隨(sui)機變量(liang)模(mo)型和(he)隨(sui)機過(guo)程模(mo)型是研究香蕉app免費視頻在線觀看:應力腐蝕概率的常用模(mo)型,本章重點介紹隨機變量(liang)模(mo)型。
一(yi)、應力(li)-強度(du)干涉模型(xing)
1942年,Pugsley提出了(le)采(cai)用(yong)應力(li)、強(qiang)(qiang)(qiang)度分(fen)布(bu)函數曲線的(de)(de)(de)干涉(she)區面(mian)積分(fen)析(xi)(xi)失(shi)效(xiao)概率的(de)(de)(de)方法,即(ji)應力(li)-強(qiang)(qiang)(qiang)度干涉(she)模(mo)(mo)型,該模(mo)(mo)型在構件和系統的(de)(de)(de)可靠(kao)(kao)性分(fen)析(xi)(xi)中得到了(le)廣泛應用(yong)。目前,已(yi)成為分(fen)析(xi)(xi)構件和系統失(shi)效(xiao)概率的(de)(de)(de)重要模(mo)(mo)型之一。在結構可靠(kao)(kao)性分(fen)析(xi)(xi)中,應力(li)-強(qiang)(qiang)(qiang)度(S-R)干涉(she)模(mo)(mo)型應用(yong)最廣,模(mo)(mo)型中的(de)(de)(de)S和R的(de)(de)(de)含義不僅僅是力(li)學分(fen)析(xi)(xi)中的(de)(de)(de)應力(li)和強(qiang)(qiang)(qiang)度,二者具(ju)有(you)更廣泛的(de)(de)(de)范疇。對于一個系統而言,S指的(de)(de)(de)是造成結構破壞的(de)(de)(de)所(suo)有(you)因(yin)素(su),即(ji)推動力(li);R代(dai)表了(le)結構抵抗(kang)破壞的(de)(de)(de)能力(li),即(ji)阻抗(kang)力(li)。
應(ying)(ying)(ying)力(li)(li)(li)腐蝕(shi)(shi)斷(duan)(duan)(duan)裂(lie)(lie)是(shi)(shi)(shi)一種低應(ying)(ying)(ying)力(li)(li)(li)脆斷(duan)(duan)(duan),是(shi)(shi)(shi)斷(duan)(duan)(duan)裂(lie)(lie)和腐蝕(shi)(shi)兩種機理(li)相互影響的(de)(de)結(jie)果(guo)。因(yin)此(ci),當應(ying)(ying)(ying)力(li)(li)(li)還遠低于斷(duan)(duan)(duan)裂(lie)(lie)應(ying)(ying)(ying)力(li)(li)(li)時就(jiu)(jiu)能引起應(ying)(ying)(ying)力(li)(li)(li)腐蝕(shi)(shi)裂(lie)(lie)紋的(de)(de)產生和擴展(zhan)。應(ying)(ying)(ying)力(li)(li)(li)作用(yong)(yong)降(jiang)低了材(cai)料的(de)(de)耐(nai)腐蝕(shi)(shi)性能,而腐蝕(shi)(shi)降(jiang)低了材(cai)料的(de)(de)斷(duan)(duan)(duan)裂(lie)(lie)強度,兩者是(shi)(shi)(shi)互相促(cu)進的(de)(de)。也(ye)就(jiu)(jiu)是(shi)(shi)(shi)說,機械(xie)力(li)(li)(li)和化學力(li)(li)(li)的(de)(de)協同作用(yong)(yong)導致了裂(lie)(lie)紋的(de)(de)擴展(zhan),如果(guo)只有應(ying)(ying)(ying)力(li)(li)(li)或腐蝕(shi)(shi)單(dan)獨作用(yong)(yong),是(shi)(shi)(shi)不會(hui)出(chu)現應(ying)(ying)(ying)力(li)(li)(li)腐蝕(shi)(shi)斷(duan)(duan)(duan)裂(lie)(lie)的(de)(de)結(jie)果(guo)。應(ying)(ying)(ying)力(li)(li)(li)腐蝕(shi)(shi)斷(duan)(duan)(duan)裂(lie)(lie)要(yao)經過(guo)一定的(de)(de)時間(jian)才能發生,這是(shi)(shi)(shi)因(yin)為能量積(ji)蓄到使材(cai)料破壞的(de)(de)程(cheng)度是(shi)(shi)(shi)需要(yao)時間(jian)的(de)(de),應(ying)(ying)(ying)力(li)(li)(li)腐蝕(shi)(shi)是(shi)(shi)(shi)使材(cai)料強度逐漸退化的(de)(de)過(guo)程(cheng),因(yin)此(ci),我們可以(yi)采用(yong)(yong)耐(nai)久性損傷模型來(lai)描述(shu)應(ying)(ying)(ying)力(li)(li)(li)腐蝕(shi)(shi)失效的(de)(de)物理(li)過(guo)程(cheng)。由S-R干涉模型的(de)(de)理(li)論可以(yi)寫出(chu)結(jie)構的(de)(de)極(ji)限(xian)狀(zhuang)態方程(cheng)


因此,對(dui)于失(shi)效(xiao)概率(lv)(lv)的研究就轉(zhuan)化為對(dui)強度和(he)應(ying)力由于概率(lv)(lv)分布干涉引起的狀態失(shi)效(xiao)問題的研究。當fs(s)和(he)fR(r)分別(bie)表示應(ying)力和(he)強度的概率(lv)(lv)密度函數時,圖(tu)中兩者重疊部分面(mian)積反映(ying)了失(shi)效(xiao)概率(lv)(lv)的大小,如圖(tu)6-1所示。

假(jia)如(ru)最初(chu)應(ying)(ying)力(li)(li)與強(qiang)度是留有充分的(de)安(an)全余量的(de),那么經過一定時間后,隨著應(ying)(ying)力(li)(li)分布與強(qiang)度分布的(de)交疊,就(jiu)有失效(xiao)發生(sheng),這(zhe)種情(qing)形可以說是耐久模型(xing)的(de)典型(xing)例子。根據應(ying)(ying)力(li)(li)-強(qiang)度干涉模型(xing)不但能夠求解應(ying)(ying)力(li)(li)腐蝕失效(xiao)概(gai)(gai)率(lv),還(huan)可以分析應(ying)(ying)力(li)(li)腐蝕不同階(jie)段的(de)概(gai)(gai)率(lv)情(qing)況,如(ru)裂紋(wen)的(de)萌生(sheng)概(gai)(gai)率(lv)、裂紋(wen)的(de)擴(kuo)展(zhan)概(gai)(gai)率(lv)等。
當(dang)材料發生腐蝕(shi)后,隨(sui)著時(shi)(shi)間的(de)(de)推移,材料抵抗(kang)破壞的(de)(de)能(neng)力(li)降低(di),而腐蝕(shi)環(huan)境很可能(neng)變(bian)得(de)更(geng)加(jia)苛刻。例如應(ying)力(li)腐蝕(shi),隨(sui)著裂(lie)紋的(de)(de)擴展(zhan),材料強度(du)降低(di)、裂(lie)紋尖端應(ying)力(li)集中(zhong)區(qu)(qu)域(yu)增大(da),局部存在侵蝕(shi)性離子(zi)的(de)(de)富集,使得(de)廣義應(ying)力(li)變(bian)大(da)而強度(du)降低(di),此時(shi)(shi)S(t)和(he)R(t)都(dou)是與(yu)時(shi)(shi)間有關的(de)(de)變(bian)量,很顯然,概率密度(du)函數也著時(shi)(shi)間的(de)(de)變(bian)化(hua)而變(bian)化(hua)。當(dang)強度(du)隨(sui)時(shi)(shi)間發生衰(shuai)退時(shi)(shi),強度(du)和(he)應(ying)力(li)組成(cheng)的(de)(de)干涉區(qu)(qu)域(yu)隨(sui)時(shi)(shi)間變(bian)化(hua)會越來越大(da),這意味(wei)著產品可靠性在降低(di)。

大多數(shu)(shu)參數(shu)(shu)的不確定(ding)性與時(shi)間有關。發生應力(li)腐蝕時(shi),構件所(suo)受的廣義應力(li)一般是隨機過程,應力(li)稱為(wei)時(shi)間的函數(shu)(shu),強度為(wei)一固定(ding)的臨界(jie)值,如圖6-2所(suo)示(shi),功能函數(shu)(shu)應表(biao)示(shi)為(wei)

二、應力(li)腐蝕參數的概率分布估計
1. 變量分布類型確(que)定
采用S-R模型分(fen)(fen)(fen)(fen)(fen)析應(ying)力(li)腐(fu)蝕失效(xiao)概(gai)率(lv)時,第一(yi)步是(shi)確定應(ying)力(li)腐(fu)蝕的(de)“推動力(li)”,即S所包含的(de)參(can)(can)數,包括溫度、侵蝕性離子濃度、pH值(zhi)等,分(fen)(fen)(fen)(fen)(fen)析各參(can)(can)數的(de)分(fen)(fen)(fen)(fen)(fen)布(bu)概(gai)型。在(zai)進(jin)行參(can)(can)數的(de)概(gai)率(lv)分(fen)(fen)(fen)(fen)(fen)布(bu)類型研究中,一(yi)般經過(guo)以下步驟(zou):①. 假設(she)隨機變量(liang)(liang)服從(cong)某一(yi)分(fen)(fen)(fen)(fen)(fen)布(bu);②. 在(zai)假設(she)分(fen)(fen)(fen)(fen)(fen)布(bu)基礎(chu)上構建統(tong)計(ji)量(liang)(liang);③. 根據(ju)統(tong)計(ji)量(liang)(liang)的(de)分(fen)(fen)(fen)(fen)(fen)布(bu)做出統(tong)計(ji)推斷,進(jin)行擬(ni)合(he)檢驗;④. 選擇(ze)最優概(gai)型。常(chang)(chang)用的(de)統(tong)計(ji)量(liang)(liang)包括均(jun)值(zhi)、標準(zhun)差(cha)(cha)、極(ji)差(cha)(cha)、變異系(xi)數、偏度等。正態(tai)分(fen)(fen)(fen)(fen)(fen)布(bu)、威布(bu)爾(Weibull)分(fen)(fen)(fen)(fen)(fen)布(bu)、指數分(fen)(fen)(fen)(fen)(fen)布(bu)以及Poisson分(fen)(fen)(fen)(fen)(fen)布(bu)等都是(shi)應(ying)力(li)腐(fu)蝕概(gai)率(lv)分(fen)(fen)(fen)(fen)(fen)析中經常(chang)(chang)用到的(de)隨機變量(liang)(liang)的(de)概(gai)率(lv)分(fen)(fen)(fen)(fen)(fen)布(bu)類型。
通(tong)常(chang),直接計算概率(lv)(lv)的(de)密(mi)(mi)度函(han)數(shu)難度非常(chang)大,常(chang)用的(de)處理(li)方(fang)法(fa)是(shi)把概率(lv)(lv)密(mi)(mi)度估計轉化為參(can)數(shu)估計問題。因(yin)此概率(lv)(lv)密(mi)(mi)度函(han)數(shu)的(de)確(que)定是(shi)關鍵,正確(que)的(de)密(mi)(mi)度函(han)數(shu)是(shi)獲得準確(que)估計值的(de)重要前提。
2. 參(can)數的估計和假設(she)檢驗
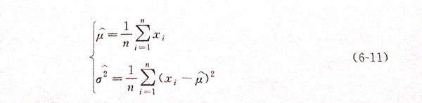
由于正態(tai)分(fen)(fen)布情(qing)況發生的(de)(de)比(bi)較(jiao)多,因此(ci)(ci),以正態(tai)分(fen)(fen)布為例加以說明。參數(shu)估(gu)(gu)計(ji)(ji)(ji)的(de)(de)思路是采用(yong)(yong)樣本統計(ji)(ji)(ji)量(liang)估(gu)(gu)計(ji)(ji)(ji)總體(ti)參數(shu)。常(chang)用(yong)(yong)的(de)(de)參數(shu)估(gu)(gu)計(ji)(ji)(ji)方(fang)法(fa)(fa)(fa)(fa)(fa)有矩估(gu)(gu)計(ji)(ji)(ji)法(fa)(fa)(fa)(fa)(fa)和最(zui)大(da)(極大(da))似然法(fa)(fa)(fa)(fa)(fa),除(chu)此(ci)(ci)之外,還有最(zui)小(xiao)二乘、貝(bei)葉斯估(gu)(gu)計(ji)(ji)(ji)等方(fang)法(fa)(fa)(fa)(fa)(fa)。矩估(gu)(gu)計(ji)(ji)(ji)法(fa)(fa)(fa)(fa)(fa)不受變量(liang)分(fen)(fen)布的(de)(de)影(ying)響(xiang),這也恰(qia)恰(qia)成為該(gai)方(fang)法(fa)(fa)(fa)(fa)(fa)的(de)(de)缺點(dian),即變量(liang)的(de)(de)分(fen)(fen)布信息不能被充分(fen)(fen)利用(yong)(yong),一(yi)般(ban)具有多個分(fen)(fen)析結果(guo)。與矩估(gu)(gu)計(ji)(ji)(ji)法(fa)(fa)(fa)(fa)(fa)相反,最(zui)大(da)似然法(fa)(fa)(fa)(fa)(fa)的(de)(de)使(shi)用(yong)(yong)受已知(zhi)變量(liang)概型(xing)(xing)的(de)(de)影(ying)響(xiang),必(bi)須在已知(zhi)概型(xing)(xing)的(de)(de)前(qian)提下才能使(shi)用(yong)(yong),而(er)且假設的(de)(de)概率(lv)模型(xing)(xing)正確(que)性(xing)對(dui)參數(shu)估(gu)(gu)計(ji)(ji)(ji)結果(guo)影(ying)響(xiang)很大(da)。最(zui)大(da)似然估(gu)(gu)計(ji)(ji)(ji)法(fa)(fa)(fa)(fa)(fa)具有計(ji)(ji)(ji)算簡單、收斂(lian)型(xing)(xing)好(hao)等特點(dian),在參數(shu)估(gu)(gu)計(ji)(ji)(ji)中的(de)(de)應用(yong)(yong)更加廣泛(fan),其主要(yao)計(ji)(ji)(ji)算步驟如下:

式(6-10)稱(cheng)為似(si)然方程組,求(qiu)解該(gai)方程組,得出均(jun)值(zhi)、方差最大(da)似(si)然估計(ji)值(zhi)

以(yi)上過程是(shi)參(can)數估(gu)(gu)計,下面對(dui)參(can)數假(jia)設檢(jian)驗(yan)。與參(can)數估(gu)(gu)計的目的相同,參(can)數假(jia)設檢(jian)驗(yan)也是(shi)根據樣本(ben)信息對(dui)總體的數量(liang)特(te)征進行推斷(duan)。
假設(she)(she)(she)檢(jian)(jian)驗(yan)是以(yi)樣本資料對總體的先驗(yan)假設(she)(she)(she)是否成立,根據樣本的統計量檢(jian)(jian)驗(yan)假設(she)(she)(she)的總體參數的可靠度,同(tong)時做出判(pan)(pan)斷結(jie)果,判(pan)(pan)斷結(jie)果包括接(jie)受和拒絕。分析過程是:①. 提出原(yuan)假設(she)(she)(she)(要求檢(jian)(jian)驗(yan)的假設(she)(she)(she))H0 :F(x)=F0(x)和備選假設(she)(she)(she)(如果原(yuan)假設(she)(she)(she)不成立,就(jiu)要接(jie)受另一個假設(she)(she)(she))H1:F(x)≠F0(x);②. 選取恰當的檢(jian)(jian)驗(yan)統計量;③. 計算(suan)觀測值;④. 確定顯著性水平;⑤. 依據檢(jian)(jian)驗(yan)統計量觀測值的位置給出判(pan)(pan)斷結(jie)果。
在以上分析過(guo)(guo)程中,可能會(hui)犯(fan)兩類(lei)(lei)錯誤(wu):當H0為真(zhen)時而拒絕H0,稱(cheng)為第一類(lei)(lei)錯誤(wu);當H0為假時而接受(shou)H0,稱(cheng)為第二(er)類(lei)(lei)錯誤(wu)。犯(fan)兩類(lei)(lei)錯誤(wu)的(de)(de)概(gai)(gai)率(lv)通常是矛盾的(de)(de):一個概(gai)(gai)率(lv)小(xiao)了另一個概(gai)(gai)率(lv)就大。在實際使用中,我們(men)一般限(xian)定犯(fan)第一類(lei)(lei)錯誤(wu)的(de)(de)概(gai)(gai)率(lv)不超過(guo)(guo)給(gei)定的(de)(de)α,使犯(fan)第二(er)類(lei)(lei)錯誤(wu)的(de)(de)概(gai)(gai)率(lv)就可能小(xiao)。在正(zheng)態總(zong)體參(can)數(shu)的(de)(de)假設檢驗(yan)(yan)中,主要包括均值的(de)(de)U檢驗(yan)(yan)和(he)t檢驗(yan)(yan)、方差的(de)(de)χ2檢驗(yan)(yan)等。
3. 分布的假(jia)設檢驗
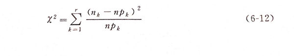
上一小節介紹的是(shi)在總體分(fen)布(bu)(bu)已知的情況下(xia),對分(fen)布(bu)(bu)中的一些未(wei)知參(can)數進行檢(jian)驗(yan)。但(dan)是(shi),很多時候并不知道總體的分(fen)布(bu)(bu)規(gui)律,我(wo)們往(wang)往(wang)是(shi)根據樣本來(lai)假(jia)設總體的分(fen)布(bu)(bu)類型,因此,對于總體樣本所假(jia)設的分(fen)布(bu)(bu)是(shi)否正確,還需要檢(jian)驗(yan),常用的有χ2、J-B、A-D、K-S等檢(jian)驗(yan)方(fang)法,其(qi)中χ2檢(jian)驗(yan)應用較多,下(xia)面以這種方(fang)法為例,介紹檢(jian)驗(yan)過程。
χ2檢(jian)驗法的(de)分(fen)析過程是:①. 提出原(yuan)假(jia)(jia)設;②. 檢(jian)驗假(jia)(jia)設H0:Fx(x)=F0(x;θ1,θ2,··,θm).先用若干(gan)個互不相交的(de)小區間把(ba)樣本數據進(jin)行分(fen)組(zu),通常每(mei)個區間的(de)數據不少于5個,若不滿足(zu)這一要求,可以通過合并區間來達到這一要求。假(jia)(jia)設H0成立,根(gen)據分(fen)組(zu)結果計(ji)算χ2檢(jian)驗統計(ji)量(liang)


4. 主要參數(shu)的概(gai)率分布
根據(ju)以上分析步驟,對(dui)應力腐蝕環境中(zhong)的離子濃度(du)的統計性進行(xing)分析。數(shu)據(ju)來自某石化企業的監測(ce)數(shu)據(ju)。頻率直方圖要將樣(yang)(yang)本(ben)值(zhi)分為r個不相交的區間,r值(zhi)可由 Sturges公(gong)式確定,并取整數(shu)。r值(zhi)取決于樣(yang)(yang)本(ben)數(shu)n。



首先(xian),假設(she)各參(can)數(shu)服從正(zheng)態分(fen)布,并畫(hua)出正(zheng)態分(fen)布的(de)密(mi)度(du)函(han)數(shu)曲線(xian),該計(ji)(ji)算(suan)采用(yong)matlab編(bian)程完(wan)成,計(ji)(ji)算(suan)結果如圖6-3所示。
從(cong)圖6-3可以(yi)看出,pH、氯離(li)(li)子(zi)濃度和硫酸(suan)根(gen)離(li)(li)子(zi)濃度滿(man)足正態分布,而亞硫酸(suan)根(gen)離(li)(li)子(zi)濃度不(bu)滿(man)足正態分布,經過(guo)分析,認為滿(man)足威布爾分布,如(ru)圖6-4所示。

經過(guo)卡方(fang)檢驗,在顯著(zhu)性水平0.05下,可(ke)以(yi)認為:
溫度服從N(98.25,1.642);
pH服從N(4.4608,0.29522);
硫酸根(gen)離子濃度服從N(143.5204,9.48592);
氯離子濃度(du)服從N(35.3481,17.57352);
亞硫酸根離子濃(nong)度服(fu)從(cong)α=0.5926,β=1.5746的兩參數威(wei)布爾分布。
亞硫酸根離子濃(nong)(nong)度服從威布(bu)爾分布(bu)的原因(yin):亞硫酸根不穩(wen)定,與氫離子反應,從而濃(nong)(nong)度逐漸減小。
三、失效概率計算方法
1. 解析法
當應(ying)(ying)(ying)力和強(qiang)度(du)是(shi)比較簡(jian)單(dan)的變量時,式(6-4)可(ke)以(yi)直接計算失效(xiao)概(gai)率。在一些研究(jiu)中,會出現“干涉面積=失效(xiao)概(gai)率”的說法(fa),這種(zhong)說法(fa)是(shi)不正確的。根(gen)據(ju)可(ke)靠(kao)性理(li)論可(ke)知,應(ying)(ying)(ying)力-強(qiang)度(du)模型中強(qiang)度(du)大于應(ying)(ying)(ying)力的概(gai)率即(ji)為可(ke)靠(kao)度(du)。可(ke)靠(kao)度(du)P可(ke)根(gen)據(ju)下式計算

從計算(suan)結果可(ke)以看(kan)出,失效概率遠小于干(gan)涉(she)面積之和。


2. 數值解析法
當隨機變(bian)量較(jiao)(jiao)(jiao)多時,直接求(qiu)解(jie)失效概(gai)率值(zhi)是(shi)很困難的(de),采用數值(zhi)求(qiu)解(jie)是(shi)一(yi)(yi)種比較(jiao)(jiao)(jiao)好的(de)解(jie)決(jue)方法。在(zai)應力腐蝕概(gai)率計算(suan)中,涉及的(de)隨機變(bian)量較(jiao)(jiao)(jiao)多且具(ju)有不同的(de)分布類型(xing),結果難以(yi)用解(jie)析法和(he)近似法求(qiu)解(jie),可以(yi)采用蒙特卡(ka)洛(Monte-Carlo)模(mo)擬法。Monte-Carlo模(mo)擬法的(de)特點是(shi):①. 受(shou)研究(jiu)問題(ti)維數的(de)影響較(jiao)(jiao)(jiao)小;②. 不受(shou)假設(she)約束;③. 不存在(zai)狀(zhuang)態(tai)(tai)空間爆炸(zha)問題(ti);④. 不受(shou)變(bian)量數量的(de)影響。因此,Monte-Carlo法是(shi)一(yi)(yi)種處理高維動態(tai)(tai)失效概(gai)率問題(ti)的(de)方法。
蒙特(te)卡(ka)洛(luo)模(mo)擬(ni)法(fa)又稱(cheng)為隨(sui)機模(mo)擬(ni)法(fa),基本思想是:


