一、ASME簡單判斷(duan)式(shi)
ASME簡(jian)單(dan)判(pan)(pan)斷(duan)(duan)(duan)法(fa)(fa)是(shi)(shi)(shi)由美國ASMEB31.1標(biao)準(zhun)給(gei)出的(de)(de)一種(zhong)快速(su)確定管(guan)系熱(re)(re)膨(peng)脹補償是(shi)(shi)(shi)否滿足要求(qiu)的(de)(de)簡(jian)便(bian)方(fang)法(fa)(fa),在工程(cheng)設計中得(de)到了(le)廣(guang)泛的(de)(de)應用。但是(shi)(shi)(shi),該方(fang)法(fa)(fa)僅(jin)是(shi)(shi)(shi)一個(ge)判(pan)(pan)斷(duan)(duan)(duan)式,它并不能(neng)計算出管(guan)系中的(de)(de)應力、邊界(jie)反力和位移等(deng)數(shu)值,只進(jin)(jin)行(xing)簡(jian)單(dan)的(de)(de)判(pan)(pan)斷(duan)(duan)(duan)。它的(de)(de)判(pan)(pan)斷(duan)(duan)(duan)結果是(shi)(shi)(shi)粗略的(de)(de),也是(shi)(shi)(shi)比較保守(shou)的(de)(de),因此(ci)對(dui)貴重的(de)(de)管(guan)道(如合(he)金鋼(gang)、不銹鋼(gang)、特(te)殊耐熱(re)(re)鋼(gang)、超(chao)低溫用鋼(gang)管(guan)道等(deng))不宜(yi)用它進(jin)(jin)行(xing)最(zui)終分(fen)析。
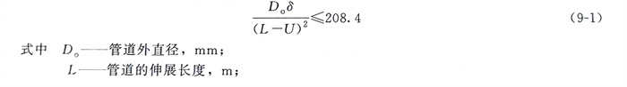
具有(you)同(tong)一(yi)直徑(jing)、同(tong)一(yi)壁(bi)厚、無(wu)分(fen)支(zhi)管(guan)、兩端固定、中(zhong)間無(wu)支(zhi)承約束的(de)(de)(de)非劇(ju)毒管(guan)道(dao)若不(bu)存(cun)在(zai)下列情(qing)況則可以按ASME簡單判斷(duan)式[式(9-1)]進行判斷(duan):存(cun)在(zai)劇(ju)烈(lie)冷熱循(xun)環變化(hua)的(de)(de)(de)管(guan)道(dao);大直徑(jing)薄壁(bi)管(guan);不(bu)等腿的(de)(de)(de)管(guan)道(dao)展(zhan)開長(chang)度大于端點連線長(chang)度2.5倍的(de)(de)(de)U形管(guan)道(dao);不(bu)在(zai)端點連線方(fang)向(xiang)上(shang)的(de)(de)(de)端點附加位移(yi)占總位移(yi)量的(de)(de)(de)大部分(fen);近似(si)直線的(de)(de)(de)鋸齒(chi)形狀的(de)(de)(de)管(guan)道(dao)。

U-固(gu)定點(dian)之間的連線長度,m;
δ-作(zuo)用于管道的(de)總熱位移(yi)(yi)荷(he)載,mm,由管端處管道自由熱脹冷縮位移(yi)(yi)以(yi)及設備熱脹冷縮位移(yi)(yi)疊加(jia)構成,前(qian)者在熱脹條件下(xia)取正值,在冷縮條件下(xia)取負值,后者以(yi)造成端點相向移(yi)(yi)動(dong)取正值,相背移(yi)(yi)動(dong)取負值。
二、ASME簡單判斷式不適(shi)用的管道(dao)
①. 在劇(ju)烈循環條件下運行(xing),有疲(pi)勞(lao)危險(xian)的管道。
②. 大(da)直徑薄壁管道(管件應力增強系數i≥5)。
③. 與(yu)端點連線不在同一方向的端點附加位移量占總位移量大部(bu)分的管道。
④. L/U>2.5的(de)不等(deng)腿U形彎管(guan)管(guan)道(dao),或近似直線的(de)鋸齒狀管(guan)道(dao)。
三、簡單(dan)判(pan)斷式的(de)求解步驟(zou)
在進(jin)行(xing)ASME簡(jian)單判斷(duan)式的(de)求(qiu)解時(shi),一般情況下并不困難(nan),只需(xu)要將式中各參數按各自(zi)的(de)定義求(qiu)出并代(dai)入公式計算(suan)即可(ke)。但當管系兩端點有附加位(wei)移時(shi),一些設計人員往往將端點位(wei)移的(de)正、負(fu)(fu)號(hao)(hao)搞錯而導致計算(suan)錯誤(wu)。為此,特將端點位(wei)移的(de)正、負(fu)(fu)號(hao)(hao)判斷(duan)方(fang)法(fa)進(jin)行(xing)介紹。端點位(wei)移的(de)正、負(fu)(fu)號(hao)(hao)可(ke)按以(yi)下兩種方(fang)法(fa)確定。
第一種方法(fa)(熱脹(zhang)趨(qu)勢法(fa))判斷步驟如下。
①. 選擇任一端點為(wei)始端,而另一端則(ze)為(wei)末端。
②. 假想始端(duan)固定,而末端(duan)開放,并以此判斷管系的熱脹方向。
③. 管(guan)系(xi)中各管(guan)段的熱脹量(liang) Δl=ΔTt 同一方向的管(guan)道熱脹量(liang)為各管(guan)段熱脹量(liang)的代數和,并判斷末端(duan)在該方向上的位移趨勢。
④. 兩端點有附加(jia)位移(yi)時(shi)(shi),對于(yu)始端,其附加(jia)位移(yi)方向與管(guan)系(xi)的熱脹(zhang)趨(qu)勢相同時(shi)(shi)取“十”,與管(guan)系(xi)位移(yi)趨(qu)勢相反(fan)時(shi)(shi)取“一”。對于(yu)末端,其附加(jia)位移(yi)方向與管(guan)系(xi)的熱脹(zhang)趨(qu)勢相同時(shi)(shi)取“-”,與管(guan)系(xi)的熱脹(zhang)趨(qu)勢相反(fan)時(shi)(shi)取“十”;
第二種方法(fa)(熱脹坐標法(fa))判斷(duan)步驟如下。
①. 選擇任(ren)一端為始端,另一端則為末端。
②. 假想始端(duan)固定,末端(duan)開放,并以始端(duan)為原點建立坐標系。
③. 從始端(坐(zuo)標(biao)(biao)原(yuan)點)沿管系向(xiang)(xiang)(xiang)末端行走,與(yu)坐(zuo)標(biao)(biao)同向(xiang)(xiang)(xiang)時位移(yi)(yi)為正,反向(xiang)(xiang)(xiang)時為負,最(zui)后分別取各方(fang)向(xiang)(xiang)(xiang)的位移(yi)(yi)代(dai)數(shu)和。該代(dai)數(shu)和具有“十(shi)”“-”號(hao),“十(shi)”號(hao)表示該方(fang)向(xiang)(xiang)(xiang)的總位移(yi)(yi)方(fang)向(xiang)(xiang)(xiang)與(yu)坐(zuo)標(biao)(biao)軸(zhou)(zhou)同向(xiang)(xiang)(xiang),而“一”號(hao)表示該方(fang)向(xiang)(xiang)(xiang)的總位移(yi)(yi)方(fang)向(xiang)(xiang)(xiang)與(yu)坐(zuo)標(biao)(biao)軸(zhou)(zhou)反向(xiang)(xiang)(xiang)。
④. 端點(dian)有附加位移(yi)(yi)時,對(dui)于始端,如果(guo)其附加位移(yi)(yi)方(fang)向(xiang)與坐標(biao)軸(zhou)(zhou)同向(xiang)則(ze)為(wei)“+”,反向(xiang)則(ze)為(wei)“一”;對(dui)于末端,如果(guo)其附加位移(yi)(yi)方(fang)向(xiang)與坐標(biao)軸(zhou)(zhou)同向(xiang)則(ze)為(wei)“十(shi)”,反向(xiang)則(ze)為(wei)“-”。
熱脹(zhang)趨勢法(fa)和(he)熱脹(zhang)坐(zuo)標法(fa)得(de)到的結果是相同(tong)的。
工程(cheng)實(shi)例
ASME簡單(dan)判斷(duan)式(shi)的(de)工程(cheng)應用
有一Φ273mm×8mnm的碳(tan)鋼管道,其設計(ji)溫度(du)為(wei)(wei)250℃,安裝溫度(du)為(wei)(wei)20℃,線(xian)脹系數為(wei)(wei)at=12.8×10-6℃-1。管道走向如圖(tu)9-5所示,其中A、D為(wei)(wei)固定點。試計(ji)算其柔性是(shi)否足夠。

因為A=501.12>208.4,所以該管道不能滿足柔性要(yao)求。

