管(guan)件的(de)型(xing)式與(yu)尺寸分為(wei)以米制(zhi)單(dan)位表示的(de)管(guan)件和(he)以英制(zhi)單(dan)位表示的(de)管(guan)件兩(liang)個(ge)系(xi)列。
在(zai)米制單位表示的(de)管(guan)件尺寸中,管(guan)件端部外徑(jing)(即與管(guan)子外徑(jing)相(xiang)配的(de)坡(po)口處外徑(jing))分(fen)為Ⅰ及Ⅱ兩個系列(lie),Ⅰ系列(lie)為國際通用系列(lie)。
由于米制(zhi)(zhi)單(dan)位(wei)和英制(zhi)(zhi)單(dan)位(wei)的(de)管件不(bu)能做(zuo)到(dao)精確的(de)等同(tong),因此使用者必須(xu)分別采用兩種單(dan)位(wei)制(zhi)(zhi)。對(dui)于尺(chi)寸為米制(zhi)(zhi)單(dan)位(wei)的(de)管件,其公稱尺(chi)寸用DN表示;對(dui)于尺(chi)寸為英制(zhi)(zhi)單(dan)位(wei)的(de)管件,其公稱尺(chi)寸用NPS表示。兩者之間的(de)關系見(jian)表8-2。

一、米制尺寸(cun)
1. 長半(ban)徑彎(wan)頭型式見(jian)圖 8-1,尺寸見(jian)表 8-3 。


2. 長(chang)半徑異徑彎(wan)頭(tou)型式(shi)見(jian)圖 8-2,尺寸見(jian)表 8-4 。


3. 長半(ban)徑180°彎(wan)頭型式見圖 8-3,尺寸見表 8-5 。

4. 短半徑彎頭型式見圖 8-4,尺(chi)寸見表 8-6 。

5. 短半徑180°彎頭型式見圖(tu) 8-5,尺寸見表(biao) 8-7 。


6. 等徑(jing)三通(tong)和四通(tong)型(xing)式(shi)見圖 8-6,尺(chi)寸見表 8-8 。


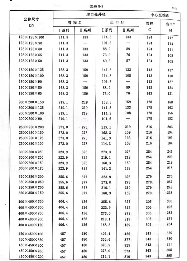
7. 異(yi)徑(jing)三(san)通和四通型(xing)式見(jian)圖 8-7,尺寸見(jian)表 8-9 。





8. 翻邊(bian)短(duan)節型(xing)式見圖(tu) 8-8,尺(chi)寸(cun)見表 8-10 。


注:1.公差見表8-23。
2.使用(yong)條(tiao)件和連接結(jie)構(gou)通常決(jue)定對短(duan)節的長(chang)度要求,因此,在訂貨時采購方必須規定是長(chang)型(xing)(xing)或(huo)短(duan)型(xing)(xing)短(duan)節。
a. 當(dang)(dang)短(duan)型(xing)翻邊(bian)短(duan)節(jie)(jie)用(yong)于PN50和PN110的較大(da)法(fa)蘭(lan)(lan)以及大(da)于等于PN150的大(da)部分規(gui)格的法(fa)蘭(lan)(lan)時;或當(dang)(dang)長型(xing)翻邊(bian)短(duan)節(jie)(jie)用(yong)于PN260和PN420的較大(da)法(fa)蘭(lan)(lan)時,為(wei)了避免法(fa)蘭(lan)(lan)可能影響焊接(jie),可能需要增(zeng)加接(jie)管的長度。長度增(zeng)加量由制造(zao)商(shang)與(yu)采(cai)購方雙方協商(shang)。
b. 當采用榫槽面和凹(ao)凸密封面時,必須增(zeng)加(jia)搭接邊的厚(hou)度(du)。增(zeng)加(jia)厚(hou)度(du)應附加(jia)(不(bu)包括)在基(ji)本長度(du)F上。
c. 這些尺寸應(ying)與GB/T 9118.1~9118.2或(huo)ASMEB16.5中的松套法蘭(lan)的圓(yuan)角半徑(jing)相符(fu)合。
d. 該尺寸與ASME B16.5中表示(shi)的(de)(de)標準機加工面(mian)相符合。搭接邊(bian)的(de)(de)背面(mian)應(ying)進行(xing)機加工,使其與安裝表面(mian)一致。當采用(yong)環(huan)連接密(mi)封面(mian)時(shi),使用(yong)ASMEB16.5中給出的(de)(de)尺寸K。
9. 管帽型(xing)式見(jian)圖 8-9,尺(chi)寸見(jian)表 8-11 。

10. 異徑接(jie)頭型(xing)式見(jian)圖 8-10,尺寸見(jian)表 8-12 。



二(er)、英制尺(chi)寸
1. 長半徑(jing)彎頭型式見(jian)圖 8-11,尺寸見(jian)表 8-13 。

2. 長半徑異徑彎頭型(xing)式見圖(tu) 8-12,尺寸見表 8-14 。


3. 長半徑180°彎(wan)頭型式見圖 8-13,尺寸見表 8-15 。


4. 短半徑彎(wan)頭型式(shi)見圖 8-14,尺寸見表 8-16 。

5. 短半(ban)徑(jing)180°彎(wan)頭(tou)型式(shi)見圖 8-15,尺(chi)寸(cun)見表 8-17 。

6. 等徑(jing)三通和四(si)通型式見(jian)圖(tu) 8-16,尺(chi)寸見(jian)表 8-18 。


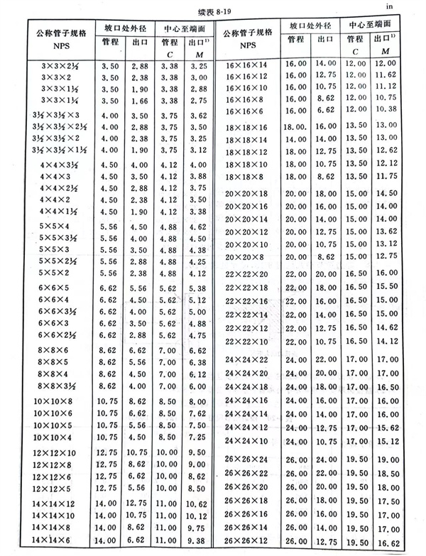
7. 異徑(jing)三(san)通和(he)四(si)通型式見圖 8-17,尺寸見表 8-19 。



8. 翻邊短節型式見圖 8-18,尺寸見表 8-20 。


注:1.公差見圖8-21。
2.使用(yong)條件和(he)接頭結構通常(chang)決(jue)定對(dui)短節的長(chang)度(du)要求,因此,在采購時采購方必須規定是長(chang)型(xing)或短型(xing)短節。
1)當短型(xing)翻(fan)邊短節(jie)用(yong)(yong)于300磅(bang)級(ji)(ji)和600磅(bang)級(ji)(ji)的較大(da)(da)法(fa)蘭(lan)以及(ji)大(da)(da)于等(deng)于900磅(bang)級(ji)(ji)的大(da)(da)部(bu)分(fen)規格的法(fa)蘭(lan)時,當長(chang)型(xing)翻(fan)邊短節(jie)用(yong)(yong)于1500磅(bang)級(ji)(ji)和2500磅(bang)級(ji)(ji)的較大(da)(da)法(fa)蘭(lan)時,為了避免法(fa)蘭(lan)可能影(ying)響焊接(jie),可能需要增(zeng)(zeng)加接(jie)管的長(chang)度(du)。長(chang)度(du)的增(zeng)(zeng)加量由(you)制造廠與采購方雙方協商。
2)當采用如(ru)榫槽面,凹凸密封面時,必須增加(jia)搭接邊的厚度(du)(du)。增加(jia)厚度(du)(du)應在基(ji)(ji)本(ben)長度(du)(du)F之外(不(bu)包括在基(ji)(ji)本(ben)長度(du)(du)內)。
3)這些尺寸應與ASME B16.5《管(guan)法(fa)(fa)蘭(lan)和法(fa)(fa)蘭(lan)管(guan)件》中(zhong)松套法(fa)(fa)蘭(lan)的圓角半徑相符。
4)該尺寸與ASME B16.5中(zhong)表示(shi)的標準機(ji)加(jia)工面(mian)一致(zhi)。搭接(jie)邊的背面(mian)應進行機(ji)加(jia)工,使(shi)與其(qi)安(an)裝表面(mian)一致(zhi)。當采用(yong)環連接(jie)面(mian)時使(shi)用(yong)ASMEB16.5中(zhong)給出的尺寸K。
9. 管(guan)帽型式見圖(tu) 8-19,尺寸見表 8-21 。


10. 異(yi)徑接頭型式見(jian)圖 8-20,尺寸見(jian)表(biao) 8-22 。



