香蕉app免費視頻在線觀看:超聲波在不同介質界面處的反射、折射和透射情況是進行超聲探傷的重要物理基礎。聲波能量經界面時的聲壓聲強變化主要取決于兩側介質的聲阻抗。
1. 超(chao)聲波垂直人射(she)到兩種介(jie)質界面處的反射(she)透射(she)情(qing)況
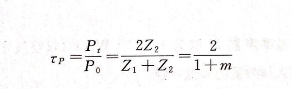
當超聲波垂直入射于兩種不同聲阻抗介質的界面時,其反射波按入射波相反的路徑返回,透射波垂直進入第二種介質。假設超聲波所處介質聲阻抗為Z1,人射聲強為I0,入射聲壓為P0,反射聲強為Ir,反射聲壓為Pr;另一種介質聲阻抗為Z2,透射聲強為It,透射聲壓為Pt.令聲阻抗比m=Z1/Z2,可得:


聲壓視為平面上單位面積所受的力,那么平面兩側的力應當平衡,故聲壓變化有P0+Pr=Pt.結合聲壓反射、透射系數,有

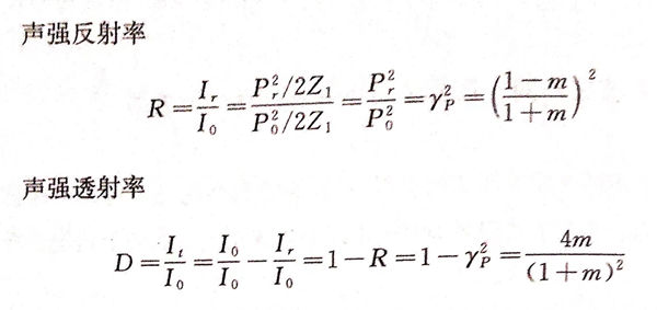
類似地,聲強在界面兩側應滿足能量守恒定律,所以有Io=Ir+It,如果把聲強反射率(R)定義為Ir/I0,聲強透射率(D)定義為It/I0,則有:

實際檢測中,常用到自發自收探頭,例如對鋼板進行檢測時,認為聲波垂直入射進人鋼板內部,透射波到達底部后,聲壓在鋼板/空氣界面被完全反射,然后垂直返回,被探頭接收。探頭接收到的返回聲壓P't與人射聲壓P0之比稱為聲壓往復透過率,常用符號Tp表示。

所以

對比聲強透射率D和聲壓往復透過率Tp,可知兩者在數值上相等。
超聲波垂直(zhi)入射(she)于不同(tong)聲阻抗(kang)介質的界(jie)面,有(you)以下四(si)種反射(she)和透射(she)情況(kuang)。
a. Z1<Z2
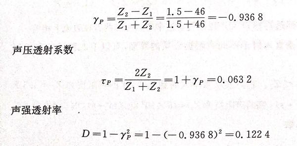
若聲(sheng)波(bo)從水(shui)(shui)中入射到鋼(gang)中,水(shui)(shui)的聲(sheng)阻抗(kang)為Z1=1.5×106kg/(㎡·s),鋼(gang)的聲(sheng)阻抗(kang)為Z2=46×106kg/(㎡·s),水(shui)(shui)/鋼(gang)界面上(shang)的

圖2.9表示從水入(ru)(ru)射(she)到鋼時(shi),聲(sheng)(sheng)(sheng)(sheng)壓(ya)在兩(liang)側(ce)的(de)(de)分(fen)布。當聲(sheng)(sheng)(sheng)(sheng)波從聲(sheng)(sheng)(sheng)(sheng)阻抗(kang)(kang)小的(de)(de)介(jie)質(zhi)人(ren)射(she)到聲(sheng)(sheng)(sheng)(sheng)阻抗(kang)(kang)大(da)的(de)(de)介(jie)質(zhi)時(shi),反射(she)聲(sheng)(sheng)(sheng)(sheng)壓(ya)較(jiao)入(ru)(ru)射(she)聲(sheng)(sheng)(sheng)(sheng)壓(ya)略低(di),而透射(she)聲(sheng)(sheng)(sheng)(sheng)壓(ya)高(gao)于入(ru)(ru)射(she)聲(sheng)(sheng)(sheng)(sheng)壓(ya),且等于兩(liang)者(zhe)之(zhi)和(he)。由聲(sheng)(sheng)(sheng)(sheng)強(qiang)(qiang)透射(she)率D的(de)(de)大(da)小可知(zhi)入(ru)(ru)射(she)聲(sheng)(sheng)(sheng)(sheng)強(qiang)(qiang)中只有12.24%的(de)(de)能量進(jin)入(ru)(ru)鋼中。

b. Z1>Z2
若聲波從(cong)鋼入射(she)到水(shui)中,此時(shi)界(jie)面(mian)的(de)聲壓反射(she)系(xi)數

圖2.10表示從鋼入(ru)射到水時,兩側(ce)的聲(sheng)(sheng)壓(ya)(ya)分布。當聲(sheng)(sheng)波從聲(sheng)(sheng)阻抗較大的介(jie)質入(ru)射到較小的介(jie)質時,反射聲(sheng)(sheng)壓(ya)(ya)較入(ru)射聲(sheng)(sheng)壓(ya)(ya)略低;而透(tou)射聲(sheng)(sheng)壓(ya)(ya)因入(ru)射聲(sheng)(sheng)壓(ya)(ya)與反射聲(sheng)(sheng)壓(ya)(ya)相位(wei)相反,其數值也較小。計算得知入(ru)射聲(sheng)(sheng)強(qiang)中同樣有12.24%的能量(liang)進入(ru)水中。

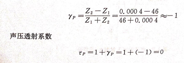
c. Z1 > Z2
當聲波從聲阻抗高的固體入射到空氣中,例如從鋼中入射到空氣中,就屬于這種情況,此時Z1(鋼)=46×106kg/(㎡·s),Z2(空氣)=0.0004×106kg/(㎡·s),可計算聲壓反射系數


此(ci)時,聲波在(zai)界面(mian)處幾乎(hu)全部被反射,無法(fa)透(tou)射到空氣中(zhong),因此(ci),當(dang)超聲波探(tan)頭與(yu)粗糙待測(ce)件表面(mian)接觸,如果不加耦合劑,就相當(dang)于探(tan)頭與(yu)待測(ce)件表面(mian)間(jian)有一層空氣,導致聲波能量無法(fa)透(tou)射到待測(ce)件中(zhong),無法(fa)進行探(tan)傷。
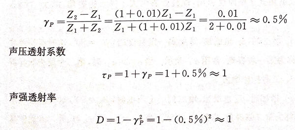
d. Z1≈Z2
當聲(sheng)波(bo)從(cong)兩(liang)種聲(sheng)阻抗(kang)相近的(de)介(jie)質界(jie)面經過時(shi),例如普通碳鋼焊縫金(jin)屬與母材金(jin)屬之(zhi)間(jian),聲(sheng)阻抗(kang)相差僅1%,此時(shi),界(jie)面的(de)聲(sheng)壓(ya)反(fan)射系數

此時(shi),在界面處(chu)反射(she)聲壓極小,而(er)透(tou)射(she)聲壓幾(ji)乎與入射(she)聲壓相(xiang)同;聲波能(neng)量幾(ji)乎全部透(tou)射(she)到第二種介質中。
2. 超(chao)聲(sheng)波斜入射到(dao)兩種介(jie)質(zhi)界面處的反射折射情況
當(dang)超聲波以一定角度斜入射(she)(she)到兩種介質界(jie)面時,會發生(sheng)反射(she)(she)和折射(she)(she)現象,且遵循反射(she)(she)和折射(she)(she)定律。一定條(tiao)件下,還會發生(sheng)波型轉換現象。
a. 超聲(sheng)縱(zong)波斜入射
當超(chao)聲縱波斜入射(she)(she)(she)(she)(she)到兩種(zhong)介質界面時,反射(she)(she)(she)(she)(she)波和折(zhe)(zhe)射(she)(she)(she)(she)(she)波的(de)傳(chuan)播方向符(fu)合反射(she)(she)(she)(she)(she)定(ding)律、折(zhe)(zhe)射(she)(she)(she)(she)(she)定(ding)律,如圖2.11所(suo)示,即


由式(2.4)可知,在同一介質中聲波縱波波速不變,因此縱波反射角與縱波入射角相等,即αL=γL,同時,同一介質中縱波聲速大于橫波聲速,因此縱波反射角大于橫波反射角,縱波折射角大于橫波折射角,即γL>γs,βL>βs.
當αL增加時,βL也增加,增加到一定程度時,βL=90°,這時所得縱波入射角稱為第一臨界角,常用aI表示。當αL>αI時,第二介質中既有折射縱波L,又有折射橫波S.
當αL增加時,βs也增加,增加到一定程度時,βs=90°,這時所得縱波入射角稱為第二臨界角,常用aII表示。當αI<αL<aII時,第二介質中沒有折射縱波L,只有折射橫波S,這種情況也是橫波探頭的制作原理。
b. 超(chao)聲橫波(bo)斜入(ru)射
當橫波以一定角(jiao)度(du)入射到兩種(zhong)固體界(jie)面時,也會出現(xian)波形的轉(zhuan)換,如圖2.12所示。

同(tong)樣地,橫波斜入射(she)(she)也符(fu)合反射(she)(she)、折射(she)(she)定律:

橫波斜入射時,隨著αs增加,yL=90°時,所對應的橫波人射角αs為第三臨界角,常用αIII表示,橫波入射角大于第三臨界角時,產生橫波全反射現象。

