球墨(mo)鑄(zhu)鐵承接管件結構型(xing)式與(yu)尺寸如下:
盤承套(tao)管型式見圖6-19a),尺寸(cun)(cun)見表6-19;盤承短管型式見圖6-19b),尺寸(cun)(cun)見表6-19。


盤插型式見圖6-20a),尺寸見表6-20;承套型式見圖6-20b),尺寸(cun)見表6-20;


雙承和承插90°(1/4)彎管型(xing)式見圖6-21,尺寸(cun)見表6-21。雙承和承插45°(1/8)彎管型式見圖6-22,尺寸見表(biao)6-21。


雙承和承插22°30'(1/16)彎管型式見圖6-23,尺寸見表6-22。雙承(cheng)和(he)承(cheng)插11°15'(1/32)彎管型式見(jian)圖6-24,尺寸(cun)見(jian)表(biao)6-22。


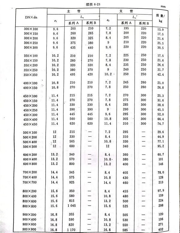
全(quan)承三通(tong)型(xing)式見圖 6-25 ,尺寸見表(biao) 6-23 。



雙承單支盤(pan)三通型式見圖 6-26 ,尺寸(cun)見表 6-24 。



雙承漸(jian)縮管型式見圖 6-27 ,尺(chi)寸見表 6-25 。


雙承(cheng)一絲(si)丁(ding)字管型式見圖 6-28 ,尺(chi)寸見表 6-26 。

雙承(cheng)和承(cheng)插乙字(zi)管型式見圖 6-29 ,尺寸見表 6-27 。

雙承丁字管型(xing)式見圖 6-30 ,尺(chi)寸見表 6-28 。


全承四(si)通(tong)型(xing)式見圖 6-31 ,尺寸(cun)見表 6-29 。


插堵型式見圖 6-32 ,尺寸見表(biao) 6-30 。

滑入式(shi)和機械式(shi)承(cheng)堵型式(shi)見圖 6-33 ,尺寸見表 6-31 。



