目前,研究不銹鋼應力腐蝕概率的模型有兩類,隨機變量模型和隨機過程模型。
1. 隨(sui)機變(bian)量模型
該(gai)模型是(shi)在確(que)定(ding)論基礎(chu)上發展起來的(de)(de)(de)。首(shou)先確(que)定(ding)系統(tong)退化(hua)特(te)征值,然后再建立特(te)征值與相(xiang)關變(bian)(bian)(bian)(bian)(bian)量(liang)(liang)(liang)(liang)(liang)的(de)(de)(de)關系式(shi),再將公式(shi)中的(de)(de)(de)變(bian)(bian)(bian)(bian)(bian)量(liang)(liang)(liang)(liang)(liang)看成隨(sui)(sui)(sui)(sui)(sui)機(ji)變(bian)(bian)(bian)(bian)(bian)量(liang)(liang)(liang)(liang)(liang),最(zui)后通過(guo)相(xiang)應的(de)(de)(de)計(ji)算方法(fa)(fa)得出(chu)結果。隨(sui)(sui)(sui)(sui)(sui)機(ji)變(bian)(bian)(bian)(bian)(bian)量(liang)(liang)(liang)(liang)(liang)是(shi)影響特(te)征值的(de)(de)(de)一(yi)(yi)些重要(yao)物理量(liang)(liang)(liang)(liang)(liang),可(ke)以(yi)(yi)(yi)是(shi)自(zi)變(bian)(bian)(bian)(bian)(bian)量(liang)(liang)(liang)(liang)(liang),也可(ke)以(yi)(yi)(yi)是(shi)因(yin)變(bian)(bian)(bian)(bian)(bian)量(liang)(liang)(liang)(liang)(liang),還可(ke)以(yi)(yi)(yi)是(shi)無關變(bian)(bian)(bian)(bian)(bian)量(liang)(liang)(liang)(liang)(liang)。隨(sui)(sui)(sui)(sui)(sui)機(ji)變(bian)(bian)(bian)(bian)(bian)量(liang)(liang)(liang)(liang)(liang)可(ke)分(fen)(fen)(fen)(fen)(fen)為離散型隨(sui)(sui)(sui)(sui)(sui)機(ji)變(bian)(bian)(bian)(bian)(bian)量(liang)(liang)(liang)(liang)(liang)和連(lian)續(xu)型隨(sui)(sui)(sui)(sui)(sui)機(ji)變(bian)(bian)(bian)(bian)(bian)量(liang)(liang)(liang)(liang)(liang),離散型隨(sui)(sui)(sui)(sui)(sui)機(ji)變(bian)(bian)(bian)(bian)(bian)量(liang)(liang)(liang)(liang)(liang)具(ju)有(you)分(fen)(fen)(fen)(fen)(fen)布(bu)律,連(lian)續(xu)型隨(sui)(sui)(sui)(sui)(sui)機(ji)變(bian)(bian)(bian)(bian)(bian)量(liang)(liang)(liang)(liang)(liang)具(ju)有(you)概(gai)(gai)(gai)率(lv)(lv)(lv)(lv)(lv)密度(du)函(han)數(shu)(shu)(shu)f(x)以(yi)(yi)(yi)及概(gai)(gai)(gai)率(lv)(lv)(lv)(lv)(lv)分(fen)(fen)(fen)(fen)(fen)布(bu)函(han)數(shu)(shu)(shu)F(x),分(fen)(fen)(fen)(fen)(fen)布(bu)律和分(fen)(fen)(fen)(fen)(fen)布(bu)函(han)數(shu)(shu)(shu)可(ke)分(fen)(fen)(fen)(fen)(fen)別描述不同類(lei)(lei)型隨(sui)(sui)(sui)(sui)(sui)機(ji)變(bian)(bian)(bian)(bian)(bian)量(liang)(liang)(liang)(liang)(liang)的(de)(de)(de)概(gai)(gai)(gai)率(lv)(lv)(lv)(lv)(lv)特(te)性,對于研(yan)(yan)究應力腐蝕隨(sui)(sui)(sui)(sui)(sui)機(ji)性中的(de)(de)(de)隨(sui)(sui)(sui)(sui)(sui)機(ji)變(bian)(bian)(bian)(bian)(bian)量(liang)(liang)(liang)(liang)(liang)一(yi)(yi)般(ban)都(dou)是(shi)連(lian)續(xu)型的(de)(de)(de),如材料性能、環(huan)境中離子(zi)濃度(du)、溫(wen)度(du)、載荷(he)等。確(que)定(ding)隨(sui)(sui)(sui)(sui)(sui)機(ji)變(bian)(bian)(bian)(bian)(bian)量(liang)(liang)(liang)(liang)(liang)分(fen)(fen)(fen)(fen)(fen)布(bu)類(lei)(lei)型以(yi)(yi)(yi)及參(can)數(shu)(shu)(shu)是(shi)概(gai)(gai)(gai)率(lv)(lv)(lv)(lv)(lv)研(yan)(yan)究的(de)(de)(de)重要(yao)內容,它(ta)們(men)將直(zhi)接(jie)影響失效概(gai)(gai)(gai)率(lv)(lv)(lv)(lv)(lv)的(de)(de)(de)計(ji)算結果及其(qi)精確(que)度(du)。因(yin)此,隨(sui)(sui)(sui)(sui)(sui)機(ji)變(bian)(bian)(bian)(bian)(bian)量(liang)(liang)(liang)(liang)(liang)的(de)(de)(de)概(gai)(gai)(gai)率(lv)(lv)(lv)(lv)(lv)分(fen)(fen)(fen)(fen)(fen)布(bu)特(te)性研(yan)(yan)究是(shi)一(yi)(yi)項基礎(chu)性的(de)(de)(de)研(yan)(yan)究工作(zuo)。一(yi)(yi)般(ban)由(you)觀測數(shu)(shu)(shu)據確(que)定(ding)隨(sui)(sui)(sui)(sui)(sui)機(ji)變(bian)(bian)(bian)(bian)(bian)量(liang)(liang)(liang)(liang)(liang)概(gai)(gai)(gai)率(lv)(lv)(lv)(lv)(lv)分(fen)(fen)(fen)(fen)(fen)布(bu)類(lei)(lei)型,并在此基礎(chu)上確(que)定(ding)其(qi)參(can)數(shu)(shu)(shu);當由(you)已有(you)的(de)(de)(de)觀測數(shu)(shu)(shu)據難以(yi)(yi)(yi)確(que)定(ding)該(gai)隨(sui)(sui)(sui)(sui)(sui)機(ji)變(bian)(bian)(bian)(bian)(bian)量(liang)(liang)(liang)(liang)(liang)的(de)(de)(de)理論分(fen)(fen)(fen)(fen)(fen)布(bu)形式(shi)時,則定(ding)義一(yi)(yi)個實驗分(fen)(fen)(fen)(fen)(fen)布(bu),再進行擬合(he)檢驗,最(zui)后根據有(you)限比較法(fa)(fa)選擇(ze)其(qi)中的(de)(de)(de)最(zui)優(you)概(gai)(gai)(gai)率(lv)(lv)(lv)(lv)(lv)分(fen)(fen)(fen)(fen)(fen)布(bu)類(lei)(lei)型作(zuo)為參(can)數(shu)(shu)(shu)的(de)(de)(de)概(gai)(gai)(gai)率(lv)(lv)(lv)(lv)(lv)分(fen)(fen)(fen)(fen)(fen)布(bu)類(lei)(lei)型。正(zheng)態分(fen)(fen)(fen)(fen)(fen)布(bu)、Weibull分(fen)(fen)(fen)(fen)(fen)布(bu)、指數(shu)(shu)(shu)分(fen)(fen)(fen)(fen)(fen)布(bu)以(yi)(yi)(yi)及Poisson(泊松)分(fen)(fen)(fen)(fen)(fen)布(bu)等都(dou)是(shi)應力腐蝕概(gai)(gai)(gai)率(lv)(lv)(lv)(lv)(lv)分(fen)(fen)(fen)(fen)(fen)析(xi)中常用(yong)的(de)(de)(de)概(gai)(gai)(gai)率(lv)(lv)(lv)(lv)(lv)分(fen)(fen)(fen)(fen)(fen)布(bu)類(lei)(lei)型。
參數(shu)(shu)估計(ji)(ji)的(de)(de)(de)(de)(de)方(fang)法(fa)(fa)(fa)有矩估計(ji)(ji)法(fa)(fa)(fa)、最(zui)大(da)(極大(da))似然法(fa)(fa)(fa)、最(zui)小二乘(cheng)法(fa)(fa)(fa)和貝葉斯估計(ji)(ji)法(fa)(fa)(fa),其中矩估計(ji)(ji)法(fa)(fa)(fa)、最(zui)大(da)(極大(da))似然法(fa)(fa)(fa)最(zui)為(wei)常用(yong)(yong)。矩估計(ji)(ji)法(fa)(fa)(fa)對(dui)任(ren)何總(zong)體都(dou)可(ke)以用(yong)(yong),不需要(yao)事先知道總(zong)體的(de)(de)(de)(de)(de)分(fen)(fen)(fen)(fen)布(bu)(bu)(bu),方(fang)法(fa)(fa)(fa)簡(jian)單,但(dan)是(shi),變量分(fen)(fen)(fen)(fen)布(bu)(bu)(bu)特(te)征沒有得到(dao)有效使用(yong)(yong),一(yi)般情況(kuang)下,該方(fang)法(fa)(fa)(fa)的(de)(de)(de)(de)(de)估計(ji)(ji)量有多個。最(zui)大(da)似然法(fa)(fa)(fa)是(shi)在(zai)總(zong)體類型已知條件下使用(yong)(yong)的(de)(de)(de)(de)(de)一(yi)種參數(shu)(shu)估計(ji)(ji)方(fang)法(fa)(fa)(fa),認為(wei)未(wei)(wei)知參數(shu)(shu)的(de)(de)(de)(de)(de)估計(ji)(ji)值應使樣(yang)本觀(guan)測值出現的(de)(de)(de)(de)(de)概(gai)率(lv)最(zui)大(da)。有些(xie)隨機參數(shu)(shu)總(zong)體服從(cong)什(shen)么分(fen)(fen)(fen)(fen)布(bu)(bu)(bu)是(shi)未(wei)(wei)知的(de)(de)(de)(de)(de),我們要(yao)對(dui)總(zong)體是(shi)否服從(cong)某種分(fen)(fen)(fen)(fen)布(bu)(bu)(bu)作檢(jian)(jian)(jian)(jian)驗(yan)(yan)(yan)(yan),這樣(yang)的(de)(de)(de)(de)(de)檢(jian)(jian)(jian)(jian)驗(yan)(yan)(yan)(yan)稱為(wei)分(fen)(fen)(fen)(fen)布(bu)(bu)(bu)的(de)(de)(de)(de)(de)檢(jian)(jian)(jian)(jian)驗(yan)(yan)(yan)(yan)。常用(yong)(yong)的(de)(de)(de)(de)(de)樣(yang)本概(gai)率(lv)分(fen)(fen)(fen)(fen)布(bu)(bu)(bu)檢(jian)(jian)(jian)(jian)驗(yan)(yan)(yan)(yan)方(fang)法(fa)(fa)(fa)主要(yao)有:χ2檢(jian)(jian)(jian)(jian)驗(yan)(yan)(yan)(yan)、J-B檢(jian)(jian)(jian)(jian)驗(yan)(yan)(yan)(yan)、A-D檢(jian)(jian)(jian)(jian)驗(yan)(yan)(yan)(yan)、K-S檢(jian)(jian)(jian)(jian)驗(yan)(yan)(yan)(yan)以及正態分(fen)(fen)(fen)(fen)布(bu)(bu)(bu)的(de)(de)(de)(de)(de)概(gai)率(lv)紙檢(jian)(jian)(jian)(jian)驗(yan)(yan)(yan)(yan)等。χ2檢(jian)(jian)(jian)(jian)驗(yan)(yan)(yan)(yan)法(fa)(fa)(fa)可(ke)適(shi)用(yong)(yong)于離散(san)型或連續型分(fen)(fen)(fen)(fen)布(bu)(bu)(bu),是(shi)一(yi)種應用(yong)(yong)比較廣泛(fan)的(de)(de)(de)(de)(de)分(fen)(fen)(fen)(fen)布(bu)(bu)(bu)檢(jian)(jian)(jian)(jian)驗(yan)(yan)(yan)(yan)法(fa)(fa)(fa)。
2. 隨機過(guo)程模型
隨(sui)(sui)(sui)(sui)機(ji)(ji)(ji)(ji)(ji)(ji)過(guo)(guo)程(cheng)(cheng)(cheng)按(an)統計特(te)性(xing)(xing)可分(fen)為平(ping)穩(wen)隨(sui)(sui)(sui)(sui)機(ji)(ji)(ji)(ji)(ji)(ji)過(guo)(guo)程(cheng)(cheng)(cheng)和(he)(he)非平(ping)穩(wen)隨(sui)(sui)(sui)(sui)機(ji)(ji)(ji)(ji)(ji)(ji)過(guo)(guo)程(cheng)(cheng)(cheng),按(an)照記憶(yi)特(te)性(xing)(xing)可分(fen)為純(chun)粹隨(sui)(sui)(sui)(sui)機(ji)(ji)(ji)(ji)(ji)(ji)過(guo)(guo)程(cheng)(cheng)(cheng)、馬爾(er)科夫隨(sui)(sui)(sui)(sui)機(ji)(ji)(ji)(ji)(ji)(ji)過(guo)(guo)程(cheng)(cheng)(cheng)和(he)(he)獨(du)立增量隨(sui)(sui)(sui)(sui)機(ji)(ji)(ji)(ji)(ji)(ji)過(guo)(guo)程(cheng)(cheng)(cheng);按(an)概率分(fen)布函數可分(fen)為高斯隨(sui)(sui)(sui)(sui)機(ji)(ji)(ji)(ji)(ji)(ji)過(guo)(guo)程(cheng)(cheng)(cheng)和(he)(he)非高斯隨(sui)(sui)(sui)(sui)機(ji)(ji)(ji)(ji)(ji)(ji)過(guo)(guo)程(cheng)(cheng)(cheng)。平(ping)穩(wen)隨(sui)(sui)(sui)(sui)機(ji)(ji)(ji)(ji)(ji)(ji)過(guo)(guo)程(cheng)(cheng)(cheng)是(shi)一類基(ji)本的、重(zhong)要的隨(sui)(sui)(sui)(sui)機(ji)(ji)(ji)(ji)(ji)(ji)過(guo)(guo)程(cheng)(cheng)(cheng),實際工程(cheng)(cheng)(cheng)領域所遇到(dao)的很(hen)多概率問題(ti)都可以認為是(shi)平(ping)穩(wen)隨(sui)(sui)(sui)(sui)機(ji)(ji)(ji)(ji)(ji)(ji)過(guo)(guo)程(cheng)(cheng)(cheng),平(ping)穩(wen)隨(sui)(sui)(sui)(sui)機(ji)(ji)(ji)(ji)(ji)(ji)過(guo)(guo)程(cheng)(cheng)(cheng)的統計特(te)性(xing)(xing)不隨(sui)(sui)(sui)(sui)時間的變化(hua)而發生(sheng)變化(hua),也就是(shi)說,對于時間t的任(ren)意n個數值t1,t2,···,tn和(he)(he)任(ren)意實數r,如果隨(sui)(sui)(sui)(sui)機(ji)(ji)(ji)(ji)(ji)(ji)過(guo)(guo)程(cheng)(cheng)(cheng)X(t)的n維分(fen)布函數滿(man)足如下關系式,則X(t)稱為平(ping)穩(wen)隨(sui)(sui)(sui)(sui)機(ji)(ji)(ji)(ji)(ji)(ji)過(guo)(guo)程(cheng)(cheng)(cheng)。

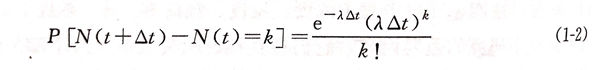
在研究(jiu)應力腐蝕隨機(ji)(ji)性(xing)問題中(zhong),泊松過(guo)程和馬爾科夫過(guo)程是常用(yong)的兩種隨機(ji)(ji)過(guo)程:
①. 泊松(song)過(guo)(guo)程(cheng)是(shi)(shi)一種重要的獨立(li)增量過(guo)(guo)程(cheng),是(shi)(shi)服從泊松(song)分布的離散隨機過(guo)(guo)程(cheng)。其應滿足兩個條件。不同(tong)時(shi)間(jian)區間(jian)內所發生事(shi)件的數(shu)目是(shi)(shi)相(xiang)互獨立(li)的隨機變量;在時(shi)間(jian)區間(jian)[t,t+Δ]內,發生事(shi)件數(shu)目的概率(lv)分布為:

式中,λ為強度因子,表示單位時間內事(shi)件發生(sheng)的平均(jun)數。
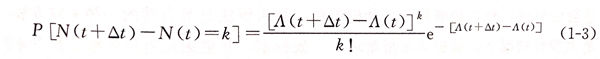
齊次泊松過程(cheng)(homogenous Poison process,HPP)屬(shu)于平穩增量過程(cheng),因(yin)(yin)此,λ為(wei)一正常數(shu),且均值E[X(t)]=λt.平穩增量過程(cheng)有時并不(bu)適合描述腐蝕的(de)(de)實際情況,因(yin)(yin)此引(yin)入了非(fei)齊次泊松過程(cheng)(non-homogenous Poisson process,NHPP).在非(fei)齊次泊松過程(cheng)中,強(qiang)度因(yin)(yin)子成為(wei)一個與事(shi)(shi)(shi)件有關的(de)(de)強(qiang)度函數(shu)λ(t), 代表了不(bu)同起始(shi)時間段事(shi)(shi)(shi)件發生(sheng)的(de)(de)數(shu)目(mu)。事(shi)(shi)(shi)件在Δ時間內發生(sheng)k次的(de)(de)概率為(wei):

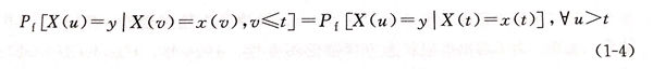
②. 馬爾科夫過程是(shi)一種應用(yong)極為廣(guang)泛的(de)隨機過程,常(chang)用(yong)來研究材料的(de)退化(hua)過程。該過程具有如下特(te)性,在已知目前狀態X(t)條(tiao)件(jian)下,它未來的(de)狀態X(u)(u>t)不依賴(lai)于(yu)以往的(de)狀態X(v)(v<t),只取決于(yu)當前狀態,即:

在隨(sui)機(ji)過程研究中,通常把狀(zhuang)(zhuang)(zhuang)態和(he)時間離散化,這種馬(ma)氏(shi)過程稱(cheng)為(wei)(wei)馬(ma)爾科夫鏈(Markov chain,又稱(cheng)馬(ma)氏(shi)鏈)。對于(yu)馬(ma)爾科夫鏈,最(zui)重要(yao)的是確定所(suo)有(you)狀(zhuang)(zhuang)(zhuang)態間可(ke)見的兩兩轉(zhuan)移概(gai)率(lv),假(jia)設一(yi)個(ge)馬(ma)氏(shi)鏈總共有(you)N個(ge)狀(zhuang)(zhuang)(zhuang)態,則其狀(zhuang)(zhuang)(zhuang)態轉(zhuan)移概(gai)率(lv)為(wei)(wei)一(yi)個(ge)NXN的矩(ju)陣,由(you)一(yi)步轉(zhuan)移概(gai)率(lv)可(ke)以寫出其轉(zhuan)移矩(ju)陣為(wei)(wei):

理(li)論上,馬爾科(ke)夫(fu)過程能很好地滿(man)足工程實際,但在實際應用中會(hui)遇到不少問題(ti),主要有兩(liang)個難點:實驗數(shu)據(ju)的(de)測(ce)量(liang)和轉(zhuan)移概率的(de)計(ji)算(suan)。
3. 失效概(gai)率(lv)計算
根據可靠性理論(lun),把結構(gou)的可靠和失(shi)效兩種工作情況的臨界狀態稱為(wei)(wei)結構(gou)的極限狀態。GB 50153-2008 中對結構(gou)極限狀態的定(ding)義(yi)為(wei)(wei):整個結構(gou)或結構(gou)的某(mou)一(yi)部分超過某(mou)一(yi)特定(ding)狀態就不能(neng)滿足設計規定(ding)的某(mou)一(yi)功(gong)能(neng)要求,此特定(ding)狀態為(wei)(wei)該功(gong)能(neng)的極限狀態。當(dang)結構(gou)喪失(shi)了規定(ding)的功(gong)能(neng)時,就認為(wei)(wei)失(shi)效。廣(guang)義(yi)的“失(shi)效”認為(wei)(wei)只要出現以下三種情況就是失(shi)效:
①. 完(wan)全不能工(gong)作(完(wan)全喪失(shi)功能);
②. 雖仍能(neng)工作,但不能(neng)完全(quan)滿足(zu)規(gui)定的功能(neng)(功能(neng)衰退(tui));
③. 能工作和完(wan)成規定功能,但不(bu)能確保安全,應更換維修(xiu)。
結構的極限狀態方程為:


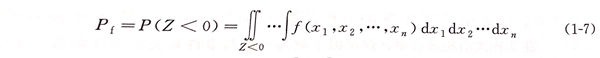
失(shi)效(xiao)概(gai)率的(de)求解(jie)(jie)(jie)方法(fa)(fa)主(zhu)要有三種(zhong):一是(shi)(shi)解(jie)(jie)(jie)析解(jie)(jie)(jie)法(fa)(fa);二(er)是(shi)(shi)近(jin)似(si)解(jie)(jie)(jie)法(fa)(fa);三是(shi)(shi)數(shu)(shu)值解(jie)(jie)(jie)法(fa)(fa),包括數(shu)(shu)值積分法(fa)(fa)和(he)模擬法(fa)(fa)。解(jie)(jie)(jie)析解(jie)(jie)(jie)法(fa)(fa)是(shi)(shi)最直接的(de)一種(zhong)求解(jie)(jie)(jie)方法(fa)(fa),但絕大(da)多數(shu)(shu)情況下,解(jie)(jie)(jie)析解(jie)(jie)(jie)法(fa)(fa)很難求出失(shi)效(xiao)概(gai)率,只能采用(yong)近(jin)似(si)解(jie)(jie)(jie)法(fa)(fa),其中最常用(yong)的(de)是(shi)(shi)一次(ci)二(er)階矩法(fa)(fa)。對于應(ying)力S和(he)強度R都(dou)服從正態分布的(de)情況,采用(yong)一次(ci)二(er)階矩法(fa)(fa)計算可(ke)靠性(xing)系(xi)數(shu)(shu)β,一旦(dan)得到可(ke)靠性(xing)系(xi)數(shu)(shu),失(shi)效(xiao)概(gai)率可(ke)由下式計算:

一(yi)次二(er)(er)階(jie)矩法(fa)存在一(yi)定的(de)局限性(xing): 一(yi)般情形下精度(du)較(jiao)差;極限狀態(tai)方(fang)程(cheng)缺乏(fa)不變(bian)性(xing)。為了(le)解決極限狀態(tai)方(fang)程(cheng)缺乏(fa)不變(bian)性(xing),1974年,Hasofer與Lind 對一(yi)次二(er)(er)階(jie)矩法(fa)進(jin)行了(le)改進(jin),后被(bei)稱為改進(jin)的(de)一(yi)次二(er)(er)階(jie)矩法(fa),也稱為H-L法(fa)。
前兩種方法(fa)(fa)(fa)(fa)都是(shi)(shi)(shi)針(zhen)對(dui)服從正態(tai)分(fen)布(bu)的(de)(de)(de)(de)(de)(de)隨機(ji)變(bian)量,而在實(shi)際工(gong)程問(wen)題(ti)中,很(hen)多隨機(ji)變(bian)量往往為非正態(tai)分(fen)布(bu),針(zhen)對(dui)這種情況,Fiessler等(deng)提出了量正態(tai)分(fen)析法(fa)(fa)(fa)(fa),這種方法(fa)(fa)(fa)(fa)可適(shi)應(ying)于求(qiu)解(jie)(jie)(jie)任(ren)意(yi)分(fen)布(bu)隨機(ji)變(bian)量的(de)(de)(de)(de)(de)(de)失效(xiao)(xiao)(xiao)概(gai)率(lv)。數(shu)值(zhi)(zhi)解(jie)(jie)(jie)法(fa)(fa)(fa)(fa)是(shi)(shi)(shi)求(qiu)解(jie)(jie)(jie)失效(xiao)(xiao)(xiao)概(gai)率(lv)的(de)(de)(de)(de)(de)(de)常(chang)用(yong)(yong)方法(fa)(fa)(fa)(fa),數(shu)值(zhi)(zhi)積(ji)分(fen)法(fa)(fa)(fa)(fa)和解(jie)(jie)(jie)析解(jie)(jie)(jie)法(fa)(fa)(fa)(fa)一樣(yang)(yang),都是(shi)(shi)(shi)直接積(ji)分(fen)求(qiu)解(jie)(jie)(jie)結(jie)構的(de)(de)(de)(de)(de)(de)失效(xiao)(xiao)(xiao)概(gai)率(lv),但是(shi)(shi)(shi)受(shou)(shou)聯(lian)合概(gai)率(lv)密(mi)度函數(shu)復(fu)雜性(xing)的(de)(de)(de)(de)(de)(de)影響,這種方法(fa)(fa)(fa)(fa)的(de)(de)(de)(de)(de)(de)使(shi)用(yong)(yong)范圍受(shou)(shou)到限(xian)制(zhi);而數(shu)值(zhi)(zhi)模(mo)擬法(fa)(fa)(fa)(fa)是(shi)(shi)(shi)解(jie)(jie)(jie)決(jue)復(fu)雜概(gai)率(lv)問(wen)題(ti)的(de)(de)(de)(de)(de)(de)有效(xiao)(xiao)(xiao)方法(fa)(fa)(fa)(fa)。隨著計(ji)算(suan)機(ji)容量和計(ji)算(suan)速度的(de)(de)(de)(de)(de)(de)提高,目(mu)前,數(shu)值(zhi)(zhi)模(mo)擬法(fa)(fa)(fa)(fa)成為概(gai)率(lv)分(fen)析的(de)(de)(de)(de)(de)(de)一種普遍方法(fa)(fa)(fa)(fa),數(shu)值(zhi)(zhi)模(mo)擬的(de)(de)(de)(de)(de)(de)主要作(zuo)用(yong)(yong)是(shi)(shi)(shi)把(ba)概(gai)率(lv)模(mo)型轉化為統計(ji)問(wen)題(ti),以(yi)便可以(yi)采用(yong)(yong)標準統計(ji)學方法(fa)(fa)(fa)(fa)分(fen)析結(jie)果。蒙特卡羅模(mo)擬法(fa)(fa)(fa)(fa)是(shi)(shi)(shi)一種傳統的(de)(de)(de)(de)(de)(de)計(ji)算(suan)方法(fa)(fa)(fa)(fa),它的(de)(de)(de)(de)(de)(de)基本思想(xiang)是(shi)(shi)(shi)用(yong)(yong)基本隨機(ji)變(bian)量的(de)(de)(de)(de)(de)(de)聯(lian)合概(gai)率(lv)密(mi)度函數(shu)進行(xing)抽樣(yang)(yang),用(yong)(yong)落入失效(xiao)(xiao)(xiao)域(yu)內樣(yang)(yang)本點的(de)(de)(de)(de)(de)(de)個數(shu)與總樣(yang)(yang)本點的(de)(de)(de)(de)(de)(de)個數(shu)之比作(zuo)為所定義的(de)(de)(de)(de)(de)(de)失效(xiao)(xiao)(xiao)概(gai)率(lv)。該方法(fa)(fa)(fa)(fa)不(bu)受(shou)(shou)隨機(ji)變(bian)量維數(shu)限(xian)制(zhi)、不(bu)存(cun)在狀態(tai)空間(jian)爆炸問(wen)題(ti),且不(bu)受(shou)(shou)任(ren)何(he)假設約(yue)束,可以(yi)用(yong)(yong)來(lai)解(jie)(jie)(jie)決(jue)高維動態(tai)失效(xiao)(xiao)(xiao)概(gai)率(lv)的(de)(de)(de)(de)(de)(de)求(qiu)解(jie)(jie)(jie)難(nan)題(ti),當抽樣(yang)(yang)試驗次數(shu)足夠多時,近似解(jie)(jie)(jie)的(de)(de)(de)(de)(de)(de)精確度高,是(shi)(shi)(shi)目(mu)前應(ying)用(yong)(yong)最多的(de)(de)(de)(de)(de)(de)一種數(shu)值(zhi)(zhi)模(mo)擬方法(fa)(fa)(fa)(fa)。

