金(jin)屬在大氣中(zhong)會自發進行氧(yang)化,隨(sui)著溫(wen)(wen)度增高,大氣中(zhong)水分蒸發,濕腐蝕(shi)變成(cheng)干腐蝕(shi),腐蝕(shi)更嚴(yan)重,在工業(ye)中(zhong)成(cheng)為重要(yao)問(wen)題。如高溫(wen)(wen)石(shi)油化工管道(dao)等(deng)都(dou)存在高溫(wen)(wen)氧(yang)化問(wen)題。在高溫(wen)(wen)下金(jin)屬表面產(chan)生一層氧(yang)化膜(mo)。Pilling和(he)Bedworth曾指出,抗氧(yang)化性和(he)氧(yang)化物與金(jin)屬的(de)體(ti)積比有關。如用R表示單位體(ti)積,則:

當R<1時,氧(yang)化物不(bu)能(neng)覆(fu)蓋金屬表面,因而沒有保(bao)護(hu)性(xing)(xing);當R>1時,氧(yang)化物中將產生較大(da)的(de)應力,膜易破(po)裂(lie)脫(tuo)落(luo),保(bao)護(hu)性(xing)(xing)不(bu)好。理想的(de)比(bi)值應接近(jin)1。此外,保(bao)護(hu)性(xing)(xing)高(gao)(gao)的(de)膜還應具(ju)有高(gao)(gao)熔點,低(di)(di)蒸氣壓,膨脹系數與金屬接近(jin),良好的(de)抗破(po)裂(lie)高(gao)(gao)溫塑(su)性(xing)(xing),低(di)(di)電(dian)導率,對金屬離子和氧(yang)的(de)擴散系數低(di)(di)等。
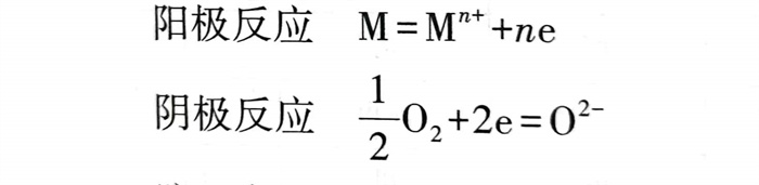
金屬的高溫氣體腐蝕也是(shi)一個電(dian)化(hua)學過程。如圖8.1.13所示。陽極反(fan)應(ying)(ying)是(shi)金屬離(li)(li)(li)子(zi)(zi)化(hua),在膜-金屬界面(mian)發生(sheng);陰極反(fan)應(ying)(ying)是(shi)氧的離(li)(li)(li)子(zi)(zi)化(hua),在膜-氣體界面(mian)發生(sheng)。電(dian)子(zi)(zi)和(he)離(li)(li)(li)子(zi)(zi)(金屬離(li)(li)(li)子(zi)(zi)和(he)氧離(li)(li)(li)子(zi)(zi))在膜中(zhong)兩極之(zhi)間流動(dong),它和(he)水溶(rong)液(ye)中(zhong)的腐蝕電(dian)池(chi)相似(si)。


防止(zhi)高溫(wen)氧(yang)化(hua)(hua)最有效的(de)方法(fa)是(shi)在基體金(jin)屬中加(jia)入有效的(de)合(he)金(jin)成(cheng)分,使膜中生成(cheng)保護性很強的(de)二元或三元化(hua)(hua)合(he)物,使離子擴散更(geng)為困難,氧(yang)化(hua)(hua)速(su)度因而下降。

