不銹鋼法蘭墊(dian)片(pian)(pian)的主(zhu)要(yao)參數包括墊(dian)片(pian)(pian)的有效密封寬度、墊(dian)片(pian)(pian)的性(xing)能參數、墊(dian)片(pian)(pian)公(gong)稱(cheng)通徑或公(gong)稱(cheng)尺(chi)寸(cun)及(ji)墊(dian)片(pian)(pian)公(gong)稱(cheng)壓(ya)力。
一、不(bu)銹鋼法蘭墊片的(de)有(you)效密封寬度
法蘭密封接頭中,墊片的有效密封寬度是作為計算法蘭螺栓載荷必不可少的一個特性參數,通常用符號b表示,其單位以mm計。不銹(xiu)鋼法蘭墊片的有效密封寬度與墊片基本密封寬度有關。墊片基本密封寬度用符號b0表示,其單位以mm計。
當選定墊片尺寸后,可按表11-1確定墊片接觸面寬度和墊片基本密封寬度b0。墊片接觸面寬度以符號N表示,其單位以mm計。墊片基本密封寬度b0見表11-1。


二、不銹鋼法蘭墊片性能參數
不銹鋼法蘭墊片的性能參數是指規(gui)范(fan)設計法(即ASME《鍋(guo)爐和(he)壓力容器規(gui)范(fan)》中(zhong)所推薦(jian)的螺栓(shuan)法蘭連接(jie)的規(gui)范(fan)設計法)中(zhong)所涉及的“y”及“m”兩個密封系數。
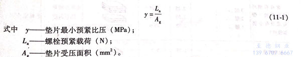
1. 不銹鋼法蘭墊片最小預緊比壓
在法蘭(lan)密封接(jie)頭中,壓(ya)(ya)緊墊(dian)(dian)(dian)片(pian)所(suo)需的(de)力(li)使墊(dian)(dian)(dian)片(pian)材料(liao)產生變形從而填滿法蘭(lan)密封面間的(de)微(wei)間隙。壓(ya)(ya)緊墊(dian)(dian)(dian)片(pian)所(suo)需的(de)最(zui)小應(ying)(ying)力(li)稱為墊(dian)(dian)(dian)片(pian)最(zui)小預緊比壓(ya)(ya),通常(chang)以符號(hao)y表示。墊(dian)(dian)(dian)片(pian)最(zui)小預緊比壓(ya)(ya)是指在安裝過程中沒有內壓(ya)(ya)的(de)情況(kuang)下,墊(dian)(dian)(dian)片(pian)接(jie)觸面積上的(de)壓(ya)(ya)應(ying)(ying)力(li),其表達式為:

2. 不銹(xiu)鋼法蘭墊片系數(shu)
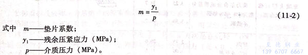
壓緊(jin)墊片時(shi),螺栓(shuan)伸長,當介質(zhi)(zhi)壓力作(zuo)用后,螺栓(shuan)由(you)于受(shou)介質(zhi)(zhi)壓力作(zuo)用產(chan)生(sheng)的載(zai)荷(he)而更加伸長,致(zhi)使兩密封法蘭面之間的間隙增大(da),使墊片的應力降(jiang)低,產(chan)生(sheng)泄漏。
為了(le)保(bao)證工作狀態(tai)(tai)下(xia)的(de)(de)密封性能(neng),墊片上應(ying)有一定的(de)(de)比壓(ya),即工作狀態(tai)(tai)下(xia)的(de)(de)壓(ya)緊(jin)比壓(ya),或稱(cheng)殘(can)余壓(ya)緊(jin)應(ying)力,以符號(hao)y1表示。墊片系數定義(yi)為工作狀態(tai)(tai)下(xia)墊片上的(de)(de)殘(can)余壓(ya)緊(jin)應(ying)力與介質壓(ya)力之比值,其表達式為:

不銹(xiu)鋼法(fa)蘭墊片(pian)(pian)最(zui)小預緊比(bi)壓和墊片(pian)(pian)系數(shu)(shu)由(you)實驗確定(ding),它們是僅與墊片(pian)(pian)材料及法(fa)蘭密封面形式(shi)有(you)關的(de)特(te)(te)性參(can)數(shu)(shu)。規范墊片(pian)(pian)特(te)(te)性參(can)數(shu)(shu)或墊片(pian)(pian)性能參(can)數(shu)(shu)m及y值見表11-2。



三、不銹鋼法蘭墊片(pian)公稱(cheng)通徑(jing)及公稱(cheng)壓力
公(gong)(gong)稱(cheng)(cheng)(cheng)通徑及公(gong)(gong)稱(cheng)(cheng)(cheng)壓(ya)力(li)(li)是(shi)(shi)(shi)墊(dian)(dian)(dian)片(pian)的(de)(de)配套參(can)(can)數。公(gong)(gong)稱(cheng)(cheng)(cheng)通徑或公(gong)(gong)稱(cheng)(cheng)(cheng)尺寸(cun)(見GB/T 1047-2005)是(shi)(shi)(shi)管路附件的(de)(de)一(yi)(yi)個基本參(can)(can)數,它并不是(shi)(shi)(shi)某一(yi)(yi)個實際結構尺寸(cun),而僅(jin)僅(jin)是(shi)(shi)(shi)與(yu)制造尺寸(cun)密切相關(guan)(guan)的(de)(de)經過(guo)圓(yuan)整(zheng)(zheng)后(hou)的(de)(de)一(yi)(yi)個名(ming)義尺寸(cun),僅(jin)作為一(yi)(yi)種(zhong)標志,其標記(ji)方法(fa)(fa)是(shi)(shi)(shi)在代(dai)號“DN”后(hou)緊跟著(zhu)一(yi)(yi)個適(shi)當的(de)(de)數字(zi)。墊(dian)(dian)(dian)片(pian)公(gong)(gong)稱(cheng)(cheng)(cheng)通徑與(yu)法(fa)(fa)蘭(lan)公(gong)(gong)稱(cheng)(cheng)(cheng)通徑相同;公(gong)(gong)稱(cheng)(cheng)(cheng)壓(ya)力(li)(li)(見GB/T 1048-2005)是(shi)(shi)(shi)指與(yu)管路附件(如法(fa)(fa)蘭(lan)、管件、閥門(men)等)機械強度有關(guan)(guan)的(de)(de)設計給定壓(ya)力(li)(li),是(shi)(shi)(shi)一(yi)(yi)個經過(guo)圓(yuan)整(zheng)(zheng)后(hou)的(de)(de)名(ming)義值,也是(shi)(shi)(shi)僅(jin)作為一(yi)(yi)種(zhong)標志,其標記(ji)方法(fa)(fa)是(shi)(shi)(shi)在代(dai)號“PN”后(hou)緊跟一(yi)(yi)個適(shi)當的(de)(de)數字(zi)。墊(dian)(dian)(dian)片(pian)公(gong)(gong)稱(cheng)(cheng)(cheng)壓(ya)力(li)(li)亦(yi)與(yu)法(fa)(fa)蘭(lan)公(gong)(gong)稱(cheng)(cheng)(cheng)壓(ya)力(li)(li)相同。

