擠壓筒是不銹鋼管擠壓機組工模具中最大的部件,25~30MN(2500~3000t)擠壓機的擠壓筒一套筒部件的重量達到8~10噸,50MN(5000t)擠壓機擠壓筒重約15t,60MN(6000t)擠壓機的擠壓筒重為20t,80MN(8000t)擠壓機的擠壓筒重40t,而220MN(20000t)擠壓機的擠壓筒重達100t以上。
擠(ji)(ji)壓筒(tong)是(shi)用于放置(zhi)已加熱(re)到擠(ji)(ji)壓溫度的(de)坯料(liao)的(de)容(rong)器。擠(ji)(ji)壓時擠(ji)(ji)壓筒(tong)內壁承受(shou)著將坯料(liao)擠(ji)(ji)壓成制品全部變形的(de)徑向壓力,其負荷(he)水平可以達到1000MPa以上(shang)。
擠(ji)壓筒(tong)的(de)(de)(de)(de)(de)工作條件是(shi)十分嚴酷的(de)(de)(de)(de)(de)。沿被加(jia)熱(re)的(de)(de)(de)(de)(de)擠(ji)筒(tong)內(nei)(nei)襯(chen)(chen)的(de)(de)(de)(de)(de)長(chang)度(du)(du)方向(xiang)上,周期性的(de)(de)(de)(de)(de)作用有強烈的(de)(de)(de)(de)(de)、不均(jun)勻的(de)(de)(de)(de)(de)加(jia)熱(re)和冷卻,高(gao)(gao)溫坯料(liao)(liao)與擠(ji)壓筒(tong)內(nei)(nei)襯(chen)(chen)壁(bi)之(zhi)間接觸的(de)(de)(de)(de)(de)高(gao)(gao)溫高(gao)(gao)壓摩擦力(li),高(gao)(gao)的(de)(de)(de)(de)(de)徑向(xiang)壓力(li),隨后(hou)又沖擊性的(de)(de)(de)(de)(de)下(xia)降。同(tong)時,冷空氣或水通過擠(ji)壓筒(tong)內(nei)(nei)襯(chen)(chen)的(de)(de)(de)(de)(de)孔腔,使其受到強烈的(de)(de)(de)(de)(de)冷卻。在所有這(zhe)些(xie)工作條件下(xia),在擠(ji)壓筒(tong)的(de)(de)(de)(de)(de)材料(liao)(liao)中引起(qi)熱(re)超高(gao)(gao)應力(li)。這(zhe)種情況在擠(ji)壓筒(tong)前端(duan)三(san)分之(zhi)一的(de)(de)(de)(de)(de)內(nei)(nei)襯(chen)(chen)長(chang)度(du)(du)上顯(xian)得(de)尤其嚴重(zhong)。由于高(gao)(gao)溫變形金屬的(de)(de)(de)(de)(de)流動,在擠(ji)壓筒(tong)內(nei)(nei)襯(chen)(chen)前端(duan)的(de)(de)(de)(de)(de)套筒(tong)壁(bi)上引起(qi)強烈的(de)(de)(de)(de)(de)熱(re)摩擦,使其產生(sheng)磨損(sun)或裂紋,導致(zhi)內(nei)(nei)襯(chen)(chen)損(sun)壞。
早期(qi)的(de)擠(ji)(ji)(ji)壓(ya)筒(tong)(tong)(tong)采用的(de)都是(shi)整體結構(gou),現(xian)在這種(zhong)結構(gou)的(de)擠(ji)(ji)(ji)壓(ya)筒(tong)(tong)(tong)甚(shen)至在小噸(dun)位(wei)的(de)擠(ji)(ji)(ji)壓(ya)機(ji)(ji)上(shang)都已被淘汰(tai)。目前,現(xian)代(dai)化的(de)大型擠(ji)(ji)(ji)壓(ya)機(ji)(ji)上(shang)所采用的(de)擠(ji)(ji)(ji)壓(ya)筒(tong)(tong)(tong)一套(tao)筒(tong)(tong)(tong)系統(tong)都是(shi)由2個、3個或更多的(de)套(tao)筒(tong)(tong)(tong)組成的(de)多層(ceng)結構(gou)擠(ji)(ji)(ji)壓(ya)筒(tong)(tong)(tong),并(bing)且在各層(ceng)套(tao)筒(tong)(tong)(tong)之間都帶有(you)一定(ding)的(de)過盈量,以熱(re)裝的(de)方式裝配而(er)成。
采用(yong)過盈配合(he)的(de)多(duo)層(ceng)結構擠(ji)壓筒(tong),使每層(ceng)套筒(tong)的(de)結合(he)面上都(dou)具有一定的(de)預應力(li)(li)。由于有預應力(li)(li)的(de)存在,使多(duo)層(ceng)結構的(de)擠(ji)壓筒(tong)在承(cheng)受擠(ji)壓產生的(de)熱超高應力(li)(li)作(zuo)用(yong)時,套筒(tong)之間的(de)應力(li)(li)分布(bu)趨(qu)于均(jun)勻,從(cong)而(er)使擠(ji)壓筒(tong)套筒(tong)的(de)材料(liao)得(de)到充分的(de)利用(yong);并且還可以提高熱擠(ji)壓時擠(ji)壓筒(tong)承(cheng)受的(de)單位壓力(li)(li),從(cong)而(er)提高擠(ji)壓筒(tong)套筒(tong)的(de)使用(yong)壽命。
擠壓筒(tong)內(nei)襯套(tao)的(de)(de)(de)結(jie)構形(xing)式(shi),包括內(nei)襯套(tao)的(de)(de)(de)內(nei)徑(jing)(jing)和(he)形(xing)狀,內(nei)襯套(tao)外(wai)徑(jing)(jing)與(yu)中套(tao)內(nei)徑(jing)(jing)的(de)(de)(de)配合(he);除了過盈(ying)配合(he)之外(wai),還有多種形(xing)式(shi)的(de)(de)(de)配合(he),如圖7-4所示。擠壓筒(tong)內(nei)襯套(tao)經熱處理后,其硬度HRC達到40~45;在不(bu)重(zhong)車(che)的(de)(de)(de)情況下,使用壽(shou)命達到1500~4000次。

除(chu)此之外(wai),擠壓(ya)(ya)筒(tong)使(shi)用(yong)時,為(wei)了(le)建(jian)立(li)熱(re)(re)(re)擠壓(ya)(ya)過程本身所需的(de)(de)熱(re)(re)(re)力(li)學(xue)條件,擠壓(ya)(ya)筒(tong)的(de)(de)預熱(re)(re)(re)極為(wei)重要。擠壓(ya)(ya)筒(tong)的(de)(de)預熱(re)(re)(re)可以提高其(qi)使(shi)用(yong)壽命。
擠壓筒(tong)預熱時,為了能(neng)快速地加(jia)熱,減小熱量損失,在外加(jia)熱的(de)同時,最好能(neng)采(cai)用特殊可(ke)換式加(jia)熱器來預熱擠壓筒(tong)的(de)內(nei)部,為了保持(chi)壓人套筒(tong)時在套筒(tong)和(he)擠壓筒(tong)內(nei)產(chan)生的(de)預應(ying)力(li),內(nei)加(jia)熱非常必要(yao)。若僅(jin)強烈的(de)外加(jia)熱,將使預應(ying)力(li)降低,從而(er),惡(e)化擠壓筒(tong)套筒(tong)的(de)工作能(neng)力(li)。
一般對于較大噸(dun)位的(de)臥(wo)式擠(ji)壓(ya)機(ji),擠(ji)壓(ya)筒(tong)(tong)的(de)預(yu)熱(re)(re)(re)采用內置式的(de)加熱(re)(re)(re)元件進行預(yu)熱(re)(re)(re)(圖(tu)(tu)(tu)7-5和圖(tu)(tu)(tu)7-6),而對于較小的(de)擠(ji)壓(ya)筒(tong)(tong),較多的(de)是采用活動的(de)感應加熱(re)(re)(re)器(也有(you)用熱(re)(re)(re)坯(pi)料)直接放入擠(ji)壓(ya)筒(tong)(tong)內腔內進行預(yu)熱(re)(re)(re)。一旦擠(ji)壓(ya)開始擠(ji)壓(ya)筒(tong)(tong)內襯便處于受熱(re)(re)(re)狀(zhuang)態,不(bu)需要加熱(re)(re)(re),而是需要經常進行冷卻(que)。圖(tu)(tu)(tu)7-5所(suo)(suo)示為(wei)俄羅(luo)斯制(zhi)(zhi)造的(de)63MN(6300t)臥(wo)式液壓(ya)擠(ji)壓(ya)機(ji)的(de)帶(dai)預(yu)熱(re)(re)(re)裝(zhuang)置的(de)三層(ceng)(ceng)結構擠(ji)壓(ya)筒(tong)(tong),圖(tu)(tu)(tu)7-6所(suo)(suo)示為(wei)德國(guo)制(zhi)(zhi)造的(de)帶(dai)擠(ji)壓(ya)筒(tong)(tong)測溫裝(zhuang)置的(de)60MN(6000t)臥(wo)式液壓(ya)擠(ji)壓(ya)機(ji)三層(ceng)(ceng)結構擠(ji)壓(ya)筒(tong)(tong)。

一、擠壓(ya)筒-套筒系(xi)統的設計條件
擠壓筒(tong)-套筒(tong)系(xi)統的設計條件(jian)如下:
1. 擠壓(ya)時,擠壓(ya)筒中(zhong)的內壓(ya)力分布是(shi)(shi)不(bu)均勻的,其影響(xiang)因素很多。但(dan)設計(ji)(ji)計(ji)(ji)算(suan)時,認為內應力是(shi)(shi)均勻分布的。
2. 擠壓時,擠壓筒壁上的單位壓力的大小是很難確定的。在足夠精確的情況下,可以認為其等于(0.5~0.8)p,即作用在擠壓筒壁上的徑向壓力pi,將低于擠壓桿上所施加的壓力p。
擠壓力在金屬中的傳遞是不均勻的,其不同于壓力在液體中的傳遞,因此實際上在計算徑向壓力時,采用pi=(0.5~0.8)p,其中,金屬變形的難易系數(0.5~0.8)與變形金屬在一定壓力下的流動能力有關,即擠壓難變形材料時,該系數取小值。
3. 在設(she)計(ji)計(ji)算(suan)擠壓簡一套簡系統部件時(shi),首先根(gen)據(ju)經驗數據(ju)確(que)定(ding)擠壓簡的(de)主要尺寸、套筒的(de)數量及其近似尺寸,然后(hou)對(dui)所選(xuan)定(ding)的(de)系統進行(xing)強度驗算(suan)。
4. 工藝條件決(jue)定(ding)了擠(ji)(ji)壓(ya)機工作套(tao)筒(tong)所(suo)需的(de)內徑和擠(ji)(ji)壓(ya)力(li)。此擠(ji)(ji)壓(ya)力(li)為(wei)在工作套(tao)筒(tong)內孔截面上(shang)建立一定(ding)的(de)單位(wei)壓(ya)力(li)所(suo)必需的(de)。
5. 擠壓(ya)筒(tong)外(wai)徑采用(yong)以下關系(xi)式(shi)確定:

6. 在(zai)擠壓筒(tong)(tong)-套筒(tong)(tong)系統(tong)計(ji)算時,當套筒(tong)(tong)壁厚增加至一定(ding)范圍而對最大應(ying)力(li)(li)數值(zhi)的(de)影響很小時,為使套筒(tong)(tong)材料(liao)的(de)性(xing)能得(de)到充分(fen)(fen)利用(yong),并使沿斷(duan)面上(shang)應(ying)力(li)(li)較均勻地分(fen)(fen)布,在(zai)大壓力(li)(li)的(de)情況(kuang)下應(ying)采用(yong)組合套筒(tong)(tong)。
7. 對于(yu)多層結(jie)(jie)構的擠(ji)(ji)壓筒(tong)一套筒(tong)系(xi)統(tong),可根據其(qi)許(xu)用應力(li)(li)與壁厚(hou)系(xi)數的關系(xi)圖表來選擇合理結(jie)(jie)構的多層擠(ji)(ji)壓筒(tong)。其(qi)保證條件是:套筒(tong)以一定的公盈裝(zhuang)入多層擠(ji)(ji)壓筒(tong)中(zhong),提高(gao)其(qi)承受最(zui)大壓力(li)(li)的能力(li)(li),并在此(ci)壓力(li)(li)下(xia),擠(ji)(ji)壓筒(tong)一套筒(tong)系(xi)統(tong)內(nei)的應力(li)(li)不超過允(yun)許(xu)值。
8. 擠(ji)(ji)壓(ya)(ya)(ya)筒(tong)(tong)一套(tao)筒(tong)(tong)系(xi)統的(de)強(qiang)度,由擠(ji)(ji)壓(ya)(ya)(ya)筒(tong)(tong)材料(liao)在工作溫度下(xia)的(de)屈(qu)服(fu)極限(xian)(σt)和單位擠(ji)(ji)壓(ya)(ya)(ya)力(li)所(suo)決(jue)定(ding)。在擠(ji)(ji)壓(ya)(ya)(ya)筒(tong)(tong)一套(tao)筒(tong)(tong)內表面上(shang)的(de)最大切應(ying)(ying)力(li)不應(ying)(ying)超過這(zhe)個(ge)屈(qu)服(fu)極限(xian)。當此(ci)應(ying)(ying)力(li)大于或等于材料(liao)熱(re)狀(zhuang)態下(xia)的(de)屈(qu)服(fu)極限(xian),則擠(ji)(ji)壓(ya)(ya)(ya)筒(tong)(tong)應(ying)(ying)做(zuo)成2、3或4層。這(zhe)時(shi)整個(ge)系(xi)統的(de)強(qiang)度就取決(jue)于所(suo)選(xuan)用(yong)材料(liao)在熱(re)狀(zhuang)態下(xia)的(de)屈(qu)服(fu)強(qiang)度極限(xian)σt、σt'、σt”和擠(ji)(ji)壓(ya)(ya)(ya)筒(tong)(tong)各個(ge)套(tao)筒(tong)(tong)中產(chan)生的(de)應(ying)(ying)力(li)。實踐證(zheng)明,在這(zhe)種情(qing)況(kuang)下(xia)套(tao)筒(tong)(tong)的(de)內、外(wai)直徑(jing)比很(hen)重要。對(dui)所(suo)有套(tao)筒(tong)(tong)來講,應(ying)(ying)是相等的(de),即(ji)(ji)如果(guo)d/dx=U,那(nei)么U1=U2=U3.對(dui)易擠(ji)(ji)壓(ya)(ya)(ya)的(de)金屬用(yong)較厚的(de)套(tao)筒(tong)(tong),即(ji)(ji)U1>U2;而對(dui)難擠(ji)(ji)壓(ya)(ya)(ya)的(de)金屬采用(yong)較薄的(de)套(tao)筒(tong)(tong),即(ji)(ji)U1<U2.
在正(zheng)確選(xuan)擇切(qie)應力(li)時,可正(zheng)確選(xuan)擇用以抵消主應力(li)的(de)(de)熱裝應力(li)。為(wei)了安全,各套(tao)簡均(jun)在一定的(de)(de)公盈量(liang)下(xia)進行熱裝,以使每個(ge)套(tao)筒的(de)(de)負荷與(yu)材料(liao)熱狀態(tai)下(xia)的(de)(de)屈(qu)(qu)服極(ji)限有同(tong)樣(yang)的(de)(de)比例。在計算時,應采用低于(yu)相應材料(liao)在熱狀態(tai)下(xia)之屈(qu)(qu)服極(ji)限。
為使(shi)套筒中(zhong)的應力趨于平(ping)緩(huan),采用如下的直徑(jing)比(bi):

9. 在強(qiang)度(du)驗算(suan)時,因為擠(ji)壓筒(tong)部(bu)件(jian)通常(chang)是采用(yong)韌(ren)性熱(re)強(qiang)鋼(gang)制造的(de),因此,最(zui)近似的(de)是按(an)(an)第(di)三強(qiang)度(du)理(li)(li)論(lun)(最(zui)大(da)切應(ying)力理(li)(li)論(lun))和(he)第(di)四(si)強(qiang)度(du)理(li)(li)論(lun)(能量理(li)(li)論(lun))驗算(suan)。對于整(zheng)體式擠(ji)壓筒(tong),其危險點(擠(ji)壓筒(tong)內表面(mian))上的(de)應(ying)力不超過允用(yong)值的(de)情況下其最(zui)大(da)壓力,可按(an)(an)第(di)三強(qiang)度(du)理(li)(li)論(lun)計算(suan),也可按(an)(an)第(di)四(si)強(qiang)度(du)理(li)(li)論(lun)計算(suan)。
10. 多層(ceng)(ceng)擠壓筒的極限(xian)應力(li)與層(ceng)(ceng)數無關(guan),與整體式擠壓筒相比,其極限(xian)應力(li)提高2倍(bei)。
11. 擠壓筒(tong)的(de)(de)內部壓力,在套(tao)筒(tong)橫截(jie)面的(de)(de)徑(jing)向(xiang)(xiang)上產生壓縮應力,在切線方向(xiang)(xiang)上產生拉伸應力。軸(zhou)向(xiang)(xiang)應力在所有(you)斷面中是均勻分布的(de)(de),計算時可(ke)忽略不計。
12. 擠(ji)壓筒(tong)(tong)(tong)-套筒(tong)(tong)(tong)系統(tong)的熱裝(zhuang)配是在一定(ding)的公盈量(liang)下(xia)裝(zhuang)入已(yi)(yi)加熱到350~400℃溫度的擠(ji)壓筒(tong)(tong)(tong)中。已(yi)(yi)磨(mo)損套筒(tong)(tong)(tong)的更換可(ke)以在專(zhuan)用(yong)的設備上(shang)進行,也可(ke)采用(yong)專(zhuan)門裝(zhuang)置(zhi)在擠(ji)壓機上(shang)頂出(chu)(chu)套筒(tong)(tong)(tong)。套筒(tong)(tong)(tong)頂出(chu)(chu)時,其壓力(li)不允許大于3~5MPa(表(biao)壓)。因為套筒(tong)(tong)(tong)頂出(chu)(chu)后,急劇的卸壓可(ke)能引起擠(ji)壓機工作故(gu)障,甚至在大壓力(li)下(xia)會導致擠(ji)壓機損壞(huai)。
13. 在(zai)熱(re)裝時,應保證套(tao)筒(tong)(tong)和擠(ji)壓(ya)筒(tong)(tong)材料不會被回(hui)火而產(chan)生塑性變形,消除套(tao)筒(tong)(tong)內的(de)原始受壓(ya)狀態,減(jian)小熱(re)裝時的(de)公(gong)盈將會惡化擠(ji)壓(ya)筒(tong)(tong)殼體的(de)工作,增加套(tao)筒(tong)(tong)的(de)應力,從而更難選擇套(tao)筒(tong)(tong)的(de)材料。因此,過盈選擇不當可使擠(ji)壓(ya)筒(tong)(tong)使用壽命降低。
過盈量一般為筒徑的0.1%~0.2%.60MN(6000t)擠(ji)壓機(ji)在各套筒上的公(gong)盈量均為0.2%(與(yu)德國 Schloemann公(gong)司的31.5MN(3150t)擠(ji)壓機(ji)相(xiang)同)。
原上(shang)海異形鋼(gang)管廠的經驗(yan)認為,過(guo)盈量為筒徑的0.15%(約為0.7~1.2mm)較為合(he)適。
14. 在確(que)定了多層擠(ji)壓(ya)筒由套筒熱裝和擠(ji)壓(ya)力所(suo)產生的應(ying)力之后,在選擇套筒和擠(ji)壓(ya)筒的材料時(shi),還要(yao)考慮(lv)附加應(ying)力的存在。附加應(ying)力由以(yi)下因素(su)產生: a. 擠(ji)壓(ya)時(shi),套(tao)筒(tong)(tong)與熱鋼坯接觸導致擠(ji)壓(ya)筒(tong)(tong)一(yi)套(tao)筒(tong)(tong)系統的溫升;b. 壓(ya)力沿擠(ji)壓(ya)筒(tong)(tong)長度(du)上傳遞的不(bu)均(jun)勻性;c. 金屬與套(tao)筒(tong)(tong)壁的熱摩擦。
根據以(yi)上因素對(dui)擠壓(ya)筒(tong)一套筒(tong)系(xi)統(tong)中應力(li)產生的影響,應提出其修(xiu)正值。
二、擠壓筒內襯的(de)使(shi)用條件
擠(ji)(ji)壓(ya)筒(tong)內(nei)(nei)襯(chen)是多層擠(ji)(ji)壓(ya)筒(tong)一套筒(tong)系統(tong)中的易損(sun)件(jian),其壽命一般(ban)為1500~4000次/只。擠(ji)(ji)壓(ya)筒(tong)內(nei)(nei)襯(chen)的使用條(tiao)件(jian)如下(xia):
1. 擠壓(ya)時,金屬在(zai)(zai)高(gao)溫(wen)高(gao)壓(ya)下(xia)以(yi)400mm/s的(de)(de)(de)(de)(de)速度滑(hua)動,即使(shi)在(zai)(zai)良(liang)好的(de)(de)(de)(de)(de)潤(run)滑(hua)條件下(xia),內(nei)(nei)襯內(nei)(nei)表(biao)(biao)面(mian)在(zai)(zai)1.5mm深度的(de)(de)(de)(de)(de)范(fan)圍內(nei)(nei)被加熱到(dao)650~700℃的(de)(de)(de)(de)(de)高(gao)溫(wen)。尤其是在(zai)(zai)靠近擠壓(ya)模一(yi)端(duan)的(de)(de)(de)(de)(de)200~300mm的(de)(de)(de)(de)(de)長度上,擠壓(ya)筒(tong)內(nei)(nei)襯的(de)(de)(de)(de)(de)內(nei)(nei)表(biao)(biao)面(mian)遭(zao)受到(dao)最強(qiang)烈(lie)的(de)(de)(de)(de)(de)熱摩擦,引起(qi)最嚴(yan)重(zhong)的(de)(de)(de)(de)(de)磨(mo)損(sun),會形成(cheng)縱向劃道、內(nei)(nei)壁溝槽(cao)和(he)表(biao)(biao)面(mian)粗糙及龜裂,進而導致內(nei)(nei)襯的(de)(de)(de)(de)(de)報廢。因此,一(yi)般在(zai)(zai)設計多(duo)層擠壓(ya)簡(jian)一(yi)套簡(jian)系統的(de)(de)(de)(de)(de)結(jie)構時。應該考慮到(dao)擠壓(ya)筒(tong)的(de)(de)(de)(de)(de)內(nei)(nei)襯套筒(tong)可以(yi)允許調(diao)頭使(shi)用。因為(wei)使(shi)用經驗表(biao)(biao)明,在(zai)(zai)進料端(duan)的(de)(de)(de)(de)(de)擠壓(ya)筒(tong)內(nei)(nei)襯的(de)(de)(de)(de)(de)內(nei)(nei)表(biao)(biao)面(mian)沒有發生磨(mo)損(sun)。
另外,當(dang)內(nei)襯(chen)壓入不良或者(zhe)由于(yu)中套和(he)內(nei)襯(chen)磨(mo)損,公(gong)盈消失,會形(xing)成內(nei)襯(chen)縱向裂(lie)紋。大部分縱向裂(lie)紋的(de)發生(sheng)都在(zai)內(nei)襯(chen)壓出以(yi)(yi)后(hou),即(ji)公(gong)盈已經消失之時。這種情況限制(zhi)了內(nei)襯(chen)修復的(de)可能(neng)性(xing)。作為預(yu)防的(de)辦法(fa),可以(yi)(yi)在(zai)內(nei)襯(chen)壓出以(yi)(yi)后(hou),立即(ji)在(zai)500℃溫度下進行退火(huo)4~5h,以(yi)(yi)消除應(ying)力。
2. 國外的(de)使(shi)用經驗(yan)已經證明,采用離心(xin)澆注(zhu)的(de)空(kong)心(xin)坯來(lai)制造擠壓筒的(de)內襯,是最(zui)合(he)理的(de)工藝。因為在其制造過程中消耗最(zui)少(shao),成本(ben)最(zui)低(di)。
采用(yong)離(li)心(xin)(xin)澆注空(kong)心(xin)(xin)坯作擠(ji)壓(ya)筒內(nei)襯時,其(qi)機械加工(gong)的余(yu)量(liang),對外徑而言約為(wei)10~15mm,對內(nei)徑而言應不少(shao)于20~25mm.內(nei)襯粗(cu)加工(gong)以(yi)后(hou)再經熱處(chu)理(淬火后(hou)高(gao)溫(wen)回火)。
專(zhuan)門的(de)(de)研(yan)究確(que)定,鍛造的(de)(de)擠(ji)壓筒內(nei)襯和離心澆注的(de)(de)擠(ji)壓筒內(nei)襯,其使用壽(shou)命(ming)相(xiang)同。在各種工作條件下的(de)(de)實(shi)際使用,證明均可以達到1500~4000次/只的(de)(de)使用壽(shou)命(ming)指標(biao)。
三、臥式擠(ji)壓機的擠(ji)壓筒一套筒系統(tong)的計算
80MN(8000t)擠(ji)(ji)壓機擠(ji)(ji)壓筒(tong)的結構(gou)(帶預(yu)熱(re)器)如(ru)圖7-7所示(shi)。

計(ji)算時,按作用有內外(wai)壓力的多層厚壁圓筒(tong)強度計(ji)算的方法(fa)進行。
假設:(1)沿擠(ji)壓(ya)筒長(chang)度(du)上單(dan)位壓(ya)應力不(bu)(bu)變(bian),且與擠(ji)壓(ya)墊上的(de)單(dan)位壓(ya)力相等;(2)軸向(xiang)壓(ya)應力不(bu)(bu)大,計(ji)算(suan)時可忽(hu)略不(bu)(bu)計(ji);(3)所有(you)的(de)組成套(tao)筒經(jing)受均勻的(de)熱(re)制度(du)的(de)作用;(4)內孔在加(jia)熱(re)器的(de)作用下對(dui)套(tao)筒外內表面應力和變(bian)形無(wu)影響(xiang)。
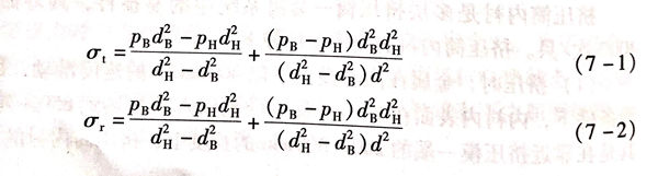
按Slame公式確定切向應力σt和徑向應力σr,而軸向力引起的應力σg不計。則:

在(zai)強(qiang)度(du)驗算時(shi),因為(wei)擠壓(ya)(ya)筒部件通常是采用(yong)韌性(xing)熱強(qiang)鋼制造,且其受力(li)(li)條件為(wei)二向的(de)(de)平(ping)面應(ying)力(li)(li)狀態。因此,對于(yu)整(zheng)體式擠壓(ya)(ya)筒,在(zai)內表面危險點(dian)上的(de)(de)應(ying)力(li)(li)不超過(guo)允許值的(de)(de)情況下,其最大壓(ya)(ya)應(ying)力(li)(li),可按第三強(qiang)度(du)理論和第四(si)強(qiang)度(du)理論來計算。
按照第四強度(du)理論(lun)計算時的等效應力(li)為:


可(ke)見,多(duo)層擠壓(ya)筒(tong)的(de)內應力絕(jue)對(dui)(dui)值始終小(xiao)于(yu)許用應力絕(jue)對(dui)(dui)值。且擠壓(ya)筒(tong)的(de)裝(zhuang)配次序(圖7-7)為(wei):裝(zhuang)好(hao)擠壓(ya)筒(tong)殼體(ti)(ti)(將套(tao)筒(tong)2嵌入(ru)套(tao)筒(tong)1中(zhong)),然后,在(zai)由套(tao)筒(tong)1和(he)2所組成的(de)擠壓(ya)筒(tong)殼體(ti)(ti)中(zhong)嵌入(ru)內套(tao)筒(tong)3。
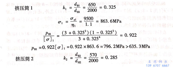
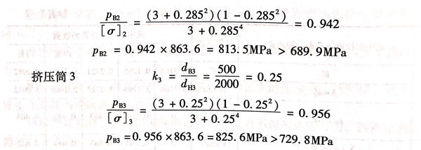
按式(7-8)確定最大單位力,為(wei)了便于計(ji)算,列表7-2.


第3套(tao)筒(內套(tao)筒)的內應(ying)力,即(ji)為在對每個套(tao)筒所選擇(ze)許用應(ying)力情況下(xia),所求的整個擠壓(ya)筒的最大單位工作壓(ya)力(對應(ying)表7-2第17行)。
按式(7-10)確(que)定擠壓筒的內應力,并與列入(ru)表7-2第17行的式(7-8)確(que)定的單位壓力相比較得:



