1. ASME B31.3壁厚設計計算與對(dui)比分(fen)析


從上面的(de)(de)推(tui)導過程可知(zhi),對于理(li)想的(de)(de)薄壁圓(yuan)筒(tong)管狀設備,如果要使其強度承受給定內(nei)壓而不致破壞(huai),所取(qu)的(de)(de)計算(suan)厚(hou)度應(ying)與內(nei)壓和管子直(zhi)徑(jing)的(de)(de)乘積成正比,與材料的(de)(de)許用應(ying)力成反比。經過多年發(fa)展和對公式的(de)(de)不斷(duan)修(xiu)正,形成了目前(qian)廣泛(fan)認可的(de)(de)ASME B31.3經典壁厚(hou)計算(suan)公式(3.3.4)或式(3.3.5)。
2. ASME B31.3管道壁厚計算方法
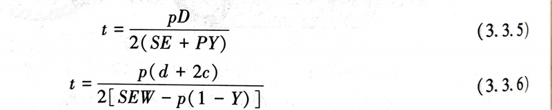
(1)管(guan)道的(de)直管(guan)部分(fen)所要求的(de)厚度應按公式(3.3.4)確定:
tm=t+c (3.3.4)
考慮(lv)到鋼廠(chang)的負偏差(cha),應(ying)選(xuan)用(yong)管道最小壁(bi)厚(hou)T≥tm
(2)直管的壓力設計公式中的代(dai)號(hao)意(yi)義(yi)如下:
c--機械裕(yu)量(螺紋或(huo)溝槽深(shen)度(du))與腐(fu)蝕和磨蝕裕(yu)量的(de)(de)(de)(de)總(zong)和。對于帶螺紋的(de)(de)(de)(de)組件(jian),應(ying)采(cai)用公(gong)稱螺紋深(shen)度(du)(ASME B1.20.1的(de)(de)(de)(de)尺寸h或(huo)相當的(de)(de)(de)(de)尺寸);對于沒有規(gui)(gui)定(ding)公(gong)差的(de)(de)(de)(de)機加工(gong)表面或(huo)槽,應(ying)在(zai)規(gui)(gui)定(ding)的(de)(de)(de)(de)切削(xue)深(shen)度(du)加上0.5mm(0.02in)的(de)(de)(de)(de)公(gong)差;
d--管道內徑。對于壓力設(she)計(ji)計(ji)算時(shi),管道內徑應是采購技術條件下的最大值(zhi);
D--管道的外徑(jing),如標準或技術條件表列或實測(ce);
E--ASME B31.3表(biao)A-1A或A1-1B所列(lie)質量(liang)系數;
p--設計(ji)內(nei)壓(表壓);
S--材料的(de)許用應力,見(jian)ASME B31.3表A-1;
T--管壁(bi)厚(實(shi)測或按采購技(ji)術條件中的最小壁(bi)厚);
tm--包(bao)括(kuo)機加工、腐蝕(shi)和磨蝕(shi)裕(yu)量在內的所需最小厚度;
t--壓(ya)力設計厚(hou)度;
W--焊(han)縫結構強(qiang)度降低(di)系數。
W 是考慮蠕變溫(wen)度下新加的(de)(de)一個小于(yu)或等(deng)于(yu)1的(de)(de)系數。實際(ji)上(shang)式(3.3.5)和式(3.3.6)最初(chu)來源于(yu)較(jiao)精確(que)且較(jiao)復(fu)雜的(de)(de)拉美(Lamé)公式(在1883年提出)的(de)(de)經驗近似(si)式。
焊(han)縫接(jie)頭強度(du)降低系數W是引起焊(han)縫接(jie)頭失(shi)效的(de)名(ming)義應力與相同(tong)持久時間母(mu)材失(shi)效的(de)名(ming)義應力的(de)比(bi),在(zai)缺(que)少更多可用數據的(de)情(qing)況(kuang)下(如蠕變(bian)試驗(yan)),對于所有(you)材料,在(zai)溫(wen)度(du)不大于510℃(950℉)時,應取為1.0,在(zai)溫(wen)度(du)815℃(1500°℉)時,應取為0.5。中(zhong)間溫(wen)度(du)的(de)強度(du)降低系數應使用線性內插法取得。對于溫(wen)度(du)高于815℃(1500°℉)的(de)情(qing)況(kuang),由設計者負責確定強度(du)降低系數。
使用(yong)焊(han)(han)縫接頭的(de)蠕變(bian)試驗來確定強度降低系數時,宜(yi)使用(yong)全厚(hou)度橫(heng)截面焊(han)(han)縫試樣(yang)試驗,其(qi)持久時間(jian)不低于1000h。除非(fei)設計者考慮由于橫(heng)穿焊(han)(han)縫應力重(zhong)新分配的(de)影響,應使用(yong)全厚(hou)度焊(han)(han)縫試樣(yang)。
Y--當t/D/6時從ASME B31.3表查得(de)系數,見(jian)表3.3.18。對于中間溫度,Y值可用內插法求得(de)。

(3)承(cheng)受內壓(ya)的(de)直管。
①. 當t<D/6時,直(zhi)管(guan)的內(nei)壓設計(ji)厚度,應不小于式(shi)(shi)(3.3.5)或(huo)式(shi)(shi)(3.3.6)計(ji)算出的厚度:

②. 當t≥D/6時或p/SE>0.385時,直管的內壓設計(ji)厚(hou)度要對諸如失效(xiao)機(ji)理、疲(pi)勞影響和熱應(ying)力等因素(su)予以特殊考慮(lv)。
(4)承(cheng)受外壓的直(zhi)管。
確(que)定承受外壓的(de)(de)直(zhi)管的(de)(de)壁厚和剛(gang)性加(jia)強要求時(shi),應(ying)(ying)遵照BPV規(gui)范VII卷(juan)第1冊UG-28至UG-30規(gui)定的(de)(de)程序,使用UG-29規(gui)定的(de)(de)兩(liang)剛(gang)性加(jia)強圈斷面中心線間長度(du)作為設計長度(du)Lo。作為例外的(de)(de)是當P.2的(de)(de)S值應(ying)(ying)是在(zai)設計溫度(du)下(xia)管道材料下(xia)列數(shu)值中較小(xiao)值:
①. 1.5倍ASME B31.3附錄(lu)表A-1的許用應力;
②. 0.9倍列于第II卷D篇表(biao)Y-1相應(ying)材料屈服強度(du)。
(第VII卷中的符號D。相當于ASME B31.3中的D)

