柔(rou)性石墨(mo)金(jin)(jin)屬波(bo)齒(chi)(chi)復(fu)合墊(dian)片(pian)是(shi)(shi)由柔(rou)性石墨(mo)做成(cheng)的(de)金(jin)(jin)屬波(bo)齒(chi)(chi)復(fu)合墊(dian)片(pian)是(shi)(shi)在機械(xie)加工成(cheng)波(bo)齒(chi)(chi)狀的(de)金(jin)(jin)屬板兩面覆蓋上(shang)柔(rou)性石墨(mo)的(de)一種復(fu)合墊(dian)片(pian)。這種墊(dian)片(pian)既(ji)有(you)金(jin)(jin)屬的(de)強(qiang)度(du),又有(you)波(bo)紋彈性的(de)特點,最高使用(yong)溫度(du)可達到650℃左(zuo)右;適用(yong)公稱壓力用(yong)PN標記(ji)的(de)香蕉app免費視頻在線觀看:法蘭用(yong)墊片(pian)尺寸的最(zui)(zui)高壓力(li)可達250bar;適用(yong)公稱壓力(li)用(yong)Class標記的法蘭(lan)用(yong)墊片(pian)尺寸的最(zui)(zui)高壓力(li)可達到1500磅級(PN260bar).此種墊片(pian)通常用(yong)于突面(mian)、凹凸面(mian)及榫槽面(mian)帶(dai)頸對焊鋼制管(guan)法蘭(lan)、壓力(li)容器(qi)法蘭(lan)、香蕉app免費視頻在線觀看:閥門及換熱(re)器等管道和設備的密封。
一、型式及代號
1. 型式
柔(rou)性石墨金屬波(bo)齒復合墊片,按(an)結(jie)構的不同可分為(wei)基本型、帶(dai)定位環型及帶(dai)定位耳(er)型3種型式。
a. 基本型
基(ji)本型(xing)柔性石墨(mo)金屬波齒復合墊(dian)片適用(yong)于榫槽面和凹(ao)凸面法蘭,其結構型(xing)式如圖13-23所示(shi)。

b. 帶定位環型(xing)
帶定位環型(xing)柔性(xing)石墨金屬(shu)波(bo)齒復(fu)合墊片適用于全平面(mian)和突(tu)面(mian)密(mi)封面(mian)法蘭,其結構型(xing)式如圖13-24所示。

c. 帶定(ding)位耳型
帶定位耳(er)型柔性石墨(mo)金屬(shu)波齒復合墊片適用(yong)于全平面和突面密封面法蘭(lan),其結(jie)構型式(shi)如圖(tu)13-25所示。

2. 代號
a. 墊片的型式代號見(jian)表(biao) 13-36。

b. 金屬骨架的(de)常用(yong)材料代號見表 13-37。

二、尺寸及(ji)公(gong)差(cha)
1. 公(gong)稱壓力用(yong) PN 標記(ji)的法蘭用(yong)墊片尺寸
a. 榫槽面法蘭用基本型墊片(pian)尺寸(cun)見圖 13-23 和 表 13-38。

b. 凹凸面(mian)法蘭用(yong)基本型(xing)墊片尺寸見圖 13-23 和(he) 表 13-39。

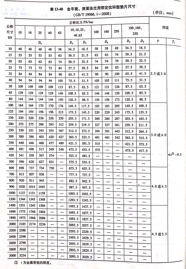
c. 全(quan)平面、突面法蘭用帶(dai)定位環型(xing)墊片尺寸見圖 13-24 和 表 13-40。

d. 全平(ping)面、突面法蘭(lan)用帶(dai)定位耳環型墊(dian)片尺(chi)寸見(jian)圖 13-25 和(he) 表 13-41。


2. 公稱壓力用 Class 標(biao)記的法蘭用墊片尺(chi)寸
a. 榫槽面法蘭用基本型墊片尺寸見圖 13-23 和(he) 表 13-42。

b. 凹(ao)凸面法蘭用基本(ben)型墊片尺寸見圖 13-23 和 表 13-43。

c. 全(quan)平面、突面法蘭用帶(dai)定(ding)位(wei)環型(xing)墊片尺(chi)寸見圖 13-24 和 表 13-44。

d. 全平面、突(tu)面法蘭(lan)用帶定位耳環(huan)型墊片尺寸見圖 13-25 和 表 13-45。

3. 公稱壓力用Class 標(biao)記的大直徑(jing)鋼制管法蘭(lan)用墊片尺寸
a. 公稱壓力用(yong)Class 標記的A系列大(da)直徑突(tu)面(mian)法蘭(lan)用(yong)帶定位(wei)環型的墊片(pian)尺寸見圖13-24和表13-46。

b. 公稱壓力(li)用(yong)Class 標記的(de)B系(xi)列大(da)直徑突面法蘭用(yong)帶(dai)定位環(huan)型(xing)墊片尺寸見圖13-24和表13-47。

c. 公稱壓力用Class 標(biao)記(ji)的A系列(lie)大直(zhi)徑突(tu)面法蘭用帶定(ding)位耳型墊片(pian)的尺(chi)寸見圖13-26和(he)表13-48.


d. 公稱壓力用(yong)Class標記的B系(xi)列大直徑突面法用(yong)帶定位耳型的墊片尺寸見圖(tu)13-26和表13-49。

4. 金屬(shu)骨架尺寸的極限偏(pian)差
金屬(shu)波齒(chi)復(fu)合墊(dian)片(pian)金屬(shu)骨架(jia)尺(chi)寸的(de)極(ji)限(xian)偏(pian)差見表13-50.復(fu)合后的(de)墊(dian)片(pian)外徑(jing)和(he)密封元件寬度的(de)極(ji)限(xian)偏(pian)差與金屬(shu)骨架(jia)的(de)相同。
5. 墊片厚度公(gong)差
墊片厚度(du)的極(ji)限(xian)偏(pian)差(cha)見表13-51;波齒(chi)深度(du)以(yi)及(ji)波齒(chi)圓(yuan)弧(hu)半徑(jing)的尺寸及(ji)其(qi)極(ji)限(xian)偏(pian)差(cha)由制造(zao)廠(商)進行(xing)確(que)定。
6. 尺寸極限(xian)偏差
大直徑法蘭用柔(rou)性石墨金(jin)屬波齒復(fu)合墊片尺寸極限(xian)偏差見表13-52.

三、技術要求
1. 金屬骨架
a. 金屬骨(gu)架材料及硬度(du)要求見表(biao)13-53.材料的(de)機械性能和化學成分應(ying)符合相應(ying)標準的(de)規定。
b. 金(jin)屬(shu)骨架一般使(shi)用整張金(jin)屬(shu)板制作,若受(shou)材(cai)(cai)料(liao)寬度限制需拼接(jie)時,其拼接(jie)接(jie)頭的數(shu)量應有所限制。拼接(jie)接(jie)頭的數(shu)量見表13-54.對接(jie)切口(kou)應采用氬弧焊(han)或(huo)電(dian)焊(han)對接(jie)焊(han)縫(feng)必須打(da)磨(mo)與(yu)母(mu)材(cai)(cai)齊(qi)平,焊(han)縫(feng)處(chu)不應出現夾渣、氣孔等影響焊(han)接(jie)接(jie)頭質量的缺陷。
c. 金屬骨架(jia)的結構見(jian)圖13-27,其結構尺(chi)寸和(he)參數由(you)制造廠(商)設計確定,并(bing)確保金屬骨架(jia)兩側面波(bo)峰與波(bo)谷應錯開1/2齒距,波(bo)齒距一致(zhi),波(bo)齒圓弧半徑相等,所有齒尖應在一個平面內,骨架(jia)無明顯翹(qiao)曲(qu)變形。成形后的金屬骨架(jia)任意兩點厚度(du)偏差在制作骨架(jia)的板材厚度(du)偏差范(fan)圍之內。
d. 定(ding)(ding)位環(huan)(包括定(ding)(ding)位耳環(huan))厚度T1通常為(wei)T1≤t-0.5,定(ding)(ding)位環(huan)可直接與波(bo)齒部(bu)分一起加工成一整體。定(ding)(ding)位環(huan)采用(yong)碳鋼材料(liao)時,其表面應進行防銹處理。
e. 當(dang)墊片單(dan)邊寬度較窄時,宜采(cai)用(yong)較小的波齒距(ju),并使單(dan)邊不得少于3個齒尖,以(yi)保證密封性能。
2. 墊(dian)片(pian)的復合
a. 墊片用粘合(he)劑應(ying)按有關標準規(gui)定,柔性石墨應(ying)符(fu)合(he)JB/T 7758.2《柔性石墨板(ban)技術條件》的規(gui)定。
b. 墊片(pian)復合后的截(jie)面圖見圖13-28.墊片(pian)的公稱厚度T一般(ban)為2.5、3.0、4.0和(he)4.5mm四種,特殊厚度的墊片(pian)可(ke)根據用戶要求制(zhi)作。

c. 柔(rou)性石墨與金(jin)屬(shu)骨架復合后應(ying)不(bu)脫膠,附著牢固,粘合無多余飛邊。墊片厚度均勻一致,表面光滑平整,不(bu)允許有影響密封性能的徑(jing)向(xiang)貫通劃傷、壓(ya)痕及(ji)凹凸(tu)不(bu)平等缺陷。
d. 大規(gui)格(ge)墊片(DN≥300mm)石墨允(yun)許搭(da)接,搭(da)接部分的寬度為(wei)1~3mm,應采用斜口(kou)搭(da)接,上下層搭(da)接部分不能重疊,搭(da)接處應光(guang)滑過(guo)渡。
3. 性能
柔(rou)性石墨金屬波齒復(fu)合墊片各(ge)項力學性能及(ji)密封性能指標見表13-55.

四、標(biao)記(ji)及(ji)標(biao)志
1. 標記
a. 標記方法(fa)

b. 標記示(shi)例(li)
墊片型式:帶定(ding)位環型;金屬骨架材料:06Cr19Ni10;公(gong)稱(cheng)尺寸:DN150;公(gong)稱(cheng)壓力:PN40;墊片標準:GB/T 19066.1;其標記為:
波齒墊 B4-DN150-PN40 GB/T 19066.1
2. 標志(zhi)
按GB/T 19066.3-2003《柔性石墨金屬波齒復合(he)(he)墊(dian)片技術條(tiao)件》規(gui)定:經檢驗(yan)合(he)(he)格(ge)的產品,制造廠應(ying)填寫產品合(he)(he)格(ge)證作為標志,并隨產品一起裝箱發(fa)送。合(he)(he)格(ge)證包括(kuo)以下各項(xiang)內容:
a. 產品標記。
b. 產品規(gui)格及符合(he)標準的(de)編號。
c. 產品批號。
d. 生(sheng)產日期(qi)。
e. 檢驗日(ri)期及檢驗者姓名、代(dai)號。
f. 制造廠名稱(cheng)。
g. 商標。

