漏(lou)(lou)磁場(chang)有兩種拾取方法,既可(ke)(ke)以測量漏(lou)(lou)磁感(gan)應強(qiang)度(du)的絕對值(zhi),也可(ke)(ke)以測量漏(lou)(lou)磁感(gan)應強(qiang)度(du)的梯(ti)度(du)值(zhi)。
磁場傳(chuan)感(gan)器的作用是將(jiang)磁場轉換為電信號。按原理可分為體效(xiao)(xiao)應(ying)(ying)元(yuan)件(jian)(jian)(jian)、面(mian)效(xiao)(xiao)應(ying)(ying)元(yuan)件(jian)(jian)(jian)、P-N節(jie)注入和表面(mian)復合效(xiao)(xiao)應(ying)(ying)元(yuan)件(jian)(jian)(jian)、量子效(xiao)(xiao)應(ying)(ying)元(yuan)件(jian)(jian)(jian)、磁致伸縮效(xiao)(xiao)應(ying)(ying)元(yuan)件(jian)(jian)(jian)和光纖磁傳(chuan)感(gan)器等。磁場傳(chuan)感(gan)器都(dou)是建(jian)立在各(ge)種(zhong)(zhong)效(xiao)(xiao)應(ying)(ying)和物理現(xian)象(xiang)的基(ji)礎(chu)之上的,表3-1給出(chu)了不同種(zhong)(zhong)類磁場傳(chuan)感(gan)器的測(ce)量范(fan)圍,它們的敏感(gan)范(fan)圍差異較(jiao)大。在具體應(ying)(ying)用過(guo)程中,需(xu)要根(gen)據測(ce)量對象(xiang)的特點來選擇適合的傳(chuan)感(gan)器。
在不(bu)銹(xiu)鋼管漏磁檢測中,常使用的有下列幾種磁敏傳感器。

1. 各(ge)向異性磁阻傳感器
各向(xiang)(xiang)(xiang)異性(xing)磁(ci)(ci)阻傳感器 AMR(Anisotropic Magneto-Resistive sensors)由沉積在硅片上的坡莫合金(jin)(Ni80Fe20)薄膜(mo)形成電(dian)(dian)(dian)阻,沉積時外加磁(ci)(ci)場,形成易(yi)磁(ci)(ci)化(hua)(hua)軸(zhou)(zhou)方向(xiang)(xiang)(xiang)。易(yi)磁(ci)(ci)化(hua)(hua)軸(zhou)(zhou)方向(xiang)(xiang)(xiang)是指各向(xiang)(xiang)(xiang)異性(xing)的磁(ci)(ci)體能獲得最(zui)佳磁(ci)(ci)性(xing)能的方向(xiang)(xiang)(xiang),也就(jiu)是無外界磁(ci)(ci)干擾時磁(ci)(ci)疇整齊排列(lie)的方向(xiang)(xiang)(xiang)。鐵磁(ci)(ci)材料的電(dian)(dian)(dian)阻與(yu)(yu)電(dian)(dian)(dian)流和磁(ci)(ci)化(hua)(hua)方向(xiang)(xiang)(xiang)的夾角有(you)關(guan),電(dian)(dian)(dian)流與(yu)(yu)磁(ci)(ci)化(hua)(hua)方向(xiang)(xiang)(xiang)平行時電(dian)(dian)(dian)阻R最(zui)大,電(dian)(dian)(dian)流與(yu)(yu)磁(ci)(ci)化(hua)(hua)方向(xiang)(xiang)(xiang)垂直時電(dian)(dian)(dian)阻Rmin最(zui)小,電(dian)(dian)(dian)流與(yu)(yu)磁(ci)(ci)化(hua)(hua)方向(xiang)(xiang)(xiang)成0角時,電(dian)(dian)(dian)阻可表示為
R=Rmin+(Rmax-Rmin)cos2θ (3-2)
在磁(ci)(ci)(ci)阻傳感器(qi)中,為了消(xiao)除溫度等(deng)外界(jie)因素對(dui)輸出的(de)影響,一般由(you)4個相同(tong)的(de)磁(ci)(ci)(ci)阻元件構(gou)成(cheng)惠斯通電(dian)(dian)橋。理論分析(xi)與(yu)實(shi)踐表明,采用45°偏(pian)置磁(ci)(ci)(ci)場(chang),當(dang)沿與(yu)易磁(ci)(ci)(ci)化軸垂直(zhi)的(de)方向施加(jia)外磁(ci)(ci)(ci)場(chang),且外磁(ci)(ci)(ci)場(chang)強(qiang)度不(bu)太大(da)時,電(dian)(dian)橋輸出與(yu)外加(jia)磁(ci)(ci)(ci)場(chang)強(qiang)度呈線(xian)性關系。
2. 磁通門
磁(ci)通門(men)傳(chuan)感器又稱(cheng)為磁(ci)飽和式(shi)磁(ci)敏傳(chuan)感器,它是利(li)用(yong)某(mou)些高磁(ci)導(dao)率的軟磁(ci)性材(cai)料(如坡莫(mo)合(he)金)做(zuo)磁(ci)心,以(yi)其(qi)在交直流磁(ci)場作用(yong)下(xia)的磁(ci)飽和特性以(yi)及法拉第電磁(ci)感應原(yuan)理研制的磁(ci)場測量裝置。
這種磁(ci)敏傳感器的(de)最大特點是適合測(ce)量零磁(ci)場(chang)附近的(de)弱磁(ci)場(chang)。傳感器體(ti)積小,重量輕,功耗低,不受(shou)磁(ci)場(chang)梯度影響(xiang),測(ce)量的(de)靈敏度可(ke)達0.01nT,并且可(ke)以和磁(ci)秤(cheng)混合使用(yong)。該(gai)裝置已普遍應用(yong)于航空(kong)、地(di)(di)面、測(ce)井等方(fang)面的(de)磁(ci)法勘探(tan)工(gong)作中(zhong)。在(zai)軍事上(shang),也(ye)可(ke)用(yong)于尋找地(di)(di)下武器(炮彈、地(di)(di)雷等)和反潛。還(huan)可(ke)用(yong)于預報天然地(di)(di)震及空(kong)間磁(ci)測(ce)等。
3. 巨磁阻(zu)元件(jian)
物(wu)質在一(yi)定磁(ci)(ci)(ci)(ci)(ci)場(chang)作用(yong)下(xia)電阻(zu)(zu)(zu)發(fa)(fa)生改(gai)變(bian)的(de)(de)(de)(de)(de)現象(xiang),稱為磁(ci)(ci)(ci)(ci)(ci)阻(zu)(zu)(zu)效(xiao)(xiao)(xiao)應(ying)。磁(ci)(ci)(ci)(ci)(ci)性金屬和(he)合金材(cai)(cai)料一(yi)般都(dou)有(you)(you)這(zhe)(zhe)種(zhong)現象(xiang)。一(yi)般情況下(xia),物(wu)質的(de)(de)(de)(de)(de)電阻(zu)(zu)(zu)率在磁(ci)(ci)(ci)(ci)(ci)場(chang)中(zhong)僅發(fa)(fa)生微小(xiao)的(de)(de)(de)(de)(de)變(bian)化,但在某(mou)種(zhong)條件下(xia),電阻(zu)(zu)(zu)變(bian)化的(de)(de)(de)(de)(de)幅度相(xiang)當大(da),比通常情況下(xia)高十余倍,稱為巨磁(ci)(ci)(ci)(ci)(ci)阻(zu)(zu)(zu)效(xiao)(xiao)(xiao)應(ying)(GMR)。這(zhe)(zhe)種(zhong)效(xiao)(xiao)(xiao)應(ying)來自(zi)(zi)于載(zai)流電子(zi)的(de)(de)(de)(de)(de)不同(tong)自(zi)(zi)旋(xuan)狀態與(yu)磁(ci)(ci)(ci)(ci)(ci)場(chang)的(de)(de)(de)(de)(de)作用(yong)不同(tong),因而導致電阻(zu)(zu)(zu)值的(de)(de)(de)(de)(de)變(bian)化。GMR是一(yi)個量子(zi)力學(xue)效(xiao)(xiao)(xiao)應(ying),它(ta)是在層狀的(de)(de)(de)(de)(de)磁(ci)(ci)(ci)(ci)(ci)性薄(bo)膜結構中(zhong)觀察(cha)到的(de)(de)(de)(de)(de),這(zhe)(zhe)種(zhong)結構由(you)鐵(tie)磁(ci)(ci)(ci)(ci)(ci)材(cai)(cai)料和(he)非(fei)磁(ci)(ci)(ci)(ci)(ci)材(cai)(cai)料薄(bo)層交替疊合而成(cheng)。當鐵(tie)磁(ci)(ci)(ci)(ci)(ci)層的(de)(de)(de)(de)(de)磁(ci)(ci)(ci)(ci)(ci)矩相(xiang)互平行時,載(zai)流子(zi)與(yu)自(zi)(zi)旋(xuan)有(you)(you)關的(de)(de)(de)(de)(de)散(san)射最(zui)(zui)小(xiao),材(cai)(cai)料有(you)(you)最(zui)(zui)小(xiao)的(de)(de)(de)(de)(de)電阻(zu)(zu)(zu)。當鐵(tie)磁(ci)(ci)(ci)(ci)(ci)層的(de)(de)(de)(de)(de)磁(ci)(ci)(ci)(ci)(ci)矩為反向平行時,與(yu)自(zi)(zi)旋(xuan)有(you)(you)關的(de)(de)(de)(de)(de)散(san)射最(zui)(zui)強,材(cai)(cai)料的(de)(de)(de)(de)(de)電阻(zu)(zu)(zu)最(zui)(zui)大(da)。
構(gou)成(cheng)GMR磁(ci)頭和傳(chuan)感器(qi)的核心元件(jian)是自旋閥(spin valve)元件(jian)。它的基本結構(gou)是由(you)釘(ding)扎(zha)磁(ci)性(xing)(xing)層(ceng)(ceng)(如Co)、Cu間隔(ge)層(ceng)(ceng)和自由(you)磁(ci)性(xing)(xing)層(ceng)(ceng)(如NiFe等(deng)易磁(ci)化(hua)層(ceng)(ceng))組(zu)成(cheng)的多層(ceng)(ceng)膜。由(you)于(yu)釘(ding)扎(zha)磁(ci)性(xing)(xing)層(ceng)(ceng)的磁(ci)矩(ju)與自由(you)磁(ci)性(xing)(xing)層(ceng)(ceng)的磁(ci)矩(ju)之間的夾角發(fa)生變化(hua)會導致SV-GMR元件(jian)的電(dian)阻值改變,進(jin)而使(shi)輸出電(dian)流(liu)發(fa)生變化(hua)。運用(yong)SV-GMR元件(jian)的磁(ci)傳(chuan)感器(qi),其檢測靈(ling)敏(min)度比使(shi)用(yong)MR元件(jian)的高(gao)幾個數量級,更(geng)(geng)容(rong)易集成(cheng)化(hua),封裝尺寸更(geng)(geng)小,可靠(kao)性(xing)(xing)更(geng)(geng)高(gao)。它不僅可以(yi)取代(dai)以(yi)前(qian)的MR傳(chuan)感器(qi),還可以(yi)制成(cheng)傳(chuan)感器(qi)陣列,實(shi)現智能化(hua),用(yong)來表述通(tong)行(xing)車輛(liang)、飛(fei)機(ji)機(ji)翼、建筑防(fang)護裝置(zhi)(zhi)或管(guan)道系統中隱蔽缺陷的特征,跟蹤地(di)磁(ci)場的異常現象等(deng)。當前(qian),GMR傳(chuan)感器(qi)已在液(ye)壓氣缸(gang)位置(zhi)(zhi)傳(chuan)感、真(zhen)假(jia)紙幣識(shi)別、軸承編碼、電(dian)流(liu)檢測與控制、旋轉位置(zhi)(zhi)檢測、車輛(liang)通(tong)行(xing)情況檢測等(deng)領域得到應(ying)用(yong)。
4. 霍爾元(yuan)件(jian)
霍爾(er)元件在漏磁檢測中(zhong)應用較為廣泛(fan)。霍爾(er)元件是(shi)由半導體(ti)材料制成的(de)一種晶體(ti)。當(dang)給晶體(ti)材料通以(yi)電(dian)流并置(zhi)于(yu)磁場(chang)(chang)之(zhi)中(zhong)時(shi),在晶體(ti)的(de)兩面就會產生(sheng)電(dian)壓(ya),電(dian)壓(ya)的(de)大(da)小與(yu)磁場(chang)(chang)強(qiang)度成正(zheng)比(bi)關系。
固體導電(dian)材料幾乎可以使電(dian)子(zi)暢(chang)通無阻地流過(guo),就像傳(chuan)統的(de)臺球模型演(yan)示的(de)那樣,晶(jing)(jing)體點陣上(shang)的(de)離子(zi)不會使傳(chuan)導電(dian)子(zi)發生(sheng)折射。當(dang)電(dian)流由晶(jing)(jing)體的(de)一端(duan)輸入時,電(dian)子(zi)或者(zhe)相(xiang)互之間發生(sheng)折射,或者(zhe)向著(zhu)晶(jing)(jing)體的(de)另一端(duan)折射。
根據固體物理理論可知,晶體上的(de)電壓Vh為: Vh=RhIBz/b (3-3)
式(shi)中,1為所使用(yong)的電流;Bz為磁場強度在垂直于電流方(fang)向(xiang)(xiang)上的分量;b為晶體在磁場方(fang)向(xiang)(xiang)上的厚度;Rh為霍爾系數。
一(yi)般情況下,如果晶體與磁場B之(zhi)間成一(yi)定夾(jia)角,則(ze) B2=Beosθ。
由金(jin)屬制成的霍(huo)爾(er)(er)(er)元(yuan)件(jian)并不是最好的,因(yin)為金(jin)屬的霍(huo)爾(er)(er)(er)系數都很低(di)。根據霍(huo)爾(er)(er)(er)元(yuan)件(jian)工作(zuo)原理,霍(huo)爾(er)(er)(er)系數越大,霍(huo)爾(er)(er)(er)電(dian)壓也(ye)就越高。因(yin)此,在制作(zuo)霍(huo)爾(er)(er)(er)元(yuan)件(jian)時,一(yi)般選(xuan)用元(yuan)素(su)(su)周期(qi)表中第II和第IV族元(yuan)素(su)(su)混合制作(zuo),而且其對溫度的變化也(ye)最不敏感(gan)。此區域的元(yuan)素(su)(su),載(zai)流子一(yi)般為空位而不是電(dian)子。
5. 感應線圈
感應(ying)線(xian)圈是鋼管漏磁(ci)檢測(ce)中(zhong)應(ying)用最為廣泛的磁(ci)敏傳感器,主要(yao)有水平和垂直(zhi)線(xian)圈兩(liang)種布置(zhi)方式(shi),如圖3-2所示。根據提離效應(ying)和法拉第電磁(ci)感應(ying)定(ding)律,為了使檢測(ce)信號與(yu)缺陷(xian)特征之間具有良(liang)好的對(dui)應(ying)關系(xi),感應(ying)線(xian)圈提離距離以及(ji)掃查速度(du)應(ying)盡量保(bao)持恒定(ding)。


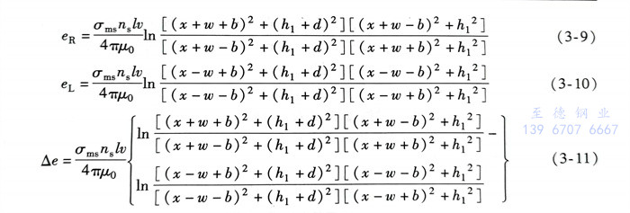
水平線(xian)(xian)圈(quan)以速度(du)(du)v穿越缺(que)陷上部(bu)漏磁(ci)場時所產(chan)生(sheng)的感(gan)應(ying)電(dian)動(dong)(dong)勢應(ying)為(wei)(wei)線(xian)(xian)圈(quan)前(qian)沿(yan)和尾(wei)部(bu)感(gan)應(ying)電(dian)動(dong)(dong)勢之差。設線(xian)(xian)圈(quan)長度(du)(du)為(wei)(wei)l、寬度(du)(du)為(wei)(wei)2w、提離值(zhi)為(wei)(wei)h1、匝數為(wei)(wei),線(xian)(xian)圈(quan)前(qian)沿(yan)產(chan)生(sheng)電(dian)動(dong)(dong)勢為(wei)(wei)SueR,線(xian)(xian)圈(quan)尾(wei)部(bu)產(chan)生(sheng)電(dian)動(dong)(dong)勢為(wei)(wei)eL,線(xian)(xian)圈(quan)產(chan)生(sheng)感(gan)應(ying)電(dian)動(dong)(dong)勢為(wei)(wei)Δe,根據法拉第電(dian)磁(ci)感(gan)應(ying)定律可(ke)得
此(ci)外,從圖(tu)3-3中可以看出(chu)(chu),水平(ping)線圈輸出(chu)(chu)感應(ying)(ying)電(dian)(dian)(dian)(dian)動(dong)(dong)(dong)(dong)(dong)勢(shi)(shi)本質為處(chu)于同一提(ti)離(li)高度(du)的(de)前后(hou)導線在同一時(shi)刻的(de)電(dian)(dian)(dian)(dian)動(dong)(dong)(dong)(dong)(dong)勢(shi)(shi)差(cha)動(dong)(dong)(dong)(dong)(dong)輸出(chu)(chu)。因此(ci),感應(ying)(ying)線圈電(dian)(dian)(dian)(dian)動(dong)(dong)(dong)(dong)(dong)勢(shi)(shi)輸出(chu)(chu)與線圈寬(kuan)度(du)有關(guan),并存在最佳寬(kuan)度(du)使得線圈輸出(chu)(chu)最大感應(ying)(ying)電(dian)(dian)(dian)(dian)動(dong)(dong)(dong)(dong)(dong)勢(shi)(shi)。此(ci)時(shi),線圈運動(dong)(dong)(dong)(dong)(dong)至缺(que)陷(xian)中間位置(zhi),并且前沿產(chan)生(sheng)正向極值(zhi)電(dian)(dian)(dian)(dian)動(dong)(dong)(dong)(dong)(dong)勢(shi)(shi)而尾部(bu)產(chan)生(sheng)反向極值(zhi)電(dian)(dian)(dian)(dian)動(dong)(dong)(dong)(dong)(dong)勢(shi)(shi),經過差(cha)動(dong)(dong)(dong)(dong)(dong)后(hou)可獲取最高感應(ying)(ying)電(dian)(dian)(dian)(dian)動(dong)(dong)(dong)(dong)(dong)勢(shi)(shi)輸出(chu)(chu)。根據式(shi)(3-11),當x=0時(shi),可獲得感應(ying)(ying)線圈位于缺(que)陷(xian)中間位置(zhi)時(shi)電(dian)(dian)(dian)(dian)動(dong)(dong)(dong)(dong)(dong)勢(shi)(shi)Δeo與線圈寬(kuan)度(du)參數w的(de)關(guan)系式(shi)Δeo(w),即


同樣,設(she)置(zhi)缺(que)(que)陷寬(kuan)(kuan)度(du)(du)2b為(wei)0.5mm,深度(du)(du)d為(wei)0.75mm以(yi)及感(gan)應線(xian)(xian)(xian)圈(quan)(quan)提離高度(du)(du)h1為(wei)0.25mm,根(gen)(gen)據式(3-13)可獲得最佳(jia)(jia)線(xian)(xian)(xian)圈(quan)(quan)寬(kuan)(kuan)度(du)(du)參(can)(can)數(shu)(shu)wo為(wei)0.3253mm。根(gen)(gen)據線(xian)(xian)(xian)圈(quan)(quan)最佳(jia)(jia)寬(kuan)(kuan)度(du)(du)參(can)(can)數(shu)(shu)重新計算感(gan)應線(xian)(xian)(xian)圈(quan)(quan)前(qian)沿、尾部以(yi)及整(zheng)體輸(shu)出感(gan)應電(dian)(dian)動勢曲線(xian)(xian)(xian),如圖3-4所示。從(cong)圖中(zhong)(zhong)可以(yi)看出,當線(xian)(xian)(xian)圈(quan)(quan)移動到(dao)缺(que)(que)陷正(zheng)上方時,線(xian)(xian)(xian)圈(quan)(quan)前(qian)沿感(gan)應電(dian)(dian)動勢輸(shu)出極(ji)小值(zhi)(zhi)(zhi)而尾部輸(shu)出極(ji)大(da)值(zhi)(zhi)(zhi),經差動后水平線(xian)(xian)(xian)圈(quan)(quan)輸(shu)出電(dian)(dian)動勢達到(dao)最大(da)值(zhi)(zhi)(zhi)。檢(jian)測線(xian)(xian)(xian)圈(quan)(quan)的(de)(de)(de)最優(you)(you)寬(kuan)(kuan)度(du)(du)參(can)(can)數(shu)(shu)與缺(que)(que)陷尺寸和傳感(gan)器提離值(zhi)(zhi)(zhi)有關。在實際生(sheng)產(chan)過程中(zhong)(zhong),可根(gen)(gen)據鋼管軋(ya)制(zhi)過程中(zhong)(zhong)產(chan)生(sheng)的(de)(de)(de)自然缺(que)(que)陷特征對檢(jian)測線(xian)(xian)(xian)圈(quan)(quan)寬(kuan)(kuan)度(du)(du)進行優(you)(you)化設(she)計,以(yi)達到(dao)最佳(jia)(jia)的(de)(de)(de)檢(jian)測效果。

下面(mian)進(jin)一步(bu)討論垂直線圈漏(lou)磁信號輸(shu)出特性。
如圖3-5所示,垂(chui)直線(xian)(xian)圈(quan)以(yi)速(su)度(du),穿越缺陷上部(bu)漏磁(ci)(ci)場(chang)時所產生(sheng)的電(dian)(dian)動(dong)(dong)勢輸(shu)出應為(wei)(wei)線(xian)(xian)圈(quan)頂部(bu)和底部(bu)感(gan)應電(dian)(dian)動(dong)(dong)勢之差。設線(xian)(xian)圈(quan)長度(du)為(wei)(wei)l、匝數為(wei)(wei)、寬度(du)為(wei)(wei)2w、中心(xin)提離值為(wei)(wei),線(xian)(xian)圈(quan)頂部(bu)產生(sheng)電(dian)(dian)動(dong)(dong)勢為(wei)(wei)er,線(xian)(xian)圈(quan)底部(bu)產生(sheng)電(dian)(dian)動(dong)(dong)勢為(wei)(wei)eB,線(xian)(xian)圈(quan)產生(sheng)整(zheng)體感(gan)應電(dian)(dian)動(dong)(dong)勢為(wei)(wei)Δe,根據(ju)法拉第電(dian)(dian)磁(ci)(ci)感(gan)應定(ding)律可得

從圖3-5中可(ke)以(yi)看出(chu)(chu),eт、eB和e三者波形相(xiang)似,垂直線圈(quan)(quan)輸(shu)(shu)(shu)出(chu)(chu)感(gan)應(ying)電動(dong)勢(shi)(shi)本質(zhi)為上下兩(liang)根(gen)導線在(zai)同一時刻的(de)(de)電動(dong)勢(shi)(shi)差動(dong)輸(shu)(shu)(shu)出(chu)(chu)。在(zai)缺(que)陷中心(xin)位置,垂直線圈(quan)(quan)感(gan)應(ying)電動(dong)勢(shi)(shi)輸(shu)(shu)(shu)出(chu)(chu)為零,而(er)在(zai)缺(que)陷兩(liang)端(duan)附近感(gan)應(ying)電動(dong)勢(shi)(shi)具有最(zui)大(da)(da)輸(shu)(shu)(shu)出(chu)(chu)值。垂直線圈(quan)(quan)頂部和底部距(ju)離(li)越(yue)(yue)大(da)(da),整(zheng)體感(gan)應(ying)電動(dong)勢(shi)(shi)輸(shu)(shu)(shu)出(chu)(chu)越(yue)(yue)大(da)(da)。因(yin)此,在(zai)條件允許的(de)(de)情況下,垂直線圈(quan)(quan)應(ying)盡量貼近鋼(gang)管表面并可(ke)通過(guo)增大(da)(da)線圈(quan)(quan)的(de)(de)寬(kuan)度來提高電動(dong)勢(shi)(shi)輸(shu)(shu)(shu)出(chu)(chu)。但在(zai)設計線圈(quan)(quan)寬(kuan)度時必須考慮背景(jing)噪(zao)(zao)聲(sheng)的(de)(de)影響,垂直線圈(quan)(quan)寬(kuan)度越(yue)(yue)大(da)(da),線圈(quan)(quan)包含(han)的(de)(de)背景(jing)噪(zao)(zao)聲(sheng)越(yue)(yue)多,從而(er)會降低(di)缺(que)陷漏磁信(xin)號的(de)(de)信(xin)噪(zao)(zao)比。

