang)含(han)量與同時考(kao)慮氧(yang)、硫(liu)含(han)量對滲氮(dan)(dan)反應速(su)(su)率常數的(de)影響(xiang),如(ru)圖2-35所示。隨著熔(rong)體(ti)中氧(yang)和硫(liu)含(han)量的(de)增加,氮(dan)(dan)的(de)氣(qi)(qi)相滲氮(dan)(dan)反應速(su)(su)率常數顯著降(jiang)低,且與上述函數關系吻合良好,這(zhe)表明利用(yong)(yong)式(shi)(2-76)表示表面(mian)活性元素氧(yang)、硫(liu)對氣(qi)(qi)相滲氮(dan)(dan)反應速(su)(su)率常數的(de)影響(xiang)是合理(li)(li)的(de)。根據前述可知,氮(dan)(dan)的(de)溶(rong)解(jie)機理(li)(li)如(ru)下(xia):首先,氮(dan)(dan)分(fen)子(zi)在(zai)熔(rong)體(ti)表面(mian)占(zhan)據空(kong)位[式(shi)(2-69),吸(xi)附步(bu)(bu)驟],然后氮(dan)(dan)氣(qi)(qi)分(fen)子(zi)與相鄰的(de)空(kong)位反應而發生解(jie)離(li)[式(shi)(2-70),解(jie)離(li)步(bu)(bu)驟],最終解(jie)離(li)的(de)氮(dan)(dan)原子(zi)溶(rong)解(jie)進入熔(rong)體(ti)中。氧(yang)原子(zi)和硫(liu)原子(zi)占(zhan)據解(jie)離(li)步(bu)(bu)驟所需的(de)熔(rong)體(ti)表面(mian)空(kong)位時,氮(dan)(dan)分(fen)子(zi)的(de)解(jie)離(li)步(bu)(bu)驟受到限制,熔(rong)體(ti)的(de)氣(qi)(qi)相滲氮(dan)(dan)過程將由解(jie)離(li)步(bu)(bu)驟決定。此(ci)外,由于(yu)熔(rong)體(ti)中的(de)氧(yang)作(zuo)為(wei)表面(mian)活性元素的(de)作(zuo)用(yong)(yong)比硫(liu)更強,當氧(yang)和硫(liu)濃(nong)度(du)相近時,氧(yang)相比于(yu)硫(liu)更容易成為(wei)影響(xiang)氣(qi)(qi)相滲氮(dan)(dan)反應速(su)(su)率的(de)主(zhu)要(yao)因素。

3. 氣相滲氮(dan)過(guo)程(cheng)為(wei)液相側傳質控(kong)制,從傳質速率的(de)角度考慮
氣相滲氮速率可以(yi)表示如下:

式中(zhong),Cs為(wei)(wei)與(yu)氣相(xiang)平衡的鐵液中(zhong)的氮平衡濃度(du);C為(wei)(wei)t時(shi)刻(ke)鐵液中(zhong)的氮濃度(du);Co為(wei)(wei)t=0時(shi)鐵液中(zhong)的初始氮濃度(du);k為(wei)(wei)液相(xiang)表(biao)觀(guan)傳(chuan)質系數;V為(wei)(wei)熔體的體積;F為(wei)(wei)氣相(xiang)-熔體界面表(biao)面積;t為(wei)(wei)滲氮時(shi)間。
a. 硫(liu)含量對(dui)氣(qi)相滲氮速率的影響:
在1600℃下,Fe-S系(xi)鐵液(ye)氣相(xiang)滲(shen)氮(dan)(dan)的(de)(de)(de)增(zeng)氮(dan)(dan)過程如圖(tu)2-36所示。隨著(zhu)(zhu)鐵液(ye)中硫(liu)含量(liang)(liang)的(de)(de)(de)增(zeng)加,氣相(xiang)滲(shen)氮(dan)(dan)速(su)率(lv)顯著(zhu)(zhu)降低。通過圖(tu)2-37可(ke)見硫(liu)含量(liang)(liang)對鐵液(ye)氣相(xiang)滲(shen)氮(dan)(dan)速(su)率(lv)的(de)(de)(de)影響,根(gen)據式(2-79)的(de)(de)(de)分析結果,氮(dan)(dan)的(de)(de)(de)液(ye)相(xiang)表(biao)觀(guan)(guan)傳(chuan)質系(xi)數(shu)K隨硫(liu)含量(liang)(liang)的(de)(de)(de)增(zeng)加而變小。氮(dan)(dan)的(de)(de)(de)液(ye)相(xiang)表(biao)觀(guan)(guan)傳(chuan)質系(xi)數(shu)與硫(liu)含量(liang)(liang)的(de)(de)(de)函數(shu)關系(xi)如圖(tu)2-38所示,當硫(liu)含量(liang)(liang)高于0.03%時,氮(dan)(dan)的(de)(de)(de)液(ye)相(xiang)表(biao)觀(guan)(guan)傳(chuan)質系(xi)數(shu) kN與成反比。因(yin)此,當硫(liu)含量(liang)(liang)在0.03%以上時,Fe-S系(xi)鐵液(ye)中氮(dan)(dan)的(de)(de)(de)液(ye)相(xiang)表(biao)觀(guan)(guan)傳(chuan)質速(su)率(lv)可(ke)用(yong)式(2-79)表(biao)示:


b. 氧含量對氣相滲氮(dan)速率(lv)的(de)影響:
與硫相(xiang)似,氧同樣對鐵液中(zhong)(zhong)的(de)(de)氣(qi)相(xiang)滲(shen)氮(dan)速率(lv)有(you)顯(xian)著影響,并且其阻礙效(xiao)果比硫更強(qiang)。如圖2-39和圖2-40所(suo)示,隨著鐵液中(zhong)(zhong)氧含(han)量的(de)(de)增加,氮(dan)的(de)(de)氣(qi)相(xiang)滲(shen)氮(dan)速率(lv)和氮(dan)的(de)(de)液相(xiang)表(biao)觀傳(chuan)(chuan)質(zhi)系數(shu)明顯(xian)降低。如圖2-41所(suo)示,當Fe-O系鐵液中(zhong)(zhong)氧含(han)量高于0.02%時(shi),氮(dan)的(de)(de)液相(xiang)表(biao)觀傳(chuan)(chuan)質(zhi)系數(shu)值與成(cheng)反比,可見氧對氮(dan)的(de)(de)氣(qi)相(xiang)滲(shen)氮(dan)速率(lv)的(de)(de)影響機理(li)與Fe-S 系鐵液相(xiang)同。因此,Fe-O系鐵液中(zhong)(zhong)氮(dan)的(de)(de)液相(xiang)表(biao)觀傳(chuan)(chuan)質(zhi)速率(lv)由式(2-80)表(biao)示:


綜上所(suo)述,在(zai)對以液相(xiang)(xiang)側傳(chuan)質(zhi)為控制(zhi)環節的氣(qi)相(xiang)(xiang)滲(shen)氮動力學研究(jiu)中,研究(jiu)人員通過測(ce)量不同氧(yang)(yang)(yang)含量和(he)硫(liu)含量下(xia)鐵液中液相(xiang)(xiang)表觀(guan)(guan)傳(chuan)質(zhi)系(xi)(xi)數,分(fen)別(bie)研究(jiu)了氧(yang)(yang)(yang)和(he)硫(liu)對液相(xiang)(xiang)表觀(guan)(guan)傳(chuan)質(zhi)系(xi)(xi)數的影響,隨著氧(yang)(yang)(yang)含量與(yu)硫(liu)含量的增(zeng)大,液相(xiang)(xiang)表觀(guan)(guan)傳(chuan)質(zhi)系(xi)(xi)數減小,氣(qi)相(xiang)(xiang)滲(shen)氮速率降低,并(bing)且氧(yang)(yang)(yang)的抑(yi)制(zhi)作(zuo)(zuo)用更強。關(guan)于氧(yang)(yang)(yang)與(yu)硫(liu)的共同作(zuo)(zuo)用,尚需進一步研究(jiu)。

