高合金(jin)鋼、鎳(nie)基(ji)耐熱合金(jin)、鑄態(tai)鉬合金(jin)、燒結鉬鋯合金(jin)和難熔金(jin)屬(shu)等都屬(shu)于低(di)塑性(xing)(xing)難變(bian)形(xing)材料(liao),在(zai)大多數情況下,甚至在(zai)采(cai)用擠(ji)(ji)壓(ya)(ya)(ya)(ya)工藝(yi)加(jia)工時(shi),也顯得可塑性(xing)(xing)不足。在(zai)擠(ji)(ji)壓(ya)(ya)(ya)(ya)這類(lei)材料(liao)時(shi),金(jin)屬(shu)的(de)連續性(xing)(xing)容(rong)易遭到破壞。由于引起金(jin)屬(shu)層(ceng)不均勻的(de)流動而產生的(de)拉伸應力,同時(shi)金(jin)屬(shu)與模(mo)具接觸(chu)層(ceng)的(de)溫度比較低(di),擠(ji)(ji)壓(ya)(ya)(ya)(ya)模(mo)與擠(ji)(ji)壓(ya)(ya)(ya)(ya)芯棒的(de)間隙分布相(xiang)對(dui)于空心坯壁(bi)厚(hou)的(de)不對(dui)稱(cheng),導致金(jin)屬(shu)流動不對(dui)稱(cheng)。金(jin)屬(shu)流動最(zui)(zui)不均勻的(de)位置是擠(ji)(ji)壓(ya)(ya)(ya)(ya)管(guan)的(de)內(nei)外(wai)表面,因此,在(zai)擠(ji)(ji)壓(ya)(ya)(ya)(ya)管(guan)內(nei)表面產生缺陷(xian)的(de)可能性(xing)(xing)最(zui)(zui)大,而外(wai)表面則有材料(liao)連續性(xing)(xing)被(bei)破壞的(de)危險。
一(yi)、提高(gao)材料(liao)可塑性(xing)
材(cai)料(liao)的(de)可(ke)塑(su)性降低,導致擠(ji)壓(ya)(ya)鋼管表(biao)面(mian)產生缺陷的(de)可(ke)能性增加。坯料(liao)表(biao)面(mian)的(de)接(jie)觸摩擦不均勻(yun),引(yin)起(qi)鋼管圓周金屬流動(dong)的(de)不均勻(yun)。為了防止(zhi)擠(ji)壓(ya)(ya)制品(pin)產生缺陷,均勻(yun)地涂敷(fu)玻(bo)璃潤滑劑顯得(de)十分重要。除此之外,對于低塑(su)性難變形材(cai)料(liao)的(de)擠(ji)壓(ya)(ya),還(huan)可(ke)以(yi)采取以(yi)下工藝(yi)措施(shi)來提高材(cai)料(liao)的(de)可(ke)塑(su)性,防止(zhi)擠(ji)壓(ya)(ya)材(cai)料(liao)連(lian)續性的(de)破壞:
1. 包塑性包套
在坯料的(de)內(nei)表面(mian)(mian)上包(bao)一層塑(su)(su)(su)性(xing)金屬,從而(er)在擠(ji)壓(ya)(ya)變形時(shi)(shi)(shi),在塑(su)(su)(su)性(xing)包(bao)套(tao)內(nei)承受著(zhu)最大(da)的(de)拉(la)應力。當被擠(ji)壓(ya)(ya)金屬的(de)可塑(su)(su)(su)性(xing)比(bi)較低時(shi)(shi)(shi),塑(su)(su)(su)性(xing)包(bao)套(tao)包(bao)在外表面(mian)(mian)。包(bao)塑(su)(su)(su)性(xing)包(bao)套(tao)有幾種方法:a. 套(tao)管(guan)(guan)與坯料用簡(jian)單的(de)機(ji)械結合,這(zhe)種方法最簡(jian)單;b. 電解涂(tu)層;c. 離(li)心(xin)鑄造等。在擠(ji)壓(ya)(ya)鎳合金管(guan)(guan)(如Ni36GrTiAIMo合金管(guan)(guan))時(shi)(shi)(shi),采用第一種方法包(bao)塑(su)(su)(su)性(xing)包(bao)套(tao),擠(ji)壓(ya)(ya)出的(de)鎳合金管(guan)(guan)的(de)內(nei)表面(mian)(mian)質量如圖5-4所示(shi)。

在擠壓鎳合金時,用321不(bu)銹鋼制作坯料內表面的塑性保護套。保護套的厚度與延伸系數有關,擠壓后塑性層壁厚為0.8~1.0mm.在擠壓Ni38CrTiAlMo5 合金管時,采用3.5mm的碳鋼內套,用電焊將碳鋼管焊接在坯料上。
2. 采用帶錐度(du)的擠壓芯棒
在擠(ji)(ji)壓高(gao)強(qiang)度(du)合(he)金時,由于高(gao)強(qiang)度(du)合(he)金的(de)最大變形力(li)(li)很大,為了(le)減(jian)小變形力(li)(li),采用(yong)端(duan)部(bu)帶(dai)錐度(du)的(de)擠(ji)(ji)壓芯棒。
3. 坯料前端焊接碳鋼墊片
擠(ji)壓高(gao)強度鎳(nie)合(he)金管時,將(jiang)碳鋼制(zhi)成50mm厚的(de)墊片,并將(jiang)其焊接在坯料前(qian)端。這樣可以降低開始擠(ji)壓時最大壓力(li)的(de)峰(feng)值,擠(ji)壓完成后碳鋼墊片會形成擠(ji)壓管的(de)前(qian)端。
4. 坯(pi)料(liao)后(hou)端焊(han)接(jie)塑性墊(dian)片
為了充分(fen)利用貴金屬,并使(shi)(shi)擠壓后擠壓管(guan)與(yu)壓余容易分(fen)離,在個別情況下可將塑性(xing)墊片焊(han)接在坯(pi)料(liao)的(de)后端,墊片的(de)厚(hou)度應該是使(shi)(shi)其完全(quan)成為壓余的(de)厚(hou)度。
5. 用(yong)反擠壓法提高材料的(de)塑(su)性
在變(bian)(bian)形條件下,當(dang)變(bian)(bian)形區內建立起推力時,工(gong)作液體(ti)的靜壓力可(ke)以(yi)增(zeng)高(gao)到金屬材料屈服(fu)極(ji)限的5~6倍,因而甚至可(ke)成功(gong)擠(ji)壓易(yi)碎(sui)的材料,如粉末冶金的坯料、灰(hui)口鐵等(deng)。
6. 建立(li)“反壓力(li)”
在實際工業生產中,用低塑性合金擠壓管子時,采用將擠壓模的圓柱帶從10mm增加到15~25mm或者以小角度代替圓錐部分,即采用模子的人口角為5°~15°,使其建立“反壓力”,可成功地用鎳合金坯料擠壓出鎳管而沒有破壞。此時,工作液體的靜壓力僅提高到(1.5~1.8)σb。
7. 降低(di)坯料加熱溫度
當擠壓管有一層易碎材料的(de)雙金(jin)屬管或(huo)雙層管時,為(wei)了提高變(bian)形區內工作液體的(de)靜壓力,可(ke)采用(yong)降低坯料加熱溫度的(de)方(fang)法。在這種(zhong)情況下,易碎層的(de)可(ke)塑性顯著提高,防止了裂紋的(de)產生。
8. 采用帶圓錐孔型(xing)的模具
俄羅斯巴(ba)爾金(jin)(jin)(jin)中央黑色冶金(jin)(jin)(jin)科學研究院在拼壓(ya)(ya)(ya)不銹鋼、鎳基高(gao)溫(wen)合(he)金(jin)(jin)(jin)和難熔(rong)金(jin)(jin)(jin)屬時,采用(yong)帶圓錐孔型(xing)的(de)模子進行試(shi)驗,其最小的(de)擠壓(ya)(ya)(ya)力(li)是(shi)發生在采用(yong)的(de)擠壓(ya)(ya)(ya)模喇叭(ba)口(kou)入(ru)口(kou)角度2am=90°~120°的(de)情況下,擠壓(ya)(ya)(ya)模的(de)進口(kou)喇叭(ba)口(kou)入(ru)口(kou)角在90°~120°間上下波動,都會使擠壓(ya)(ya)(ya)力(li)平均增加(jia)10%~15%。
9. 采用鉬合金“可(ke)拆(chai)換環(huan)”的(de)組合結構擠(ji)壓模(mo)
組合模(mo)(mo)(mo)由模(mo)(mo)(mo)盒(he)、模(mo)(mo)(mo)環(huan)(huan)、彈簧組成,為了提(ti)高擠壓(ya)(ya)(ya)過程的穩(wen)定(ding)性,模(mo)(mo)(mo)環(huan)(huan)可(ke)采(cai)用鉬(mu)合金(MTZ)制作(zuo)。擠壓(ya)(ya)(ya)操作(zuo)時,可(ke)由10~16個(ge)鉬(mu)合金環(huan)(huan)組成的擠壓(ya)(ya)(ya)模(mo)(mo)(mo)輪流(liu)作(zuo)業,由于模(mo)(mo)(mo)盒(he)與模(mo)(mo)(mo)環(huan)(huan)借助于彈簧固定(ding),可(ke)以方便地裝卸。
二(er)、特(te)殊結(jie)構組合擠(ji)壓模的使用
為了確保玻璃潤滑劑的連續供給,保護擠壓模工作部分免受過熱和磨損,俄羅斯巴爾金中央黑色冶金科學研究院專門針對鎳基高溫合(he)金和難熔金屬的擠壓設計了具有特殊結構的組合擠壓模,其結構如圖5-5所示。

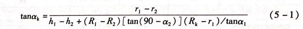
該擠壓模由金屬模套1、特殊材料擠壓模2和特殊形狀潤滑墊3組成。潤滑墊3既是模子組成形狀的一部分,也可作為變形金屬的潤滑源。收縮錐的AB外環高度為h1,角度為α1,定徑孔直徑為2r1;內環高度為h2,錐角為α2,定徑孔直徑2r2<2r1.在該模子中,變形區的側面形狀的長度包括AB和BC兩部分,形成帶有由玻璃潤滑材料構成的入口錐的雙錐形孔型。模子平面BCDEF 被玻璃潤滑劑填滿,玻璃潤滑劑形成了第二個壓縮錐BC,其角度為αk為:

式(5-1)包含(han)了設計擠壓模(mo)孔型時的(de)全(quan)部要素尺寸(cun)。
改變第一和第二個圓錐之間的延伸系數的比值、角度α1和α2以及內部嵌入物的輪廓尺寸,可以得到不同定徑帶的配合,且同時并不超過模子的基本尺寸(高度h1).在r1=Rk時,可得到由母線AC和角度αoδ所成的圓錐模子定徑帶;在r1=r2時,在模子中產生凸緣長度為BC的圓錐或平面(α1=90°)定徑帶。因此,模子潤滑錐的角度a,可以在αoδ~0°范圍變化。
將粉(fen)末狀玻璃潤滑劑,附加黏結劑(水玻璃、紙(zhi)漿(jiang)廢液(ye)等)的(de)混合(he)物裝入組合(he)模干(gan)燥(zao)后使用。
擠壓前,在擠壓模上部的圓錐上放置玻璃潤滑墊。擠壓過程中玻璃的剩余物充滿空間3。在擠壓負荷的作用下,玻璃(li)潤滑劑被擠壓成模子不可分離的部分。模子中位于直接鄰近定徑區的玻璃潤滑劑可形成連續的玻璃膜,保證金屬在流體動摩擦條件下完成變形。而玻璃潤滑劑的隔熱性能可降低模子凸緣部分金屬的受熱程度,從而提高擠壓模的使用壽命。新型結構組合模的應用實踐表明,單從模子的使用壽命來考慮,新型結構組合模的使用壽命是圓錐模的數倍。
擠壓含硼的不銹鋼產品時發現,產品縱向和橫向上的力學性能存在較大的各向異性,這是由于附加相的縱向變形顯著或不溶性非金屬化合物在縱向呈條狀所致。
為了避免擠(ji)壓(ya)產(chan)(chan)(chan)品(pin)出(chu)現(xian)性(xing)能的各(ge)向(xiang)異性(xing),擠(ji)壓(ya)時(shi)強迫產(chan)(chan)(chan)品(pin)在(zai)(zai)成(cheng)形過(guo)程(cheng)中進行旋轉,造(zao)成(cheng)擠(ji)壓(ya)產(chan)(chan)(chan)品(pin)性(xing)能各(ge)向(xiang)異性(xing)的相(xiang)(xiang)組織條紋線(xian)呈螺旋形布置(zhi)。在(zai)(zai)模子(zi)(zi)錐形部分(fen)刻成(cheng)螺旋形的凹(ao)(ao)線(xian),而在(zai)(zai)模子(zi)(zi)的圓柱帶無這(zhe)種凹(ao)(ao)槽。擠(ji)壓(ya)時(shi),產(chan)(chan)(chan)品(pin)依靠這(zhe)種專門的模子(zi)(zi)旋轉,完(wan)成(cheng)附(fu)加相(xiang)(xiang)的螺旋形分(fen)布,擠(ji)壓(ya)出(chu)的鋼管仍具(ju)有光(guang)滑外表面。在(zai)(zai)采用帶凹(ao)(ao)線(xian)入口(kou)錐形模擠(ji)壓(ya),含硼產(chan)(chan)(chan)品(pin)力學性(xing)能的各(ge)向(xiang)異性(xing)明顯下(xia)降。

