香蕉app免费视频在线观看
香蕉app免費視頻在線觀看:
首頁
香蕉app免費視頻在線觀看:
關(guan)于(yu)我們(men)
香蕉app免費視頻在線觀看:
公司簡介
香蕉app免費視頻在線觀看:
企業理念
香蕉app免費視頻在線觀看:
核心服務
香蕉app免費視頻在線觀看:
榮譽(yu)證(zheng)書
香蕉app免費視頻在線觀看:
新聞中心
香蕉app免費視頻在線觀看:
企業資訊
香蕉app免費視頻在線觀看:
行業新聞
香蕉app免費視頻在線觀看:
產品中心
香蕉app免費視頻在線觀看:
不銹鋼管
香蕉app免費視頻在線觀看:
不銹鋼管件
香蕉app免費視頻在線觀看:
不銹(xiu)鋼(gang)法蘭
香蕉app免費視頻在線觀看:
預制件加工
香蕉app免費視頻在線觀看:
車間設備
香蕉app免費視頻在線觀看:
生產(chan)設備
香蕉app免費視頻在線觀看:
檢測設(she)備
香蕉app免費視頻在線觀看:
質保體系
香蕉app免費視頻在線觀看:
體系認(ren)證
香蕉app免費視頻在線觀看:
售后服務
香蕉app免費視頻在線觀看:
聯系我們(men)
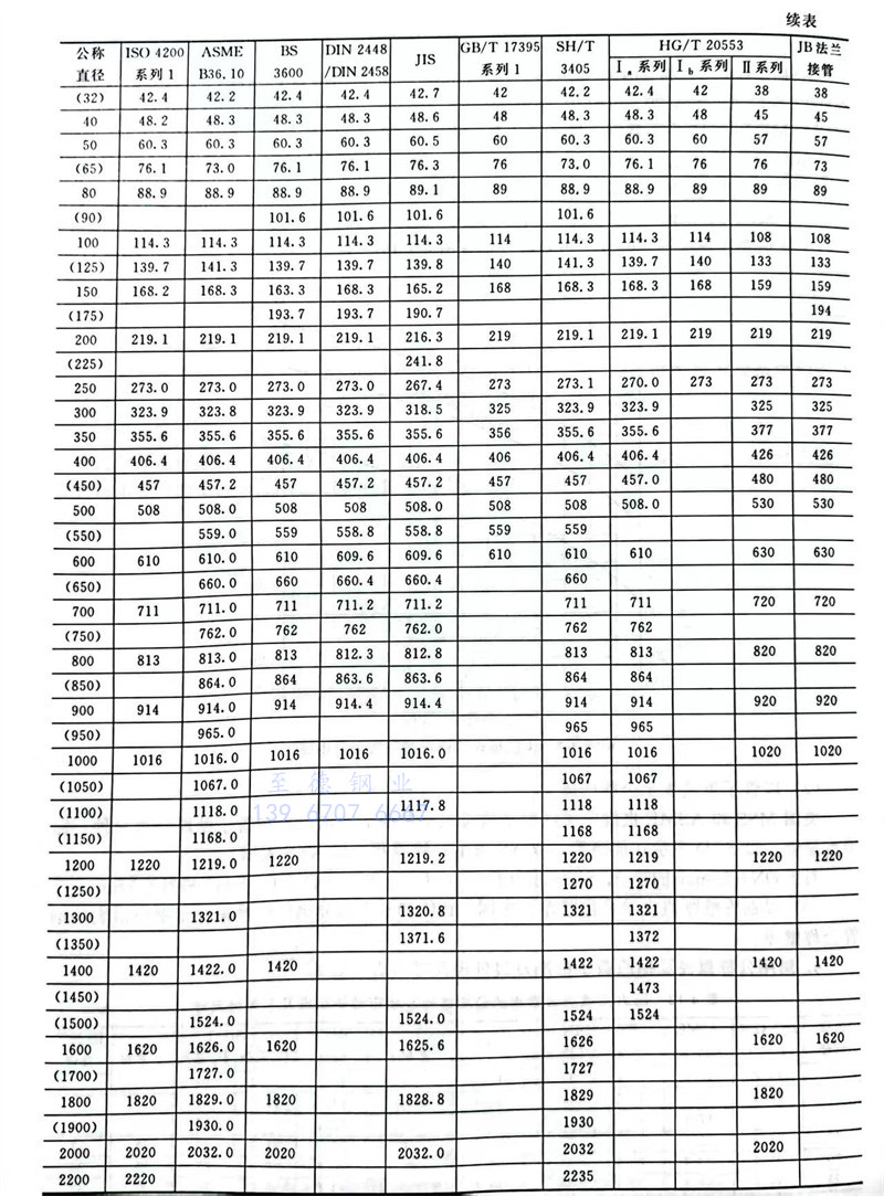
國標美標日標歐標不銹鋼管公稱直徑及其外徑尺寸規格對照表
發布日期:2023-12-10 16:12:43 人(ren)氣(qi):707
國標美標日標歐標
香蕉app免費視頻在線觀看:
不銹鋼管
公稱直徑及相應管子標準及其外徑尺寸規格對照表
S30403 00Cr19Ni10 不銹鋼標準牌號化學成分及主要特性和用途
球墨鑄鐵管件法蘭盤的結構型式與尺寸
猜你喜歡
香蕉app免費視頻在線觀看:浙江溫州鋼管廠家304不銹鋼管常用規格價格表