1. 用PN標記的整(zheng)體鋼制香蕉app免費視頻在線觀看:管法蘭的香蕉app免費視頻在線觀看:密封面型式及適(shi)用的公稱壓力和公稱尺寸范(fan)圍見表 6-1。

2. 用PN標記的整體鋼制管法蘭(lan)的結構型式包括平面型、突面型、凹凸面型、榫槽面型、O形圈面型及環連接面型等6種,如圖6-1~圖6-6所示。


3. 用PN標記的(de)整體鋼制管(guan)法蘭密封(feng)尺寸(cun)見(jian)圖6-2~圖6-5及表6-2。用PN標記的(de)法蘭環連接面尺寸(cun)見(jian)圖6-6及表6-3.


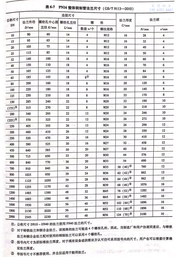
4. 用(yong)PN 標(biao)記(ji)的(de)整體鋼制管(guan)法蘭的(de)結構尺(chi)寸(cun)見(jian)圖 6-1 ~ 圖 6-6 及表 6-4 ~表 6-15。




注(zhu):公稱(cheng)尺(chi)寸(cun)DN10~DN40的(de)法(fa)蘭(lan)(lan)(lan)使用PN40法(fa)蘭(lan)(lan)(lan)的(de)尺(chi)寸(cun);公稱(cheng)尺(chi)寸(cun)DN50~DN150的(de)法(fa)蘭(lan)(lan)(lan)使用PN16法(fa)蘭(lan)(lan)(lan)的(de)尺(chi)寸(cun)。
①. 對于鑄鐵法(fa)(fa)(fa)蘭和銅(tong)合(he)金法(fa)(fa)(fa)蘭,該規格的法(fa)(fa)(fa)蘭可能是4個螺(luo)(luo)栓(shuan)孔(kong)的,因(yin)此(ci),當制造(zao)廠(chang)和用戶(hu)協(xie)商同意后,與(yu)鑄鐵法(fa)(fa)(fa)蘭和銅(tong)合(he)金法(fa)(fa)(fa)蘭配(pei)對使用的鋼制法(fa)(fa)(fa)蘭可以采用4個螺(luo)(luo)栓(shuan)孔(kong)。
②. 括(kuo)號內(nei)尺寸為原標準法(fa)蘭厚度(du),對于現(xian)有設(she)備或供需雙方認可(ke)(ke)仍可(ke)(ke)采用括(kuo)號內(nei)的尺寸,用戶也可(ke)(ke)以根據計算確定法(fa)蘭厚度(du)。
③. 帶括號尺寸不推薦使(shi)用(yong),并且(qie)僅(jin)適用(yong)于船用(yong)法蘭(lan)。

注:公稱尺(chi)寸DN10~DN40的(de)法蘭使用PN40法蘭的(de)尺(chi)寸。
①. 對于鑄鐵(tie)法(fa)(fa)蘭(lan)和銅合金法(fa)(fa)蘭(lan),該規格的法(fa)(fa)蘭(lan)可(ke)能(neng)是4個螺栓孔的,因(yin)此,當制造(zao)廠(chang)和用戶(hu)協商同意(yi)后,與鑄鐵(tie)法(fa)(fa)蘭(lan)和銅合金法(fa)(fa)蘭(lan)配對使用的鋼(gang)制法(fa)(fa)蘭(lan)可(ke)以采用4個螺栓孔。
②. 括號內(nei)尺寸為原標準法蘭(lan)(lan)厚(hou)度(du)(du),對于(yu)現有設備或供(gong)需雙方認(ren)可(ke)仍可(ke)采用括號內(nei)的尺寸,用戶也可(ke)以根(gen)據計算(suan)確(que)定(ding)法蘭(lan)(lan)厚(hou)度(du)(du)。
③. 帶括號(hao)尺寸不推薦(jian)使用,并且(qie)僅適用于(yu)船用法蘭。

注(zhu):公(gong)稱尺寸DN10~DN150的(de)法蘭使(shi)用PN40法蘭的(de)尺寸。
①. 括號內尺(chi)寸為原標準法(fa)蘭(lan)(lan)厚度(du),對于現有設備或供需雙方(fang)認可(ke)仍可(ke)采用(yong)括號內的尺(chi)寸,用(yong)戶也可(ke)以根據(ju)計算確定法(fa)蘭(lan)(lan)厚度(du)。
②. 帶括號尺(chi)寸不推薦使用(yong),并且僅適(shi)用(yong)于船用(yong)法蘭(lan)。





