1911年,德國科學家Van Karman首先用最小應變能方法研究了香蕉app免費視頻在線觀看:不銹鋼管彎管加工后的應力應變特性,之后的一些學者都以此方法為基礎,僅在級數的取舍等方面作了改進。Clark則認為彎管段為封閉環殼的一部分,通過薄殼方程并以兩個變量來表達這些方程,其解與已有解非常接近,且數學處理十分成功,但上述都僅限于彎曲半徑較大的情形。Pardue和Vigness,還有 Turner、Ford都研究了彎曲半徑較小的情形,給出了整個彎管截面的應力曲線。直到1956年,Kafla和Dunn注意到內壓對柔度系數的影響,指出了內壓可使彎管的柔度系數降低,剛度增大。Rodabaugh 和 George 利用能量方法研究了內壓的影響,給出了影響計算的理論公式。Clark等的計算公式和Rodabaugh等的內壓影響修正公式現在被各國規范所廣泛使用。
我國(guo)在(zai)“八五”“九五”科(ke)技攻關期間,已(yi)基本解(jie)決了壓(ya)(ya)力容器、壓(ya)(ya)力管(guan)(guan)(guan)(guan)(guan)(guan)(guan)道(dao)直管(guan)(guan)(guan)(guan)(guan)(guan)(guan)段的(de)(de)(de)(de)(de)(de)(de)塑(su)性(xing)(xing)極(ji)限(xian)(xian)載(zai)(zai)(zai)荷(he)(he)計(ji)算(suan)(suan)(suan)及(ji)工(gong)程(cheng)評(ping)估問題,但(dan)未(wei)涉及(ji)彎(wan)(wan)管(guan)(guan)(guan)(guan)(guan)(guan)(guan)等復雜結(jie)(jie)構(gou)(gou)(gou)。鑒于其(qi)對管(guan)(guan)(guan)(guan)(guan)(guan)(guan)道(dao)系(xi)統承載(zai)(zai)(zai)能力的(de)(de)(de)(de)(de)(de)(de)重要(yao)影響,國(guo)家科(ke)技部(bu)將壓(ya)(ya)力管(guan)(guan)(guan)(guan)(guan)(guan)(guan)道(dao)元件(jian)的(de)(de)(de)(de)(de)(de)(de)安(an)全(quan)評(ping)估技術列(lie)入“十(shi)五”國(guo)家重大科(ke)技攻關的(de)(de)(de)(de)(de)(de)(de)相關項目中。文獻給(gei)(gei)出(chu)了薄壁彎(wan)(wan)管(guan)(guan)(guan)(guan)(guan)(guan)(guan)的(de)(de)(de)(de)(de)(de)(de)理論解(jie),文獻采用(yong)(yong)(yong)數值分(fen)析的(de)(de)(de)(de)(de)(de)(de)方法(fa)(fa),對不(bu)銹鋼(gang)彎(wan)(wan)管(guan)(guan)(guan)(guan)(guan)(guan)(guan)結(jie)(jie)構(gou)(gou)(gou)在(zai)復雜載(zai)(zai)(zai)荷(he)(he)作(zuo)(zuo)(zuo)用(yong)(yong)(yong)下(xia)(xia)的(de)(de)(de)(de)(de)(de)(de)極(ji)限(xian)(xian)與安(an)定(ding)分(fen)析進行了深入、系(xi)統的(de)(de)(de)(de)(de)(de)(de)研究,發(fa)展了多組(zu)(zu)(zu)載(zai)(zai)(zai)荷(he)(he)作(zuo)(zuo)(zuo)用(yong)(yong)(yong)下(xia)(xia)不(bu)銹鋼(gang)管(guan)(guan)(guan)(guan)(guan)(guan)(guan)彎(wan)(wan)管(guan)(guan)(guan)(guan)(guan)(guan)(guan)結(jie)(jie)構(gou)(gou)(gou)塑(su)性(xing)(xing)極(ji)限(xian)(xian)上限(xian)(xian)分(fen)析的(de)(de)(de)(de)(de)(de)(de)有(you)限(xian)(xian)元數學(xue)(xue)規劃方法(fa)(fa),得(de)(de)出(chu)了相應(ying)的(de)(de)(de)(de)(de)(de)(de)無搜索(suo)優(you)化迭代求解(jie)算(suan)(suan)(suan)法(fa)(fa),給(gei)(gei)出(chu)了可較好地解(jie)決復雜載(zai)(zai)(zai)荷(he)(he)作(zuo)(zuo)(zuo)用(yong)(yong)(yong)下(xia)(xia)彎(wan)(wan)管(guan)(guan)(guan)(guan)(guan)(guan)(guan)結(jie)(jie)構(gou)(gou)(gou)與安(an)定(ding)分(fen)析的(de)(de)(de)(de)(de)(de)(de)數值算(suan)(suan)(suan)法(fa)(fa)。文獻就(jiu)含(han)(han)局(ju)(ju)部(bu)減薄彎(wan)(wan)管(guan)(guan)(guan)(guan)(guan)(guan)(guan)的(de)(de)(de)(de)(de)(de)(de)極(ji)限(xian)(xian)載(zai)(zai)(zai)荷(he)(he)作(zuo)(zuo)(zuo)了研究,得(de)(de)出(chu)了含(han)(han)局(ju)(ju)部(bu)減薄彎(wan)(wan)管(guan)(guan)(guan)(guan)(guan)(guan)(guan)的(de)(de)(de)(de)(de)(de)(de)極(ji)限(xian)(xian)載(zai)(zai)(zai)荷(he)(he)的(de)(de)(de)(de)(de)(de)(de)工(gong)程(cheng)計(ji)算(suan)(suan)(suan)方法(fa)(fa);文獻對在(zai)拉、壓(ya)(ya)、彎(wan)(wan)、扭和(he)內(nei)(nei)壓(ya)(ya)作(zuo)(zuo)(zuo)用(yong)(yong)(yong)下(xia)(xia)含(han)(han)缺陷(xian)彎(wan)(wan)管(guan)(guan)(guan)(guan)(guan)(guan)(guan)的(de)(de)(de)(de)(de)(de)(de)極(ji)限(xian)(xian)載(zai)(zai)(zai)荷(he)(he)作(zuo)(zuo)(zuo)了研究,得(de)(de)出(chu)了彎(wan)(wan)管(guan)(guan)(guan)(guan)(guan)(guan)(guan)在(zai)組(zu)(zu)(zu)合載(zai)(zai)(zai)荷(he)(he)作(zuo)(zuo)(zuo)用(yong)(yong)(yong)下(xia)(xia)的(de)(de)(de)(de)(de)(de)(de)極(ji)限(xian)(xian)載(zai)(zai)(zai)荷(he)(he)的(de)(de)(de)(de)(de)(de)(de)計(ji)算(suan)(suan)(suan)公式(shi),能滿(man)足一般工(gong)程(cheng)的(de)(de)(de)(de)(de)(de)(de)計(ji)算(suan)(suan)(suan)。文獻對環(huan)向(xiang)(xiang)(xiang)穿透(tou)(tou)裂紋(wen)的(de)(de)(de)(de)(de)(de)(de)斜(xie)接彎(wan)(wan)管(guan)(guan)(guan)(guan)(guan)(guan)(guan)進行了有(you)限(xian)(xian)元分(fen)析,計(ji)算(suan)(suan)(suan)給(gei)(gei)出(chu)了線彈性(xing)(xing)條件(jian)下(xia)(xia),焊(han)制斜(xie)接彎(wan)(wan)管(guan)(guan)(guan)(guan)(guan)(guan)(guan)環(huan)向(xiang)(xiang)(xiang)穿透(tou)(tou)裂紋(wen)分(fen)別在(zai)內(nei)(nei)壓(ya)(ya)、彎(wan)(wan)矩(ju)載(zai)(zai)(zai)荷(he)(he)作(zuo)(zuo)(zuo)用(yong)(yong)(yong)下(xia)(xia)斷(duan)裂參(can)(can)量K1的(de)(de)(de)(de)(de)(de)(de)工(gong)程(cheng)應(ying)用(yong)(yong)(yong)解(jie);同時以內(nei)(nei)壓(ya)(ya)、彎(wan)(wan)矩(ju)不(bu)同比例(li)的(de)(de)(de)(de)(de)(de)(de)載(zai)(zai)(zai)荷(he)(he)比作(zuo)(zuo)(zuo)用(yong)(yong)(yong)下(xia)(xia)求解(jie)出(chu)全(quan)塑(su)性(xing)(xing)J積分(fen)值。文獻對沿(yan)管(guan)(guan)(guan)(guan)(guan)(guan)(guan)向(xiang)(xiang)(xiang)穿透(tou)(tou)裂紋(wen)的(de)(de)(de)(de)(de)(de)(de)斜(xie)接彎(wan)(wan)管(guan)(guan)(guan)(guan)(guan)(guan)(guan)在(zai)內(nei)(nei)壓(ya)(ya)、彎(wan)(wan)矩(ju)聯合作(zuo)(zuo)(zuo)用(yong)(yong)(yong)下(xia)(xia)的(de)(de)(de)(de)(de)(de)(de)整體應(ying)力進行了分(fen)析,并利用(yong)(yong)(yong)斷(duan)裂力學(xue)(xue)的(de)(de)(de)(de)(de)(de)(de)理論和(he)有(you)限(xian)(xian)元方法(fa)(fa)計(ji)算(suan)(suan)(suan)了內(nei)(nei)壓(ya)(ya)、內(nei)(nei)壓(ya)(ya)與彎(wan)(wan)矩(ju)組(zu)(zu)(zu)合載(zai)(zai)(zai)荷(he)(he)作(zuo)(zuo)(zuo)用(yong)(yong)(yong)下(xia)(xia)焊(han)制斜(xie)接彎(wan)(wan)管(guan)(guan)(guan)(guan)(guan)(guan)(guan)沿(yan)管(guan)(guan)(guan)(guan)(guan)(guan)(guan)向(xiang)(xiang)(xiang)穿透(tou)(tou)裂紋(wen)的(de)(de)(de)(de)(de)(de)(de)線彈性(xing)(xing)斷(duan)裂參(can)(can)量 K1和(he)全(quan)塑(su)性(xing)(xing)J積分(fen)。
從國(guo)內外的(de)(de)研究(jiu)現(xian)狀來看,目前對(dui)(dui)不(bu)銹鋼(gang)管(guan)(guan)(guan)(guan)道的(de)(de)研究(jiu)多(duo)集中(zhong)在(zai)直管(guan)(guan)(guan)(guan)段(duan),圍繞管(guan)(guan)(guan)(guan)道中(zhong)重要而薄(bo)弱(ruo)的(de)(de)環節-彎(wan)(wan)管(guan)(guan)(guan)(guan)的(de)(de)研究(jiu)相(xiang)對(dui)(dui)較少。由于彎(wan)(wan)管(guan)(guan)(guan)(guan)幾何中(zhong)心線(xian)是曲線(xian),加(jia)之受(shou)(shou)制(zhi)造(zao)工藝的(de)(de)影響,管(guan)(guan)(guan)(guan)壁(bi)往往不(bu)等(deng)(deng)厚(hou)(hou),存在(zai)截面橢圓化,外拱壁(bi)厚(hou)(hou)局(ju)部變薄(bo),內拱壁(bi)厚(hou)(hou)局(ju)部變厚(hou)(hou)甚至出(chu)(chu)現(xian)皺褶等(deng)(deng)缺陷,當受(shou)(shou)到(dao)內壓(ya)(ya)(ya)(ya)和彎(wan)(wan)矩的(de)(de)聯合(he)作(zuo)用(yong)(yong)時,幾何和材料的(de)(de)非線(xian)性相(xiang)互作(zuo)用(yong)(yong),使得(de)彎(wan)(wan)管(guan)(guan)(guan)(guan)的(de)(de)應力(li)(li)狀態比直管(guan)(guan)(guan)(guan)復(fu)雜,因而研究(jiu)起(qi)來也相(xiang)對(dui)(dui)復(fu)雜。而對(dui)(dui)超(chao)(chao)(chao)(chao)高壓(ya)(ya)(ya)(ya)彎(wan)(wan)管(guan)(guan)(guan)(guan)還要涉及彎(wan)(wan)管(guan)(guan)(guan)(guan)的(de)(de)應力(li)(li)沿壁(bi)厚(hou)(hou)分布不(bu)均勻和應力(li)(li)集中(zhong)的(de)(de)現(xian)象,因而對(dui)(dui)超(chao)(chao)(chao)(chao)高壓(ya)(ya)(ya)(ya)彎(wan)(wan)管(guan)(guan)(guan)(guan)的(de)(de)研究(jiu)就更加(jia)復(fu)雜,目前對(dui)(dui)超(chao)(chao)(chao)(chao)高壓(ya)(ya)(ya)(ya)彎(wan)(wan)管(guan)(guan)(guan)(guan)的(de)(de)研究(jiu)文(wen)獻資料報(bao)道得(de)很(hen)少,而現(xian)有的(de)(de)文(wen)獻資料報(bao)道得(de)最多(duo)的(de)(de)是超(chao)(chao)(chao)(chao)高壓(ya)(ya)(ya)(ya)彎(wan)(wan)管(guan)(guan)(guan)(guan)的(de)(de)加(jia)工與制(zhi)造(zao)工藝,對(dui)(dui)超(chao)(chao)(chao)(chao)高壓(ya)(ya)(ya)(ya)彎(wan)(wan)管(guan)(guan)(guan)(guan)的(de)(de)受(shou)(shou)力(li)(li)分析及工程(cheng)中(zhong)的(de)(de)應用(yong)(yong)的(de)(de)研究(jiu)報(bao)道只有楊家瑞(rui)在(zai)文(wen)獻中(zhong)提到(dao)了(le)超(chao)(chao)(chao)(chao)高壓(ya)(ya)(ya)(ya)彎(wan)(wan)管(guan)(guan)(guan)(guan)的(de)(de)極(ji)限載荷的(de)(de)計(ji)算方法。2010年,毛苗等(deng)(deng)人對(dui)(dui)受(shou)(shou)內壓(ya)(ya)(ya)(ya)作(zuo)用(yong)(yong)下的(de)(de)90度大型厚(hou)(hou)壁(bi)彎(wan)(wan)管(guan)(guan)(guan)(guan)進行了(le)應力(li)(li)計(ji)算分析及試驗研究(jiu),得(de)到(dao)了(le)彎(wan)(wan)管(guan)(guan)(guan)(guan)的(de)(de)應力(li)(li)分布規律。2011年,樂增(zeng)等(deng)(deng)人應用(yong)(yong)雙剪強(qiang)度理(li)論(lun)推導出(chu)(chu)求解不(bu)銹鋼(gang)管(guan)(guan)(guan)(guan)彎(wan)(wan)管(guan)(guan)(guan)(guan)的(de)(de)極(ji)限載荷一(yi)般(ban)公式,如式(1-1)所示。

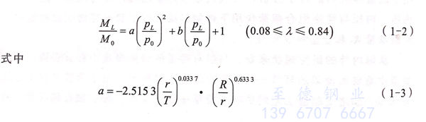
2014年,朱倩等(deng)(deng)人基于(yu)統(tong)一強(qiang)度(du)理(li)論(lun),考(kao)慮(lv)中間(jian)主應(ying)力(li)(li)(li)效應(ying)及拉壓不等(deng)(deng)特性(xing),建立了(le)(le)等(deng)(deng)壁厚、變(bian)壁厚及局(ju)部減(jian)薄壓力(li)(li)(li)彎(wan)管(guan)的(de)(de)(de)極(ji)限(xian)內壓統(tong)一解(jie),研(yan)究了(le)(le)統(tong)一強(qiang)度(du)理(li)論(lun)參(can)數(shu)、拉壓比、彎(wan)曲系數(shu)和不銹鋼管(guan)彎(wan)管(guan)壁厚對統(tong)一解(jie)的(de)(de)(de)影響特性(xing),結果表明:彎(wan)曲系數(shu)、強(qiang)度(du)理(li)論(lun)參(can)數(shu)等(deng)(deng)因素對極(ji)限(xian)內壓曲線的(de)(de)(de)影響顯著,考(kao)慮(lv)中間(jian)主應(ying)力(li)(li)(li)效應(ying)能(neng)充分發(fa)揮材料(liao)的(de)(de)(de)強(qiang)度(du)潛能(neng)。李建等(deng)(deng)人考(kao)慮(lv)幾(ji)何和材料(liao)的(de)(de)(de)非線性(xing)相互作用(yong),采用(yong)有(you)限(xian)元方法研(yan)究了(le)(le)復雜載荷(he)下不銹鋼彎(wan)管(guan)的(de)(de)(de)極(ji)限(xian)載荷(he),提出了(le)(le)彎(wan)矩以及內壓、彎(wan)矩聯合(he)作用(yong)下的(de)(de)(de)極(ji)限(xian)壓力(li)(li)(li)、極(ji)限(xian)彎(wan)矩與(yu)彎(wan)管(guan)幾(ji)何尺寸的(de)(de)(de)定量關系如式(1-2)。


