一、坯料穿(擴)孔時的金(jin)屬流(liu)動
不銹鋼管擠壓生產工藝過程中的穿孔工藝是指在立式穿孔機上,采用特殊形狀的穿孔頭,將實心的坯料穿孔成空心坯。而擴孔工藝則是將經預鉆孔的空心坯料在立式穿(擴)孔機上,采用特殊形狀的擴孔頭,進行空心坯的再擴孔。
實心坯的(de)穿孔(kong)和(he)鉆孔(kong)坯的(de)擴孔(kong),其金屬流動可以按相同的(de)圖像來(lai)描述。
1. 實心坯料穿(chuan)孔(kong)時的(de)金屬流動
為了研究在立式穿(chuan)孔機上穿(chuan)孔時金(jin)屬的(de)流動,采用在兩端刻有坐(zuo)標網格(ge),不帶潤(run)滑(hua)劑的(de)坯料(liao)鐓粗后,穿(chuan)孔“中止”,從徑向平面上取樣制作(zuo)顯微磨片(圖(tu)3-27)來進(jin)行分析。
由圖3-27可以看出,穿孔頭(tou)下端(duan)面形成倒錐形體的(de)金屬“停滯區(qu)”,其大小取決于穿孔頭(tou)的(de)形狀(zhuang)和所(suo)使(shi)用的(de)工藝潤滑(hua)劑的(de)效果。
而(er)從穿孔(kong)余料(liao)(圖(tu)3-28)可(ke)以看出,在其上端面(mian)(圖(tu)3-28(a))留有坐標網格的痕跡(ji)(ji)(ji),下端面(mian)(圖(tu)3-28(b))也留有坐標網格的痕跡(ji)(ji)(ji),并在其徑(jing)向斷面(mian)的顯微(wei)磨片上看得出有倒(dao)錐(zhui)形“停(ting)滯區”的金屬流線痕跡(ji)(ji)(ji)(圖(tu)3-28(c))。

據上所(suo)述(shu),對于不帶玻璃(li)潤滑劑(ji)的(de)(de)實心坯料穿孔工藝過程(cheng)的(de)(de)金(jin)屬(shu)流動(dong)可(ke)做如下描述(shu):
當(dang)穿(chuan)(chuan)(chuan)(chuan)孔(kong)過程開始時(shi),坯(pi)料進行預鐓(dui)粗(cu),使坯(pi)料沿(yan)圓周方向(xiang)(xiang)金(jin)屬流(liu)動充滿穿(chuan)(chuan)(chuan)(chuan)孔(kong)筒。此時(shi),坯(pi)料直徑與穿(chuan)(chuan)(chuan)(chuan)孔(kong)筒直徑相(xiang)同。當(dang)穿(chuan)(chuan)(chuan)(chuan)孔(kong)桿(gan)下(xia)(xia)降,穿(chuan)(chuan)(chuan)(chuan)孔(kong)頭接觸(chu)坯(pi)料上端(duan)面(mian)(mian)時(shi),由于工具與接觸(chu)坯(pi)料端(duan)面(mian)(mian)間的摩擦,在其接觸(chu)面(mian)(mian)下(xia)(xia)形(xing)成(cheng)倒錐(zhui)(zhui)體形(xing)的“停滯(zhi)(zhi)區(qu)”。當(dang)穿(chuan)(chuan)(chuan)(chuan)孔(kong)桿(gan)繼(ji)續下(xia)(xia)降時(shi),停滯(zhi)(zhi)的錐(zhui)(zhui)體狀金(jin)屬成(cheng)為穿(chuan)(chuan)(chuan)(chuan)孔(kong)頭的“前錐(zhui)(zhui)”,并隨著穿(chuan)(chuan)(chuan)(chuan)孔(kong)頭的向(xiang)(xiang)下(xia)(xia)推進,“前錐(zhui)(zhui)”金(jin)屬楔入坯(pi)料中(zhong)心(xin),使向(xiang)(xiang)徑向(xiang)(xiang)延伸的變形(xing)金(jin)屬沿(yan)著穿(chuan)(chuan)(chuan)(chuan)孔(kong)頭周邊和穿(chuan)(chuan)(chuan)(chuan)孔(kong)筒內壁向(xiang)(xiang)上流(liu)動。
在穿(chuan)孔(kong)(kong)過程結(jie)束時,穿(chuan)孔(kong)(kong)頭下面的(de)停滯金(jin)屬(shu)留在穿(chuan)孔(kong)(kong)余(yu)料(liao)(liao)的(de)上端面。穿(chuan)孔(kong)(kong)余(yu)料(liao)(liao)進(jin)入“封底(di)”剪切環后被切斷。而(er)穿(chuan)孔(kong)(kong)坯料(liao)(liao)的(de)下表(biao)面則(ze)由未變形的(de)金(jin)屬(shu)組(zu)成。
在(zai)穿孔過程中,由于穿孔頭下面部(bu)分金(jin)(jin)屬(shu)產生(sheng)最強烈(lie)的(de)變形,導致坯(pi)料中心(xin)部(bu)位(wei)金(jin)(jin)屬(shu)的(de)嚴重不(bu)均勻變形。穿孔空心(xin)坯(pi)內表面金(jin)(jin)屬(shu)強烈(lie)的(de)不(bu)均勻變形是最容易產生(sheng)缺(que)陷的(de)部(bu)位(wei)。因而,往往在(zai)低塑性材料管材生(sheng)產時,穿孔空心(xin)坯(pi)在(zai)擠壓(ya)前,會進(jin)行冷卻、酸洗、檢查及磨修工序。
穿(chuan)(chuan)(chuan)孔(kong)(kong)時(shi),玻(bo)璃潤滑(hua)(hua)劑的(de)(de)(de)(de)(de)使(shi)(shi)(shi)用,使(shi)(shi)(shi)穿(chuan)(chuan)(chuan)孔(kong)(kong)頭(tou)(tou)下面的(de)(de)(de)(de)(de)金屬(shu)停滯(zhi)區(qu)大大減小(xiao),甚至(zhi)良好的(de)(de)(de)(de)(de)潤滑(hua)(hua)劑可以完全取代金屬(shu)停滯(zhi)區(qu)的(de)(de)(de)(de)(de)體積(ji)。特別(bie)是下端面凹(ao)形(xing)穿(chuan)(chuan)(chuan)孔(kong)(kong)頭(tou)(tou)(圖2-28)的(de)(de)(de)(de)(de)采(cai)用,使(shi)(shi)(shi)穿(chuan)(chuan)(chuan)孔(kong)(kong)頭(tou)(tou)的(de)(de)(de)(de)(de)凹(ao)形(xing)端面的(de)(de)(de)(de)(de)接(jie)觸處成為(wei)潤滑(hua)(hua)劑的(de)(de)(de)(de)(de)“特殊儲(chu)存器”,潤滑(hua)(hua)劑的(de)(de)(de)(de)(de)熔化部分(fen)在(zai)穿(chuan)(chuan)(chuan)孔(kong)(kong)頭(tou)(tou)的(de)(de)(de)(de)(de)周圍及其與變形(xing)金屬(shu)之間被均勻地擠出一(yi)層玻(bo)璃潤滑(hua)(hua)劑,潤滑(hua)(hua)穿(chuan)(chuan)(chuan)孔(kong)(kong)頭(tou)(tou)和(he)坯(pi)料(liao)(liao)的(de)(de)(de)(de)(de)內(nei)表面,以降低摩擦系數,使(shi)(shi)(shi)剪切變形(xing)限制在(zai)潤滑(hua)(hua)層的(de)(de)(de)(de)(de)范(fan)圍內(nei),從而降低了不銹鋼(gang)管坯(pi)內(nei)表面產生(sheng)缺(que)陷的(de)(de)(de)(de)(de)可能性,尤其是對于長坯(pi)料(liao)(liao)的(de)(de)(de)(de)(de)生(sheng)產效果更為(wei)顯(xian)著。
同(tong)樣(yang),坯(pi)料(liao)的(de)(de)(de)外(wai)涂(tu)粉(fen)為(wei)坯(pi)料(liao)金屬與(yu)穿孔筒(tong)內襯的(de)(de)(de)內表面接(jie)觸(chu)提(ti)供了潤滑條件(jian),使(shi)穿孔時的(de)(de)(de)摩擦力和不均勻變(bian)形(xing)區減小,有利于(yu)空心坯(pi)表面質量(liang)的(de)(de)(de)提(ti)高。
2. 預鉆孔坯料擴孔時的金屬流(liu)動
預(yu)鉆(zhan)孔坯(pi)(pi)料的(de)擴孔過(guo)程沒有坯(pi)(pi)料的(de)鐓粗(cu)工序。
擴(kuo)(kuo)(kuo)(kuo)孔(kong)(kong)過程開(kai)始(shi)時(shi),在特殊形狀擴(kuo)(kuo)(kuo)(kuo)孔(kong)(kong)頭(tou)向(xiang)下(xia)移動的(de)(de)(de)作用下(xia),坯(pi)料(liao)金屬開(kai)始(shi)塑(su)性流動。金屬首先向(xiang)側面(mian)擴(kuo)(kuo)(kuo)(kuo)張流動,至充滿坯(pi)料(liao)和穿孔(kong)(kong)筒內表面(mian)之間的(de)(de)(de)間隙。然后向(xiang)上流動。當擴(kuo)(kuo)(kuo)(kuo)孔(kong)(kong)時(shi)的(de)(de)(de)擴(kuo)(kuo)(kuo)(kuo)徑力轉變為剪切(qie)力的(de)(de)(de)瞬間,進行擴(kuo)(kuo)(kuo)(kuo)孔(kong)(kong)余料(liao)的(de)(de)(de)切(qie)除(chu),結束整個擴(kuo)(kuo)(kuo)(kuo)孔(kong)(kong)過程。
擴孔過(guo)程中各階段金屬的流動如圖3-29所示。

二、坯料穿(擴(kuo))孔時變形力的(de)確(que)定
1. 坯料穿孔時(shi)鐓粗力的(de)確定
表述在穿孔筒(tong)中鐓壓(ya)圓柱體的(de)(de)(de)(de)(de)公(gong)(gong)式(shi)尚無(wu),采用Siebel自由鍛(duan)(duan)公(gong)(gong)式(shi)來確定(ding)坯(pi)料的(de)(de)(de)(de)(de)鐓粗(cu)力。一般模(mo)鍛(duan)(duan)的(de)(de)(de)(de)(de)壓(ya)力為(wei)自由鍛(duan)(duan)壓(ya)力的(de)(de)(de)(de)(de)一倍(bei)。根據阿亨工業(ye)大(da)學塑性變(bian)形(xing)研究(jiu)所的(de)(de)(de)(de)(de)試驗指出,鍛(duan)(duan)壓(ya)力模(mo)鍛(duan)(duan)比自由鍛(duan)(duan)大(da)一倍(bei)以上。坯(pi)料穿孔時鐓粗(cu)力的(de)(de)(de)(de)(de)計算公(gong)(gong)式(shi)如(ru)下:

尼科波(bo)爾南方鋼(gang)管廠計算敦粗力的簡單(dan)公式:


2. 實心坯料穿(chuan)孔(kong)時(shi)穿(chuan)孔(kong)力的(de)確定
實(shi)心坯(pi)料穿孔時(shi)的計(ji)算公式如下:

b. 尼科波爾南方鋼管廠(chang)確定穿(chuan)孔力的公(gong)式:


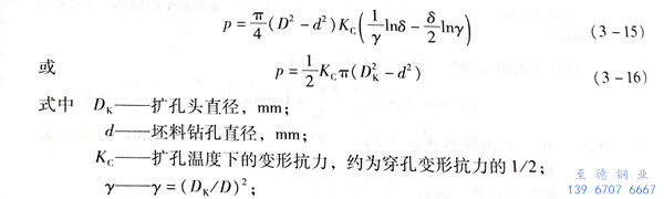
3. 預鉆孔(kong)坯料擴孔(kong)時擴孔(kong)力的確定
預鉆孔坯料擴孔時擴孔力的計算公式如下:


尼(ni)科波(bo)爾(er)南方鋼(gang)管廠的經(jing)驗認(ren)為:
a. 在預鉆(zhan)孔(kong)坯(pi)料擴(kuo)孔(kong)時,坯(pi)料在穿孔(kong)機上不(bu)進行鐓粗。其(qi)延伸系數取(qu)大于1,但(dan)比(bi)實心坯(pi)料穿孔(kong)時小。
b. 擴孔力可(ke)以(yi)按(an)實心坯(pi)料(liao)穿(chuan)孔的(de)公式來計(ji)算(suan),其大(da)小取為計(ji)算(suan)值的(de)25%~30%.

