總體來(lai)講,不銹鋼無縫鋼管超聲(sheng)(sheng)波探(tan)(tan)傷(shang)(shang)技術較(jiao)為成熟,常(chang)見的探(tan)(tan)傷(shang)(shang)方法主(zhu)要包括接觸(chu)式(shi)探(tan)(tan)傷(shang)(shang)、水浸式(shi)探(tan)(tan)傷(shang)(shang)。其中水浸式(shi)探(tan)(tan)傷(shang)(shang)容易實現自動(dong)化,檢測靈(ling)敏度及探(tan)(tan)傷(shang)(shang)效率(lv)均(jun)較(jiao)高,因(yin)此,本書重點(dian)討論水浸式(shi)超聲(sheng)(sheng)探(tan)(tan)傷(shang)(shang)。
不銹鋼無縫鋼管水浸式探傷過程中,常見的檢測方法為垂直探傷法和斜角探傷法,其中垂直探傷法主要應用于大口徑厚壁不銹鋼管的無損檢測,當餓管壁厚達到直徑的20%以上時,采用垂直法較為合適。對于汽車發動機中采用的小直徑薄(bo)壁不銹(xiu)鋼管,斜角法顯然更為適用。
斜角法振傷主要采用橫波探(tan)(tan)傷和表面(mian)波探(tan)(tan)傷,其中橫波探(tan)(tan)傷可以檢測(ce)鋼(gang)(gang)管內外缺陷,而表面(mian)波探(tan)(tan)傷主要用來檢測(ce)鋼(gang)(gang)管表面(mian)的(de)(de)缺陷。圖(tu)4.1為(wei)小(xiao)直徑薄壁(bi)不(bu)銹鋼(gang)(gang)無縫鋼(gang)(gang)管超聲探(tan)(tan)傷的(de)(de)基本形式。

圖4.1中所(suo)給出(chu)的(de)(de)基本形式為斜角法探傷,所(suo)檢(jian)(jian)(jian)測(ce)的(de)(de)鋼(gang)管缺陷(xian)通常以(yi)(yi)軸向傷為主(zhu),以(yi)(yi)該方(fang)(fang)法為基礎,為提高檢(jian)(jian)(jian)測(ce)的(de)(de)準確性,可采用(yong)多個探頭同(tong)時檢(jian)(jian)(jian)測(ce)。為實(shi)現(xian)鋼(gang)管內(nei)外壁的(de)(de)軸向缺陷(xian)檢(jian)(jian)(jian)測(ce),通常需要(yao)如圖4.2所(suo)示的(de)(de)檢(jian)(jian)(jian)測(ce)方(fang)(fang)式,為實(shi)現(xian)檢(jian)(jian)(jian)測(ce)速度(du)與檢(jian)(jian)(jian)測(ce)準確性的(de)(de)提升,同(tong)樣可采用(yong)多個探頭同(tong)時檢(jian)(jian)(jian)測(ce)。

鑒于汽(qi)車發動機(ji)用不銹鋼無(wu)縫管的高(gao)要求(qiu),其選用的小口徑薄壁不鋼無(wu)縫鋼管的題(ti)聲(sheng)探(tan)傷宜采(cai)用聚(ju)然方式檢測,超聲(sheng)傳播(bo)過程中,在聚(ju)焦狀烈下可(ke)以盡可(ke)能實現檢測聲(sheng)能的集中,提高(gao)檢測靈敏度(du)。一般情(qing)況(kuang)下,為保證(zheng)檢測速度(du),采(cai)用線聚(ju)焦檢測即可(ke)滿(man)足要求(qiu),當鋼管的檢測精度(du)提出特別要求(qiu)時,可(ke)采(cai)用點聚(ju)焦方式,此(ci)時檢測速度(du)會有所降低。
小口徑薄壁不銹鋼管探(tan)傷(shang)(shang)過程中(zhong),無(wu)論軸向(xiang)缺(que)陷(xian)(xian)或者周向(xiang)缺(que)陷(xian)(xian)的(de)(de)檢(jian)測,在探(tan)傷(shang)(shang)儀器(qi)性(xing)能穩(wen)(wen)定(ding)的(de)(de)前提下(xia),影響探(tan)傷(shang)(shang)靈敏度的(de)(de)因素主要包括四個方面(mian):①. 超聲探(tan)頭設計與(yu)加工;②. 超聲探(tan)頭偏心距選擇;③. 超聲聚焦聲透鏡設計;④. 檢(jian)測設備的(de)(de)穩(wen)(wen)定(ding)性(xing)。
上述影響因(yin)素(su)中(zhong),超(chao)聲探頭(tou)(tou)的設計與(yu)加工是(shi)一項專業(ye)性(xing)、技術性(xing)較強(qiang)的工作(zuo),涉(she)及(ji)很多專業(ye)知識,本書(shu)中(zhong)不(bu)做詳細討論(lun),僅從滿足探傷(shang)工藝要求(qiu)的角度對超(chao)聲探頭(tou)(tou)的偏(pian)心距選(xuan)擇及(ji)超(chao)聲聚焦聲透鏡設計加以分析(xi)。
一、軸(zhou)向缺陷檢測的超聲探頭偏心(xin)距選擇
所(suo)謂超聲探頭(tou)偏心距是指(zhi)采(cai)用折(zhe)射橫波(bo)探傷時(shi),探頭(tou)聲束中心線與鋼管輸心線的(de)平行距離,用工加以表示。確定偏心距應滿足以下兩個條件(如圖4.3所(suo)示)。
1. 鋼管(guan)橫(heng)波探(tan)傷條件(jian)


當超聲入射角滿足第一臨界角,即鋼中縱波折射角為90°時,所得到的入射角即為純橫波探傷條件下的最小入射角,用 αLmin 加以表示,探傷時選擇的入射角應滿足α≥αLmin,此時折射進鋼管內的超聲波變為橫波,折射角用βs加以表示。
2. 管內壁(bi)缺陷檢測條(tiao)件(jian)


二、軸向(xiang)缺陷探傷(shang)超聲聚(ju)焦聲透鏡設計(ji)
超(chao)聲(sheng)(sheng)探(tan)傷中所應用(yong)的聲(sheng)(sheng)透鏡(jing)材料(liao)通(tong)常為環氧樹脂(zhi)膠固化(hua)后形成,其聲(sheng)(sheng)速約為2.65mm/μs.超(chao)聲(sheng)(sheng)探(tan)頭聲(sheng)(sheng)透鏡(jing)設計過程(cheng)中,需要綜合考(kao)慮檢測時的水(shui)(shui)層距離以及聚焦聲(sheng)(sheng)透鏡(jing)的焦距大小(xiao),水(shui)(shui)層距離要求(qiu)如圖(tu)4.4所示(shi)。

為避免缺陷反射波受二次表面反射波的干擾,必須滿足T水≥2T鋼,即水中的超聲傳播時間不小于鋼中的傳播時間的2倍,由該條件,可得探傷時探頭距離鋼管表面的距離條件為:

為(wei)(wei)兼顧(gu)鋼管(guan)內外壁(bi)缺陷(xian),不(bu)銹鋼無縫(feng)鋼管(guan)斜角法超聲探傷時,聚(ju)焦聲透鏡的焦點通常(chang)在(zai)鋼管(guan)水(shui)平軸面上(shang)較為(wei)(wei)合適(shi),接下(xia)來分析(xi)焦點位于鋼管(guan)水(shui)平軸面上(shang)方(fang)、水(shui)平軸面上(shang)、水(shui)平軸面下(xia)方(fang)的具(ju)體區別,如圖4.5所示。

1. 焦(jiao)點位于鋼管水平軸面
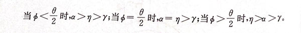
由式(4.7)可(ke)以推(tui)出,當焦點恰好(hao)位于鋼(gang)管水平(ping)軸面上時,φ=0,此時γ=η<a,表示左右兩側聲(sheng)束(shu)人射(she)角(jiao)相等且小于中(zhong)間聲(sheng)束(shu)入射(she)角(jiao),γ、n均與探頭半聚焦角(jiao)0的(de)大(da)小有(you)關。在該條件下,左右兩側聲(sheng)束(shu)人射(she)角(jiao)對(dui)稱分布,可(ke)兼顧(gu)鋼(gang)管內、外(wai)壁的(de)缺陷檢(jian)測,是探傷(shang)的(de)理(li)想狀(zhuang)態。
2. 焦點位于鋼管水平(ping)軸面以(yi)上(shang)

這三種情況都出現(xian)折(zhe)(zhe)射橫波(bo)快(kuai)速(su)向(xiang)中心集中的(de)(de)現(xian)象,反射到(dao)外(wai)壁(bi)(bi)的(de)(de)檢測橫波(bo)面積較(jiao)大,導致對鋼管外(wai)壁(bi)(bi)缺陷的(de)(de)檢測靈敏度降(jiang)低,通(tong)過(guo)適(shi)當調整探頭,可實現(xian)折(zhe)(zhe)射橫波(bo)聚(ju)焦到(dao)鋼管內(nei)壁(bi)(bi),由此提高(gao)內(nei)壁(bi)(bi)缺陷的(de)(de)檢測靈敏度。
3. 焦點位于(yu)鋼管水(shui)平軸面以(yi)下

這三種情況都出現左側折(zhe)射橫(heng)(heng)波(bo)折(zhe)射角(jiao)大,右側折(zhe)射橫(heng)(heng)波(bo)折(zhe)射角(jiao)小,引(yin)起橫(heng)(heng)波(bo)在鋼管內焦(jiao)距增加的現象,可以將管內折(zhe)射橫(heng)(heng)波(bo)聚焦(jiao)到鋼管外壁。因此,在該條件下(xia),通(tong)過適調整(zheng)探頭(tou)可提高鋼管外壁缺陷的檢測靈敏度。
確(que)定檢測時的水層距離及焦距后,還必須分(fen)析超(chao)聲(sheng)縱波(bo)在水中傳(chuan)播時的近場長度,超(chao)聲(sheng)波(bo)無法在近場以外聚焦。
以圓形(xing)晶片為例,近場長度的(de)計(ji)算公式為:

當所需的探(tan)(tan)頭透鏡焦(jiao)(jiao)距超出一定(ding)頻(pin)率下的超聲(sheng)近場長度時,可通過改(gai)變探(tan)(tan)頭晶片的大小(xiao)或者改(gai)變探(tan)(tan)頭頻(pin)率滿(man)足(zu)聚(ju)焦(jiao)(jiao)要求。
需要注(zhu)意(yi)的是,探(tan)頭(tou)焦距與(yu)(yu)透鏡晶片(pian)的曲率半(ban)(ban)徑并(bing)不是一(yi)回事,兩者之間的關(guan)系(xi)如圖4.6所示,探(tan)頭(tou)焦距與(yu)(yu)透鏡曲率半(ban)(ban)徑之間的關(guan)系(xi)可(ke)用下(xia)式表示:


以超聲(sheng)傳播(bo)介質(zhi)是水、透鏡材料是環氧樹脂為例,聲(sheng)透鏡曲率半(ban)徑與探頭(tou)焦(jiao)距之間(jian)的(de)關系為r≈0.45F。
以 Φ 30×2mm不銹鋼(gang)無縫鋼(gang)管(guan)為(wei)例,具體分析如(ru)何確定探頭焦距(ju)、聲透(tou)鏡曲率半徑、檢測偏(pian)心距(ju),如(ru)圖4.7所示(shi)。其中偏(pian)心距(ju)χ為(wei)


如果(guo)超聲探頭晶片(pian)為(wei)圓盤(pan)狀,檢測頻(pin)率為(wei)5MHz,有效檢測直徑為(wei)Φ8mm,則(ze)水中縱波近場長度約為(wei)42.5mm,可(ke)以實(shi)現(xian)聚焦。
三、周向缺險(xian)探傷(shang)超(chao)聲(sheng)聚焦聲(sheng)透鏡設計
小口徑(jing)薄壁(bi)不銹鋼(gang)無縫鋼(gang)管(guan)周向(xiang)缺陷探(tan)傷時,為增加(jia)有效(xiao)檢測(ce)的聲能,可同樣采用斜角法聚焦方(fang)式檢測(ce)。
隨(sui)著現代(dai)工業生產(chan)的發展,產(chan)品競爭(zheng)日益激(ji)烈,幾乎所(suo)有的汽(qi)車發動(dong)機生產(chan)廠家都(dou)對發動(dong)機內(nei)應(ying)用(yong)的小口(kou)徑薄壁不銹鋼管(guan)提(ti)(ti)(ti)出(chu)嚴苛的質量(liang)要(yao)求,不光對鋼管(guan)的軸向最小檢出(chu)缺(que)陷提(ti)(ti)(ti)出(chu)明確要(yao)求,對周向最小檢出(chu)缺(que)陷也提(ti)(ti)(ti)
出(chu)了嚴(yan)苛的(de)要(yao)求,很(hen)大(da)程度(du)上(shang)遠超目前的(de)國(guo)(guo)家標(biao)準(zhun)(zhun)甚至軍隊標(biao)準(zhun)(zhun)。譬如(ru)德國(guo)(guo)博(bo)世公司對小(xiao)口徑薄壁不銹鋼無縫鋼管的(de)軸向、周(zhou)向最小(xiao)檢出(chu)缺(que)陷都要(yao)求達(da)到人(ren)工(gong)缺(que)陷2mm×0.15mm×0.15mm(長(chang)×寬×深(shen)),如(ru)圖4.8所示。

小口(kou)徑(jing)薄(bo)壁(bi)不(bu)銹鋼(gang)無縫鋼(gang)管周(zhou)向(xiang)缺陷(xian)檢測時所碰到的(de)(de)技(ji)術工(gong)藝問題與軸向(xiang)缺陷(xian)檢測基(ji)本(ben)相同,但因鋼(gang)管中折射橫(heng)波(bo)的(de)(de)傳播途徑(jing)不(bu)同,探頭(tou)聲(sheng)透(tou)鏡的(de)(de)設計方(fang)法也就不(bu)一(yi)樣,以下具體分析。
聚焦探(tan)(tan)頭焦點或焦線位于(yu)鋼(gang)(gang)管(guan)垂(chui)直(zhi)軸面上,如圖4.2所(suo)示。采(cai)用斜角法檢(jian)測(ce)時,為獲得折射橫波(bo),根據式(4.1),必(bi)須(xu)滿足第一臨界角條件,受(shou)不銹鋼(gang)(gang)無縫(feng)鋼(gang)(gang)管(guan)壁厚的影(ying)響,在管(guan)壁較薄的情況下(xia),應適當增加聲束的入射角,避(bi)免探(tan)(tan)傷(shang)盲(mang)區的影(ying)響,此外(wai)還可以通(tong)過提高(gao)檢(jian)測(ce)頻率,優化(hua)探(tan)(tan)頭設計等(deng)手段(duan)減小(xiao)檢(jian)測(ce)盲(mang)區。
探頭焦(jiao)距的選定,應以焦(jiao)點落在(zai)被檢鋼(gang)管內壁為(wei)(wei)佳。計算焦(jiao)距時,除考(kao)慮水(shui)層厚度(du)對探傷信號的影響外,還應考(kao)慮折射橫波(bo)在(zai)鋼(gang)管內傳(chuan)播的等效水(shui)距離。如(ru)圖4.9所示,聲束在(zai)水(shui)中傳(chuan)播距離為(wei)(wei)L*,折射橫波(bo)在(zai)鋼(gang)管中的傳(chuan)播距離為(wei)(wei)L常(chang),則(ze)等效水(shui)距離為(wei)(wei)


探頭聲透(tou)鏡的曲率半徑設計按照(zhao)式(shi)8 即可。

