一、通用金屬環形墊片型式、尺寸及(ji)公差
1. 型式與尺寸
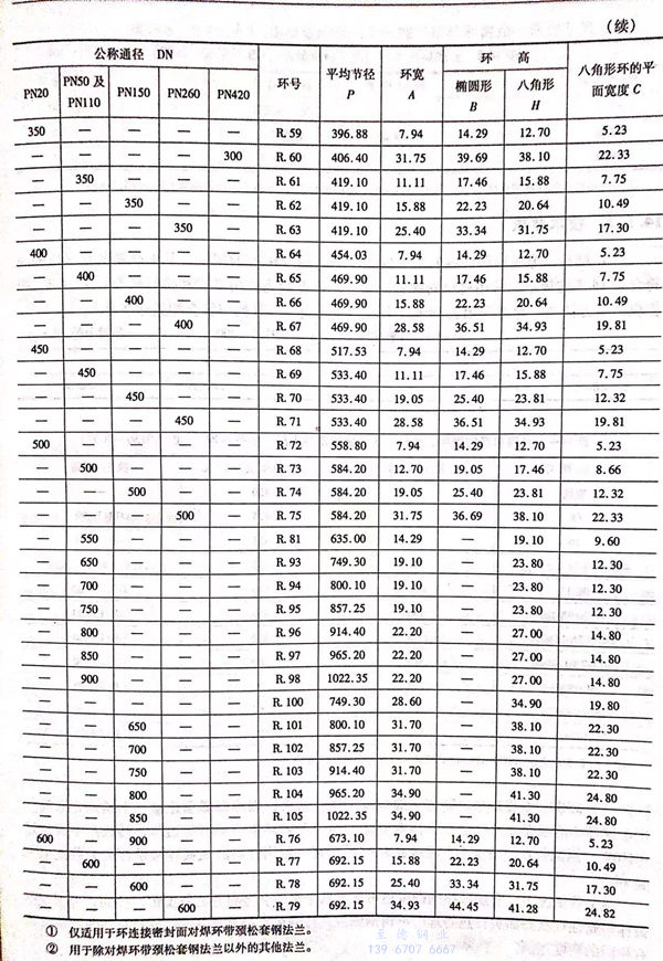
金(jin)屬環形墊片按截(jie)面形狀分為八角形和(he)橢(tuo)圓形兩(liang)種(zhong)結構,如圖14-1所示,尺寸見表14-1.



2. 尺寸公差
金屬環形墊片的尺寸極限偏差(cha)見表 14-2。

二、通用(yong)金(jin)屬環(huan)形墊片技術要求
1. 材料
金屬環(huan)墊坯(pi)料的(de)(de)(de)化學成分應(ying)符(fu)合(he)(he)相(xiang)應(ying)標(biao)準的(de)(de)(de)規定,其中軟鐵的(de)(de)(de)化學成分應(ying)符(fu)合(he)(he)表(biao)14-3的(de)(de)(de)規定,常用(yong)材料的(de)(de)(de)牌(pai)號、代號、推薦最高(gao)使用(yong)溫度和執(zhi)行(xing)標(biao)準見表(biao)14-4。根(gen)據供(gong)需(xu)雙方協商,允許采用(yong)表(biao)14-4之(zhi)外的(de)(de)(de)其他材料,其性能應(ying)符(fu)合(he)(he)相(xiang)關標(biao)準要求。

2. 硬(ying)度
金屬環墊的硬度一般應低于法蘭材料,以確保緊密連接。合金及不(bu)銹鋼法蘭用金屬環墊的硬度值由供需雙方協商確定。同一金屬環墊的硬度應均勻,其極差不得超過10HBW,測試各點的硬度不得超過表14-5的規定。常用材料的金屬環墊推薦最大硬度值見表14-5。

在某(mou)些情況下,金屬環墊的(de)(de)硬度(du)值可能不低(di)于法(fa)蘭(lan)合金材料(liao)的(de)(de)硬度(du)值。例如(ru),為了(le)獲得最佳(jia)耐腐蝕性狀(zhuang)態而進行熱處(chu)理的(de)(de)不銹(xiu)鋼法(fa)蘭(lan);與退(tui)火至最低(di)硬度(du)的(de)(de)同樣材料(liao)制成的(de)(de)環墊具有相同的(de)(de)硬度(du)范圍。
3. 表面粗糙(cao)度
金屬環墊的(de)密(mi)封(feng)面(八角墊的(de)斜面、橢圓(yuan)墊的(de)圓(yuan)弧面)不(bu)得有劃(hua)痕、磕痕、裂紋和凹(ao)坑,表(biao)面粗糙(cao)度不(bu)大(da)于Ra1.6μm.
三、通用金屬(shu)環形墊(dian)片標記
1. 標記方法
金屬環(huan)(huan)形墊(dian)片(pian)的標記由墊(dian)片(pian)形式、環(huan)(huan)號-墊(dian)片(pian)材料牌號和墊(dian)片(pian)標準號組成。
2. 標記(ji)示例
號(hao)為20, 材料為0Cr19Ni9 的八角形(xing)金(jin)屬環墊片,其(qi)標記為:八角墊 R.20-0Cr19Ni9 GB/T 9128

