在鑄錠(ding)凝(ning)固(gu)過程(cheng)中,增加壓力(li)能夠改(gai)善鑄型(xing)和(he)(he)鑄錠(ding)的(de)(de)接(jie)觸環境(jing),為了深(shen)入研究(jiu)壓力(li)強化(hua)鑄錠(ding)和(he)(he)鑄型(xing)間換熱(re)的(de)(de)效果,在能量守(shou)恒的(de)(de)基礎上,運用導熱(re)微分方程(cheng),建立換熱(re)系(xi)數的(de)(de)反算模型(xing),量化(hua)壓力(li)對換熱(re)系(xi)數的(de)(de)影響規律。該模型(xing)包含(han)傳熱(re)正問(wen)題(ti)模型(xing)和(he)(he)傳熱(re)反問(wen)題(ti)模型(xing)。
1.傳熱正問題(ti)模型
凝(ning)(ning)固過(guo)(guo)程(cheng)(cheng)(cheng)中的(de)(de)(de)熱(re)量傳輸是凝(ning)(ning)固進行的(de)(de)(de)驅動力,直接關系著(zhu)金屬液(ye)相凝(ning)(ning)固的(de)(de)(de)整(zheng)個(ge)進程(cheng)(cheng)(cheng)。凝(ning)(ning)固過(guo)(guo)程(cheng)(cheng)(cheng)中,熱(re)量通過(guo)(guo)金屬液(ye)相、已凝(ning)(ning)固的(de)(de)(de)金屬固相、鑄錠(ding)-鑄型界面(氣隙等(deng))和鑄型的(de)(de)(de)熱(re)阻(zu)向環境(jing)傳輸。因(yin)存(cun)在凝(ning)(ning)固潛熱(re)的(de)(de)(de)釋(shi)放(fang),凝(ning)(ning)固是一個(ge)有熱(re)源的(de)(de)(de)非(fei)穩態傳熱(re)過(guo)(guo)程(cheng)(cheng)(cheng),基于(yu)凝(ning)(ning)固過(guo)(guo)程(cheng)(cheng)(cheng)熱(re)傳導的(de)(de)(de)能量守恒原理(li),柱坐標下鑄錠(ding)和鑄型的(de)(de)(de)導熱(re)分方(fang)程(cheng)(cheng)(cheng)可表示為:


鋼液釋放凝(ning)(ning)固潛(qian)熱(re)(re)(re),進而(er)在體(ti)積單元內(nei)產(chan)生內(nei)熱(re)(re)(re)源(yuan)(yuan)q;在運用(yong)數值離散的(de)方(fang)法(fa)(fa)(fa)求解(jie)導熱(re)(re)(re)微分(fen)方(fang)程(cheng)時,凝(ning)(ning)固潛(qian)熱(re)(re)(re)的(de)處(chu)理方(fang)法(fa)(fa)(fa)通常(chang)有四種,分(fen)別為(wei)等效(xiao)(xiao)比(bi)(bi)熱(re)(re)(re)法(fa)(fa)(fa)、熱(re)(re)(re)焓(han)(han)法(fa)(fa)(fa)、溫度(du)回升(sheng)法(fa)(fa)(fa)以及源(yuan)(yuan)項處(chu)理法(fa)(fa)(fa)。孫天(tian)亮對四種凝(ning)(ning)固潛(qian)熱(re)(re)(re)的(de)處(chu)理法(fa)(fa)(fa)進行比(bi)(bi)較發(fa)現,源(yuan)(yuan)項處(chu)理法(fa)(fa)(fa)最為(wei)精(jing)確,其次(ci)是等效(xiao)(xiao)比(bi)(bi)熱(re)(re)(re)法(fa)(fa)(fa),誤差(cha)較大的(de)是溫度(du)回升(sheng)法(fa)(fa)(fa)和熱(re)(re)(re)焓(han)(han)法(fa)(fa)(fa);在一(yi)般情(qing)況下,為(wei)了簡化計算和降(jiang)低編程(cheng)難度(du),可采用(yong)等效(xiao)(xiao)比(bi)(bi)熱(re)(re)(re)法(fa)(fa)(fa)處(chu)理凝(ning)(ning)固潛(qian)熱(re)(re)(re)。因此,在非穩態條件(jian)下,內(nei)熱(re)(re)(re)源(yuan)(yuan)與凝(ning)(ning)固潛(qian)熱(re)(re)(re)的(de)關系可表示為(wei):
此外(wai),由于鑄(zhu)錠的(de)凝固(gu)收(shou)縮和鑄(zhu)型(xing)(xing)的(de)受熱(re)(re)膨(peng)脹,鑄(zhu)錠和鑄(zhu)型(xing)(xing)接觸隨之發生變化,當鑄(zhu)錠和鑄(zhu)型(xing)(xing)間氣隙形(xing)成(cheng)以后,鑄(zhu)錠向鑄(zhu)型(xing)(xing)的(de)傳(chuan)熱(re)(re)方(fang)式不只是(shi)簡單的(de)傳(chuan)導(dao)傳(chuan)熱(re)(re),同時(shi)存在小區(qu)域的(de)對流和輻(fu)(fu)射傳(chuan)熱(re)(re),進而(er)加大了(le)計算的(de)復雜性,為了(le)降低(di)計算的(de)復雜性和難度,采(cai)用等效界(jie)面換熱(re)(re)系(xi)數hi來替代(dai)氣隙形(xing)成(cheng)后鑄(zhu)錠和鑄(zhu)型(xing)(xing)間復雜的(de)傳(chuan)導(dao)、對流和輻(fu)(fu)射傳(chuan)熱(re)(re)過程,在不考慮間隙比熱(re)(re)容的(de)情(qing)況(kuang)下,等效界(jie)面換熱(re)(re)系(xi)數h;計算方(fang)法(fa)如下:
2. 傳熱反(fan)問題模型(xing)
與正問(wen)題(ti)相對(dui)(dui)應的(de)(de)反(fan)問(wen)題(ti),即(ji)在求(qiu)解傳(chuan)熱(re)(re)(re)問(wen)題(ti)時(shi),以(yi)溫(wen)度場為已(yi)知(zhi)量,對(dui)(dui)邊界(jie)(jie)條(tiao)(tiao)(tiao)件(jian)(jian)或(huo)初始條(tiao)(tiao)(tiao)件(jian)(jian)進(jin)行計算的(de)(de)過程。傳(chuan)熱(re)(re)(re)反(fan)問(wen)題(ti)的(de)(de)研究從20世(shi)紀60年(nian)代以(yi)來得到了空(kong)前的(de)(de)進(jin)步與應用。在鑄(zhu)造過程中(zhong),鑄(zhu)錠和(he)鑄(zhu)型(xing)(xing)間(jian)邊界(jie)(jie)條(tiao)(tiao)(tiao)件(jian)(jian)的(de)(de)反(fan)問(wen)題(ti)也一直備受(shou)關注(zhu)。通傳(chuan)熱(re)(re)(re)正問(wen)題(ti)模型(xing)(xing)可知(zhi),在鑄(zhu)錠和(he)鑄(zhu)型(xing)(xing)物性參數、初始條(tiao)(tiao)(tiao)件(jian)(jian)以(yi)及除鑄(zhu)錠和(he)鑄(zhu)型(xing)(xing)間(jian)邊界(jie)(jie)條(tiao)(tiao)(tiao)件(jian)(jian)以(yi)外,其他邊界(jie)(jie)條(tiao)(tiao)(tiao)件(jian)(jian)可知(zhi)的(de)(de)情(qing)況下(xia)。溫(wen)度場可表示(shi)成(cheng)隨鑄(zhu)錠和(he)鑄(zhu)型(xing)(xing)間(jian)界(jie)(jie)面換熱(re)(re)(re)系數變(bian)化的(de)(de)函數,即(ji)

利(li)用傳熱反問(wen)題(ti)模型,運用數值離(li)散的(de)(de)方(fang)法求解界面換(huan)熱系(xi)(xi)數的(de)(de)過程(cheng),相(xiang)當于(yu)依照一定(ding)(ding)的(de)(de)方(fang)法或者規律(lv)選定(ding)(ding)界面換(huan)熱系(xi)(xi)數,并(bing)以此作為已知邊(bian)界條件,利(li)用傳熱正(zheng)問(wen)題(ti)計(ji)算出相(xiang)應的(de)(de)溫(wen)度(du)(du)場(chang),如果溫(wen)度(du)(du)場(chang)的(de)(de)計(ji)算值與測量(liang)值之(zhi)間(jian)(jian)的(de)(de)偏差(cha)最(zui)小,那么選定(ding)(ding)的(de)(de)界面換(huan)熱系(xi)(xi)數最(zui)接近真實(shi)值。為了度(du)(du)量(liang)溫(wen)度(du)(du)場(chang)計(ji)算值與測量(liang)值之(zhi)間(jian)(jian)的(de)(de)偏差(cha),利(li)用最(zui)小二乘(cheng)法構建以下(xia)函(han)數關(guan)系(xi)(xi)
因此,在(zai)給(gei)定界面(mian)換熱(re)系數(shu)初始值的(de)情況下,利用式(2-151)可對(dui)(dui)界面(mian)換熱(re)系數(shu)h進行迭(die)(die)代(dai)求(qiu)解,每次(ci)迭(die)(die)代(dai)均(jun)利用傳熱(re)正問題(ti)模(mo)型對(dui)(dui)熱(re)電偶測量點的(de)溫度T(h)進行計算(suan);當迭(die)(die)代(dai)結果滿足精度要求(qiu)時,即(ji)可獲得接近(jin)界面(mian)換熱(re)系數(shu)真實(shi)值的(de)h.對(dui)(dui)于一維導熱(re)過(guo)程(cheng),界面(mian)換熱(re)系數(shu)反(fan)算(suan)模(mo)型求(qiu)解過(guo)程(cheng)中(zhong)可用如(ru)圖2-77所示的(de)幾(ji)何(he)模(mo)型,除了(le)鑄(zhu)錠(ding)和鑄(zhu)型間邊(bian)(bian)(bian)界條(tiao)件(jian)以外,模(mo)型中(zhong)還包(bao)含兩個邊(bian)(bian)(bian)界條(tiao)件(jian),分別為鑄(zhu)錠(ding)心部邊(bian)(bian)(bian)界條(tiao)件(jian)(B1)和外表(biao)面(mian)邊(bian)(bian)(bian)界條(tiao)件(jian)(B2).

3. 正/反傳熱問題的數(shu)值求解方(fang)法

數值(zhi)離散(san)方(fang)法(fa)(fa)主要包含有(you)(you)限(xian)元(yuan)、有(you)(you)限(xian)體(ti)積(ji)及有(you)(you)限(xian)差(cha)分(fen)(fen)(fen)(fen)(fen)(fen)(fen)法(fa)(fa)。有(you)(you)限(xian)元(yuan)法(fa)(fa)的(de)(de)(de)基(ji)礎(chu)是變(bian)分(fen)(fen)(fen)(fen)(fen)(fen)(fen)原理和(he)加權余量(liang)(liang)法(fa)(fa),其基(ji)本求(qiu)解(jie)(jie)思(si)想(xiang)是把計算域(yu)劃(hua)(hua)分(fen)(fen)(fen)(fen)(fen)(fen)(fen)為(wei)(wei)有(you)(you)限(xian)個(ge)互不重(zhong)疊的(de)(de)(de)單元(yuan),在每個(ge)單元(yuan)內,選(xuan)擇一(yi)(yi)些(xie)合適的(de)(de)(de)節(jie)點(dian)(dian)作為(wei)(wei)求(qiu)解(jie)(jie)函數的(de)(de)(de)插值(zhi)點(dian)(dian),將(jiang)微分(fen)(fen)(fen)(fen)(fen)(fen)(fen)方(fang)程中的(de)(de)(de)變(bian)量(liang)(liang)改寫成由(you)各變(bian)量(liang)(liang)或(huo)其導(dao)數的(de)(de)(de)節(jie)點(dian)(dian)值(zhi)與所選(xuan)用的(de)(de)(de)插值(zhi)函數組成的(de)(de)(de)線性(xing)表達式(shi),借助變(bian)分(fen)(fen)(fen)(fen)(fen)(fen)(fen)原理或(huo)加權余量(liang)(liang)法(fa)(fa),將(jiang)微分(fen)(fen)(fen)(fen)(fen)(fen)(fen)方(fang)程離散(san)求(qiu)解(jie)(jie)。有(you)(you)限(xian)體(ti)積(ji)法(fa)(fa)的(de)(de)(de)基(ji)本思(si)路是將(jiang)計算區域(yu)劃(hua)(hua)分(fen)(fen)(fen)(fen)(fen)(fen)(fen)為(wei)(wei)一(yi)(yi)系列(lie)不重(zhong)復的(de)(de)(de)控(kong)制(zhi)體(ti)積(ji),并(bing)使每個(ge)網(wang)格(ge)(ge)(ge)(ge)點(dian)(dian)周圍有(you)(you)一(yi)(yi)個(ge)控(kong)制(zhi)體(ti)積(ji);將(jiang)待解(jie)(jie)的(de)(de)(de)微分(fen)(fen)(fen)(fen)(fen)(fen)(fen)方(fang)程對每一(yi)(yi)個(ge)控(kong)制(zhi)體(ti)積(ji)積(ji)分(fen)(fen)(fen)(fen)(fen)(fen)(fen),便得(de)出一(yi)(yi)組離散(san)方(fang)程。其中的(de)(de)(de)未(wei)知數是網(wang)格(ge)(ge)(ge)(ge)點(dian)(dian)上(shang)(shang)因變(bian)量(liang)(liang)的(de)(de)(de)數值(zhi)。有(you)(you)限(xian)差(cha)分(fen)(fen)(fen)(fen)(fen)(fen)(fen)法(fa)(fa)是將(jiang)求(qiu)解(jie)(jie)域(yu)劃(hua)(hua)分(fen)(fen)(fen)(fen)(fen)(fen)(fen)為(wei)(wei)差(cha)分(fen)(fen)(fen)(fen)(fen)(fen)(fen)網(wang)格(ge)(ge)(ge)(ge),用有(you)(you)限(xian)個(ge)網(wang)格(ge)(ge)(ge)(ge)節(jie)點(dian)(dian)代(dai)替(ti)(ti)(ti)連續的(de)(de)(de)求(qiu)解(jie)(jie)域(yu),以(yi)泰勒(le)級數展(zhan)開(kai)等(deng)方(fang)法(fa)(fa),把控(kong)制(zhi)方(fang)程中的(de)(de)(de)導(dao)數用網(wang)格(ge)(ge)(ge)(ge)節(jie)點(dian)(dian)上(shang)(shang)函數值(zhi)的(de)(de)(de)差(cha)商代(dai)替(ti)(ti)(ti)進行離散(san),從而建立(li)以(yi)網(wang)格(ge)(ge)(ge)(ge)節(jie)點(dian)(dian)上(shang)(shang)的(de)(de)(de)值(zhi)為(wei)(wei)未(wei)知數的(de)(de)(de)代(dai)數方(fang)程組。對于(yu)有(you)(you)限(xian)差(cha)分(fen)(fen)(fen)(fen)(fen)(fen)(fen)格(ge)(ge)(ge)(ge)式(shi),從格(ge)(ge)(ge)(ge)式(shi)的(de)(de)(de)精(jing)度來(lai)劃(hua)(hua)分(fen)(fen)(fen)(fen)(fen)(fen)(fen),有(you)(you)一(yi)(yi)階格(ge)(ge)(ge)(ge)式(shi)、二(er)階格(ge)(ge)(ge)(ge)式(shi)和(he)高階格(ge)(ge)(ge)(ge)式(shi)。從差(cha)分(fen)(fen)(fen)(fen)(fen)(fen)(fen)的(de)(de)(de)空(kong)間(jian)形(xing)式(shi)來(lai)考慮,可分(fen)(fen)(fen)(fen)(fen)(fen)(fen)為(wei)(wei)中心格(ge)(ge)(ge)(ge)式(shi)和(he)逆風格(ge)(ge)(ge)(ge)式(shi)。考慮時(shi)間(jian)因子的(de)(de)(de)影響,差(cha)分(fen)(fen)(fen)(fen)(fen)(fen)(fen)格(ge)(ge)(ge)(ge)式(shi)還(huan)可以(yi)分(fen)(fen)(fen)(fen)(fen)(fen)(fen)為(wei)(wei)顯格(ge)(ge)(ge)(ge)式(shi)、隱格(ge)(ge)(ge)(ge)式(shi)、顯隱交替(ti)(ti)(ti)格(ge)(ge)(ge)(ge)式(shi)等(deng)。
以隱式(shi)(shi)有限差分為例,對通式(shi)(shi)(2-152)進行數值(zhi)離散,二(er)階導數采用(yong)二(er)階中心差商形式(shi)(shi),經整理(li)得(de):


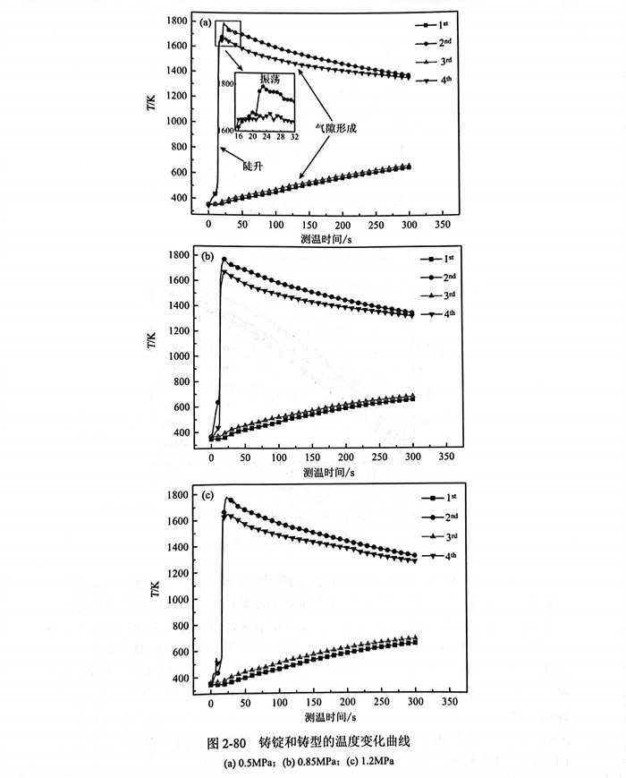
為(wei)了更好(hao)地說明(ming)壓力(li)對界(jie)面(mian)換熱系數的(de)(de)影響,以高氮鋼(gang)P2000加壓凝(ning)固過程(cheng)的(de)(de)傳熱現象為(wei)例,采用4根雙(shuang)鉑銠(B型(xing)(xing))熱電偶(ou),通(tong)過埋設(she)熱電偶(ou)測(ce)溫實(shi)驗測(ce)量(liang)凝(ning)固過程(cheng)鑄(zhu)(zhu)錠(ding)(ding)和鑄(zhu)(zhu)型(xing)(xing)溫度變化(hua)曲線,采用兩個位(wei)移傳感器測(ce)量(liang)凝(ning)固過程(cheng)中鑄(zhu)(zhu)型(xing)(xing)和鑄(zhu)(zhu)錠(ding)(ding)的(de)(de)位(wei)移變化(hua)情況,獲得凝(ning)固過程(cheng)中鑄(zhu)(zhu)錠(ding)(ding)和鑄(zhu)(zhu)型(xing)(xing)界(jie)面(mian)氣隙演變規(gui)律(lv),測(ce)量(liang)裝置示意圖和實(shi)物圖如圖2-79所示。

澆(jiao)注(zhu)結(jie)束(shu)后(hou)(hou),在(zai)(zai)0.5MPa、0.85MPa和(he)1.2MPa下的(de)(de)鋼(gang)(gang)液(ye)凝(ning)固過程中,鑄(zhu)(zhu)(zhu)錠(ding)(ding)和(he)鑄(zhu)(zhu)(zhu)型(xing)溫(wen)(wen)(wen)(wen)(wen)度(du)(du)(du)變(bian)化曲(qu)(qu)線的(de)(de)測(ce)量(liang)結(jie)果(guo)如(ru)圖(tu)2-80所(suo)示(shi),溫(wen)(wen)(wen)(wen)(wen)度(du)(du)(du)變(bian)化曲(qu)(qu)線測(ce)量(liang)的(de)(de)時間區間為(wei)澆(jiao)注(zhu)結(jie)束(shu)后(hou)(hou)的(de)(de)300s以(yi)(yi)內,且(qie)鑄(zhu)(zhu)(zhu)錠(ding)(ding)和(he)鑄(zhu)(zhu)(zhu)型(xing)在(zai)(zai)不(bu)同壓力下的(de)(de)溫(wen)(wen)(wen)(wen)(wen)度(du)(du)(du)變(bian)化趨勢(shi)基本(ben)一致(zhi)。以(yi)(yi)0.5MPa下的(de)(de)溫(wen)(wen)(wen)(wen)(wen)度(du)(du)(du)變(bian)化曲(qu)(qu)線為(wei)例,如(ru)圖(tu)2-80(a)所(suo)示(shi),在(zai)(zai)初(chu)始(shi)階段(duan),2nd和(he)4h曲(qu)(qu)線上溫(wen)(wen)(wen)(wen)(wen)度(du)(du)(du)均(jun)存(cun)在(zai)(zai)陡升(sheng)和(he)振蕩階段(duan),這主(zhu)要是(shi)在(zai)(zai)測(ce)溫(wen)(wen)(wen)(wen)(wen)初(chu)期(qi),熱(re)(re)電偶與鋼(gang)(gang)液(ye)接觸后(hou)(hou)的(de)(de)自(zi)身預熱(re)(re),以(yi)(yi)及(ji)澆(jiao)注(zhu)引起(qi)鋼(gang)(gang)液(ye)的(de)(de)湍流(liu)所(suo)致(zhi)[104];隨著(zhu)鋼(gang)(gang)液(ye)凝(ning)固的(de)(de)進(jin)行,由于(yu)鑄(zhu)(zhu)(zhu)錠(ding)(ding)不(bu)斷向鑄(zhu)(zhu)(zhu)型(xing)傳熱(re)(re),致(zhi)使(shi)鑄(zhu)(zhu)(zhu)錠(ding)(ding)的(de)(de)溫(wen)(wen)(wen)(wen)(wen)度(du)(du)(du)(2nd和(he)4h)逐(zhu)漸減小,而鑄(zhu)(zhu)(zhu)型(xing)的(de)(de)溫(wen)(wen)(wen)(wen)(wen)度(du)(du)(du)(1st和(he)3rd)隨之增加。此外(wai),測(ce)溫(wen)(wen)(wen)(wen)(wen)位置相(xiang)近的(de)(de)3rd和(he)4th曲(qu)(qu)線之間存(cun)在(zai)(zai)較大(da)的(de)(de)溫(wen)(wen)(wen)(wen)(wen)差,這主(zhu)要是(shi)由于(yu)鑄(zhu)(zhu)(zhu)錠(ding)(ding)和(he)鑄(zhu)(zhu)(zhu)型(xing)間氣隙形成(cheng)后(hou)(hou)產生的(de)(de)巨大(da)熱(re)(re)阻Rair-cap(=1/hi),其中h為(wei)鑄(zhu)(zhu)(zhu)錠(ding)(ding)和(he)鑄(zhu)(zhu)(zhu)型(xing)間的(de)(de)換熱(re)(re)系數。

不同壓(ya)(ya)力下鑄(zhu)(zhu)(zhu)型(xing)溫度的(de)(de)增(zeng)長速率(15t和(he)(he)(he)3rd)和(he)(he)(he)鑄(zhu)(zhu)(zhu)錠的(de)(de)冷(leng)(leng)卻(que)速率(2d和(he)(he)(he)4h)如圖2-81所示,當壓(ya)(ya)力從0.5MPa增(zeng)加(jia)(jia)至1.2MPa時(shi),鑄(zhu)(zhu)(zhu)錠內(nei)2md和(he)(he)(he)4h熱(re)電偶測(ce)溫點(dian)冷(leng)(leng)卻(que)速率的(de)(de)增(zeng)量(liang)(liang)分別(bie)為(wei)0.335K/s和(he)(he)(he)0.605K/s.與此(ci)(ci)同時(shi),在(zai)澆注結束(shu)后300s時(shi),鑄(zhu)(zhu)(zhu)錠內(nei)2d和(he)(he)(he)4h測(ce)溫位置之間(jian)的(de)(de)平均溫度梯度從4.0K/mm增(zeng)加(jia)(jia)到(dao)了8.6K/mm.由導熱(re)的(de)(de)傅(fu)里葉定(ding)律(lv)(Qingor=αGr,α為(wei)19Cr14Mn0.9N鑄(zhu)(zhu)(zhu)錠的(de)(de)導熱(re)系數(shu),Qingot為(wei)熱(re)通(tong)(tong)量(liang)(liang))可知(zhi),隨著(zhu)壓(ya)(ya)力的(de)(de)增(zeng)加(jia)(jia),鑄(zhu)(zhu)(zhu)錠內(nei)沿度梯度方向上的(de)(de)熱(re)通(tong)(tong)量(liang)(liang)增(zeng)大。此(ci)(ci)外,根據能(neng)量(liang)(liang)守恒(heng)定(ding)律(lv)(即Q=Qingot,Q為(wei)鑄(zhu)(zhu)(zhu)錠和(he)(he)(he)鑄(zhu)(zhu)(zhu)型(xing)間(jian)的(de)(de)熱(re)通(tong)(tong)量(liang)(liang)),鑄(zhu)(zhu)(zhu)錠和(he)(he)(he)鑄(zhu)(zhu)(zhu)型(xing)間(jian)的(de)(de)熱(re)通(tong)(tong)量(liang)(liang)也隨之增(zeng)加(jia)(jia)。因此(ci)(ci),增(zeng)加(jia)(jia)壓(ya)(ya)力能(neng)夠顯著(zhu)加(jia)(jia)快(kuai)鑄(zhu)(zhu)(zhu)錠的(de)(de)冷(leng)(leng)卻(que)以及強化鑄(zhu)(zhu)(zhu)錠和(he)(he)(he)鑄(zhu)(zhu)(zhu)型(xing)間(jian)的(de)(de)換熱(re)。

在(zai)0.5MPa、0.85MPa和(he)1.2MPa壓力下(xia)的(de)(de)(de)(de)(de)鋼液(ye)凝固過(guo)程(cheng)中(zhong),鑄(zhu)錠(ding)(ding)和(he)鑄(zhu)型的(de)(de)(de)(de)(de)溫(wen)度測量值(zhi)作為輸入值(zhi)(圖2-80),運(yun)用驗證后的(de)(de)(de)(de)(de)反(fan)(fan)(fan)算(suan)模型,對鑄(zhu)錠(ding)(ding)和(he)鑄(zhu)型間(jian)界面換(huan)(huan)熱(re)(re)(re)系數隨時間(jian)的(de)(de)(de)(de)(de)變化規(gui)律進行(xing)反(fan)(fan)(fan)算(suan),反(fan)(fan)(fan)算(suan)過(guo)程(cheng)中(zhong)時間(jian)步長(chang)Δt取(qu)值(zhi)為0.75s,空間(jian)步長(chang)Δr取(qu)值(zhi)為1mm,常數β和(he)8分別(bie)為10-10和(he)200.換(huan)(huan)熱(re)(re)(re)系數的(de)(de)(de)(de)(de)反(fan)(fan)(fan)算(suan)結果(guo)分別(bie)為hos、ho85和(he)h2,隨時間(jian)的(de)(de)(de)(de)(de)變化規(gui)律如圖2-82所示,由于Δt和(he)8乘(cheng)積為150s,結合Beck非線(xian)性估(gu)算(suan)法本身的(de)(de)(de)(de)(de)特(te)點(dian),只能(neng)反(fan)(fan)(fan)算(suan)出(chu)凝固前(qian)(qian)(qian)期150s內(nei)hos、ho.85和(he)h2隨時間(jian)的(de)(de)(de)(de)(de)變化規(gui)律。此(ci)外,因熱(re)(re)(re)電(dian)偶本身的(de)(de)(de)(de)(de)預(yu)熱(re)(re)(re)以及(ji)澆注引起鋼液(ye)的(de)(de)(de)(de)(de)湍(tuan)流,導致2nd和(he)4th熱(re)(re)(re)電(dian)偶的(de)(de)(de)(de)(de)在(zai)前(qian)(qian)(qian)30s內(nei)存(cun)在(zai)較大(da)(da)的(de)(de)(de)(de)(de)波動,因此(ci)反(fan)(fan)(fan)算(suan)出(chu)的(de)(de)(de)(de)(de)界面換(huan)(huan)熱(re)(re)(re)系數在(zai)前(qian)(qian)(qian)期存(cun)在(zai)一定(ding)的(de)(de)(de)(de)(de)波動,其中(zhong)h2最大(da)(da),其次(ci)是ho.85,ho5最小。


擬(ni)合后的參數Adj.R-Square分別為0.9558、0.9716和0.9692,說(shuo)明擬(ni)合度高,反(fan)算結果和經(jing)驗公(gong)式相符(fu)。通(tong)過對比不同壓力(li)下(xia)反(fan)算出的界(jie)面換(huan)熱系數可知,隨著壓力(li)的增加,界(jie)面換(huan)熱系數增大,鑄(zhu)錠(ding)和鑄(zhu)型間界(jie)面換(huan)熱條件得到明顯改善,充分說(shuo)明壓力(li)在19Cr14Mn0.9N含(han)氮鋼(gang)的凝(ning)固(gu)過程中(zhong),起到了(le)十分顯著的強化冷卻(que)作(zuo)用(yong)。
眾所周知,在某一時刻下,界(jie)面換(huan)熱系數與(yu)壓力呈現多項式(shi)關(guan)系。為了獲得(de)19Cr14Mn0.9N 含氮鋼界(jie)面換(huan)熱系數與(yu)壓力之間的關(guan)系,可采用(yong)多項式(shi)擬合的方式(shi)對界(jie)面換(huan)熱系數與(yu)壓力關(guan)系進行(xing)擬合,擬合關(guan)系式(shi)為

