應力腐蝕可(ke)能會引起設(she)備(bei)的(de)(de)(de)泄(xie)(xie)(xie)漏、斷裂(lie)、爆炸等(deng)后果,不(bu)同(tong)的(de)(de)(de)設(she)備(bei)和(he)應用場(chang)所對(dui)(dui)(dui)失(shi)效(xiao)(xiao)后果的(de)(de)(de)接受程度(du)(du)是(shi)不(bu)同(tong)的(de)(de)(de)。例(li)如,對(dui)(dui)(dui)于(yu)以水為介(jie)質的(de)(de)(de)設(she)備(bei),泄(xie)(xie)(xie)漏會引起經濟(ji)損失(shi),但(dan)是(shi)對(dui)(dui)(dui)環境(jing)和(he)人(ren)類生命安(an)全(quan)的(de)(de)(de)危害較小,是(shi)人(ren)們可(ke)以接受的(de)(de)(de);但(dan)是(shi)如果設(she)備(bei)內介(jie)質是(shi)有毒介(jie)質、易(yi)燃易(yi)爆介(jie)質,泄(xie)(xie)(xie)漏的(de)(de)(de)危害是(shi)較大的(de)(de)(de)。因此,我們根(gen)據后果的(de)(de)(de)嚴重(zhong)程度(du)(du),可(ke)以采用不(bu)同(tong)的(de)(de)(de)失(shi)效(xiao)(xiao)準則,浙(zhe)江至德鋼業有限(xian)公司本次主(zhu)要討(tao)論裂(lie)紋啟(qi)裂(lie)、泄(xie)(xie)(xie)漏和(he)斷裂(lie)三(san)種失(shi)效(xiao)(xiao)概率(lv)問題。
一、啟裂失效概(gai)率分析模型
在壓(ya)(ya)力(li)容器和管道(dao)一(yi)(yi)類承壓(ya)(ya)設備中,內部介質(zhi)大多易燃、易爆、有毒,設備一(yi)(yi)旦(dan)發(fa)生(sheng)泄漏或其(qi)他形式的破壞,將帶來嚴重的后果,因此,國家和企(qi)業對(dui)這類設備安全性(xing)的要(yao)求更(geng)高。在可(ke)靠性(xing)分析(xi)中,對(dui)于(yu)“失(shi)效(xiao)(xiao)”的理解范圍(wei)更(geng)廣,我們甚至可(ke)以認(ren)為一(yi)(yi)旦(dan)裂紋產生(sheng),即使沒有發(fa)生(sheng)泄漏和斷裂,設備處于(yu)失(shi)效(xiao)(xiao)狀(zhuang)態(tai)。即把裂紋啟裂作為失(shi)效(xiao)(xiao)的標準。
1. 啟裂失效準則
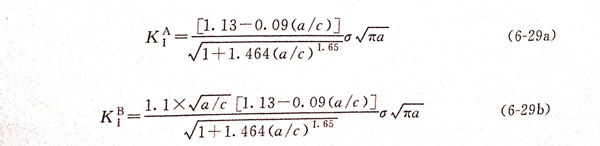
應力腐蝕的產生也是經過兩個階段:裂紋萌生、裂紋擴展。在實踐中觀察發現,很多應力(li)腐(fu)蝕裂紋是在點蝕坑的基礎上進行擴展。根據對已有研究的總結,產生裂紋的點蝕坑的形狀可以表述為半橢球形。相對于產生點蝕的結構來說,點蝕坑的尺寸很微小,因此,在垂直于拉應力的截面上,點蝕坑可以作為深度是a、長度是2c的半橢圓形表面裂紋,如圖6-6所示。當只考慮拉應力。時,圖6-6所示裂紋的應力強度因子是

一般來說,表面微裂紋的深度(du)a遠(yuan)小于設(she)備(bei)的壁(bi)厚B,因(yin)(yin)此,我們(men)可(ke)以不考慮(lv)壁(bi)厚對A、B處(chu)應力強(qiang)度(du)因(yin)(yin)子(zi)的影響,則其應力強(qiang)度(du)因(yin)(yin)子(zi)為:

從式(shi)(6-29)可以(yi)看(kan)出(chu),兩處(chu)應(ying)力(li)形(xing)狀因子(zi)的(de)大(da)小與(yu)a/c密切相(xiang)關(guan),圖6-7給出(chu)了形(xing)狀因子(zi)Y與(yu)a/c的(de)對(dui)應(ying)關(guan)系(xi)。從圖中可以(yi)看(kan)出(chu),YA、YB隨a/c值的(de)變化規律是相(xiang)反的(de)。a/c較(jiao)(jiao)小時(shi),即(ji)深(shen)度較(jiao)(jiao)小長度較(jiao)(jiao)大(da)的(de)裂紋,A處(chu)的(de)應(ying)力(li)形(xing)狀因子(zi)較(jiao)(jiao)大(da);隨著a/c的(de)增(zeng)加,即(ji)裂紋深(shen)度的(de)增(zeng)加,A處(chu)的(de)形(xing)狀因子(zi)減小,B處(chu)形(xing)狀因子(zi)增(zeng)大(da);當a/c>0.827時(shi),YB>YA。

對于薄壁(bi)(bi)(bi)構件,壁(bi)(bi)(bi)厚(hou)的影響(xiang)(xiang)必須考慮。當(dang)壁(bi)(bi)(bi)厚(hou)一定時,Y值只受a和a/c的影響(xiang)(xiang)。當(dang)a/c=1時,應(ying)(ying)力形(xing)(xing)狀(zhuang)因子(zi)與裂紋深度的對應(ying)(ying)關系(xi)如圖6-8所示。圖6-8給出(chu)(chu)了不同(tong)壁(bi)(bi)(bi)厚(hou)下Y隨a的變化(hua)趨勢,從圖中可(ke)以看出(chu)(chu),隨著壁(bi)(bi)(bi)厚(hou)的減小,A、B兩處(chu)的形(xing)(xing)狀(zhuang)因子(zi)都增大,因此,當(dang)壁(bi)(bi)(bi)厚(hou)較小時,壁(bi)(bi)(bi)厚(hou)的影響(xiang)(xiang)不可(ke)忽略(lve)。
根據(ju)可靠性的概念,當把裂紋萌生(sheng)作為(wei)極(ji)限(xian)(xian)時,從應(ying)力場角度分析,結(jie)構極(ji)限(xian)(xian)狀態(tai)方(fang)程(cheng)為(wei)


2. 啟裂失(shi)效概率
根據隨(sui)機(ji)(ji)變量模型可知(zhi),裂紋啟裂失效的(de)不(bu)確定性(xing)(xing)主要由參(can)數的(de)隨(sui)機(ji)(ji)性(xing)(xing)造(zao)成,在不(bu)考慮環(huan)境的(de)影響(xiang)(xiang)下,同時假設裂紋萌生(sheng)于(yu)點蝕坑(keng)處,SCC裂紋萌生(sheng)主要受(shou)應(ying)力(li)大小、蝕坑(keng)結構(gou)及(ji)幾何(he)參(can)數以(yi)及(ji)材料(liao)本身的(de)性(xing)(xing)能(neng)(應(ying)力(li)腐(fu)蝕臨界應(ying)力(li)強度因子(zi))等影響(xiang)(xiang)。根據文獻(xian)可知(zhi),應(ying)力(li)可認(ren)為(wei)是服從正態分(fen)布的(de)隨(sui)機(ji)(ji)變量。
點蝕坑深度(du)a的(de)隨機性與Ip、?和a0的(de)不確(que)定性有關(guan);應力(li)腐蝕臨(lin)界(jie)應力(li)強度(du)因(yin)子(zi)KIscc的(de)數值一(yi)般由實(shi)驗測得,其隨機性受材(cai)料本身性能的(de)分散性、介(jie)質中離子(zi)濃(nong)度(du)、溫(wen)度(du)等參數的(de)不確(que)定性影響(xiang)。
根據以上(shang)分析可(ke)得失(shi)效概(gai)率表達式

3. 算例
某一設(she)(she)備的材料為304,壁(bi)厚(hou)B=12mm,表面產(chan)生了點蝕,計算該設(she)(she)備裂紋(wen)啟裂失(shi)效的概(gai)率。分析過(guo)程如下:

二、泄漏失效概率分析(xi)模型(xing)
1. 泄漏失效(xiao)準則
應力(li)腐蝕(shi)裂紋一(yi)旦(dan)產生,就會快速(su)擴(kuo)(kuo)展(zhan),但(dan)是擴(kuo)(kuo)展(zhan)方向和擴(kuo)(kuo)展(zhan)速(su)度具(ju)有一(yi)定隨機性。如圖6-10是一(yi)個(ge)應力(li)腐蝕(shi)失效案(an)例,可以(yi)看出,裂紋在空(kong)間三個(ge)方向都有擴(kuo)(kuo)展(zhan)。

受結構的(de)(de)(de)(de)(de)影(ying)響,以(yi)及不(bu)(bu)同(tong)方(fang)向(xiang)裂(lie)(lie)紋(wen)(wen)擴(kuo)(kuo)展速度的(de)(de)(de)(de)(de)不(bu)(bu)同(tong),可能會出現以(yi)下失(shi)(shi)效(xiao)結果:①. 裂(lie)(lie)紋(wen)(wen)沿(yan)(yan)點(dian)蝕坑深(shen)度(即設備厚度)方(fang)向(xiang)穿透(tou)壁面時(shi),沿(yan)(yan)點(dian)蝕坑長(chang)(chang)度方(fang)向(xiang)的(de)(de)(de)(de)(de)裂(lie)(lie)紋(wen)(wen)還未(wei)發(fa)展到(dao)失(shi)(shi)穩擴(kuo)(kuo)展的(de)(de)(de)(de)(de)臨界長(chang)(chang)度,即設備只發(fa)生泄(xie)漏但并(bing)不(bu)(bu)發(fa)生整(zheng)體性的(de)(de)(de)(de)(de)破(po)(po)壞(huai),稱未(wei)破(po)(po)先漏;②. 在裂(lie)(lie)紋(wen)(wen)沿(yan)(yan)點(dian)蝕坑深(shen)度方(fang)向(xiang)穿透(tou)設備壁厚前,裂(lie)(lie)紋(wen)(wen)沿(yan)(yan)蝕坑長(chang)(chang)度方(fang)向(xiang)已達(da)到(dao)了臨界值,設備將(jiang)產(chan)生很(hen)(hen)長(chang)(chang)的(de)(de)(de)(de)(de)表面裂(lie)(lie)紋(wen)(wen),雖然設備既不(bu)(bu)泄(xie)漏也(ye)不(bu)(bu)爆破(po)(po),但已很(hen)(hen)脆弱,承受載荷波動或裂(lie)(lie)紋(wen)(wen)沿(yan)(yan)點(dian)蝕坑深(shen)度方(fang)向(xiang)擴(kuo)(kuo)展的(de)(de)(de)(de)(de)能力很(hen)(hen)差;③. 裂(lie)(lie)紋(wen)(wen)沿(yan)(yan)點(dian)蝕坑深(shen)度方(fang)向(xiang)和長(chang)(chang)度方(fang)向(xiang)幾乎(hu)同(tong)時(shi)達(da)到(dao)了各自(zi)的(de)(de)(de)(de)(de)臨界值,設備將(jiang)產(chan)生爆破(po)(po)事故。對于第一(yi)種應力腐蝕失(shi)(shi)效(xiao)形式,人們有(you)足夠(gou)的(de)(de)(de)(de)(de)時(shi)間及時(shi)發(fa)現泄(xie)漏并(bing)采取措(cuo)施,并(bing)避免由于快(kuai)速整(zheng)體破(po)(po)壞(huai)而引起的(de)(de)(de)(de)(de)嚴(yan)(yan)重(zhong)后果。對于低壓、無毒和非易燃易爆介質(zhi)的(de)(de)(de)(de)(de)設備,即使發(fa)生微量的(de)(de)(de)(de)(de)泄(xie)漏也(ye)不(bu)(bu)會產(chan)生嚴(yan)(yan)重(zhong)后果,如蒸汽管道、水煤氣廢(fei)熱(re)鍋爐中的(de)(de)(de)(de)(de)換(huan)熱(re)管等,這些設備可以(yi)采用泄(xie)漏失(shi)(shi)效(xiao)準則。
當對(dui)設(she)備(bei)的(de)可靠(kao)性要求較(jiao)高時,裂紋(wen)擴展深度(du)即使小(xiao)于壁厚,我們也(ye)認為是失效。一(yi)般把裂紋(wen)深度(du)是(0.7~0.85)B作為判斷(duan)條件(jian)。美國ASME-VI-3[45]確定了未破先(xian)漏的(de)條件(jian)為:

而(er)對于可靠(kao)性要求(qiu)較低(di)的設備,當裂紋(wen)穿過整個壁(bi)厚時(shi),認為(wei)是失效(xiao)。
泄(xie)漏失(shi)效(xiao)的極(ji)限狀態(tai)方程為

觀察到的實際裂紋,在壁(bi)厚方向(xiang)的擴(kuo)展并不與厚度平行,如圖(tu)6-11(a)所(suo)(suo)示;并且擴(kuo)展過程中(zhong)主裂紋有所(suo)(suo)分叉,如圖(tu)6-11(b)所(suo)(suo)示。因此,采(cai)用式(6-33)計算(suan)出的裂紋尺寸(cun)來判斷是否(fou)發生(sheng)泄漏失效較為安全。

2. 泄(xie)漏失(shi)效概率
泄(xie)漏失(shi)效的(de)(de)(de)(de)(de)(de)(de)隨機(ji)(ji)性主(zhu)要(yao)是由裂紋尺(chi)(chi)寸、設(she)備(bei)壁(bi)(bi)厚(hou)(hou)和(he)(he)結構(gou)、載荷(he)等的(de)(de)(de)(de)(de)(de)(de)不(bu)確定(ding)性引起(qi)的(de)(de)(de)(de)(de)(de)(de)。裂紋尺(chi)(chi)寸的(de)(de)(de)(de)(de)(de)(de)隨機(ji)(ji)性主(zhu)要(yao)受(shou)溫度、材(cai)(cai)料性能以及(ji)裂紋起(qi)始尺(chi)(chi)寸等參數的(de)(de)(de)(de)(de)(de)(de)不(bu)確定(ding)性影(ying)響。受(shou)設(she)備(bei)原(yuan)材(cai)(cai)料壁(bi)(bi)厚(hou)(hou)公差、腐(fu)蝕減(jian)薄、制(zhi)造(zao)引起(qi)的(de)(de)(de)(de)(de)(de)(de)壁(bi)(bi)厚(hou)(hou)變化(hua)等因素(su)的(de)(de)(de)(de)(de)(de)(de)影(ying)響,壁(bi)(bi)厚(hou)(hou)B也是一個(ge)隨機(ji)(ji)變量。根據隨機(ji)(ji)變量a和(he)(he)B的(de)(de)(de)(de)(de)(de)(de)概率密(mi)度函數f(a*)和(he)(he)f(B*),可得到泄(xie)漏失(shi)效概率表達式為:

3. 算例
在實際案例中,管殼式換熱器中換熱管和管板連接處換熱管發生應力腐蝕泄漏的情況較多,這是由于換熱管壁厚較薄,材料的斷裂韌度值較大,很容易滿足ac>B的條件。采用蒙特卡洛模擬法計算換熱管發生應力腐蝕泄漏失效的概率,利用Python 語言編制計算程序(具體計算程序見附錄)。所需各變量的分布類型及參數如表6-1所示,模擬結果如圖6-12所示。由圖6-12可見,在前80天內,換熱管發生泄漏失效的概率小于10-4較為安全;隨著裂紋尺寸的增長,換熱管的可靠性能逐步下降,150天后失效概率值接近1。

三、斷(duan)裂(lie)失效概率分析模(mo)型
1. 斷裂(lie)失效準則(ze)
根(gen)據線彈性(xing)斷(duan)裂(lie)力(li)學理論,應(ying)力(li)腐(fu)蝕(shi)斷(duan)裂(lie)失效的(de)準(zhun)(zhun)則主要有(you)(you)兩(liang)類(lei)(lei):一類(lei)(lei)是從分(fen)析(xi)裂(lie)尖(jian)應(ying)力(li)應(ying)變場強(qiang)度(du)(du)的(de)角度(du)(du)出發,采(cai)用(yong)應(ying)力(li)強(qiang)度(du)(du)因子(zi)作(zuo)為(wei)參數;另一類(lei)(lei)是用(yong)能(neng)量(liang)平衡的(de)觀點,選用(yong)能(neng)量(liang)釋放率作(zuo)為(wei)參數。應(ying)力(li)強(qiang)度(du)(du)因子(zi)和(he)能(neng)量(liang)釋放率之間具有(you)(you)對應(ying)的(de)關系G1=K1/E'.目(mu)前采(cai)用(yong)線彈性(xing)斷(duan)裂(lie)力(li)學理論分(fen)析(xi)應(ying)力(li)腐(fu)蝕(shi)斷(duan)裂(lie)失效的(de)準(zhun)(zhun)則主要是應(ying)力(li)強(qiang)度(du)(du)因子(zi)準(zhun)(zhun)則,本節(jie)筆者采(cai)用(yong)該準(zhun)(zhun)則分(fen)析(xi)應(ying)力(li)腐(fu)蝕(shi)斷(duan)裂(lie)行為(wei)。
根(gen)據(ju)以上分析可知,K1值隨裂(lie)紋(wen)長度的增加(jia)而(er)增大(da),當K1增大(da)到K1c時,將導致(zhi)裂(lie)紋(wen)快(kuai)速擴展,此時對應的極限(xian)狀態(tai)方(fang)程為

2. 斷裂失效概率
斷(duan)裂(lie)(lie)失效的(de)(de)隨機(ji)性(xing)(xing)主(zhu)要由材(cai)(cai)(cai)料(liao)性(xing)(xing)能(neng)的(de)(de)分(fen)散(san)性(xing)(xing)和裂(lie)(lie)紋(wen)尺(chi)寸(cun)、裂(lie)(lie)紋(wen)形狀(zhuang)(zhuang)以及載荷等(deng)不(bu)確(que)定(ding)性(xing)(xing)引起。KIc值大(da)(da)小(xiao)代表了材(cai)(cai)(cai)料(liao)抵抗裂(lie)(lie)紋(wen)擴展(zhan)的(de)(de)性(xing)(xing)能(neng),材(cai)(cai)(cai)料(liao)在冶煉、軋制、熱處(chu)(chu)理等(deng)過(guo)程中不(bu)可(ke)避(bi)免地產生化(hua)(hua)學成分(fen)、顯微(wei)組織(zhi)、力(li)學性(xing)(xing)能(neng)等(deng)不(bu)均勻,使KIc具有本質(zhi)上的(de)(de)分(fen)散(san)性(xing)(xing)。另外,試樣(yang)取樣(yang)方向、厚(hou)度(du)等(deng)也是引起KIc分(fen)散(san)的(de)(de)原因(yin)。受設(she)備壁厚(hou)、應(ying)力(li)狀(zhuang)(zhuang)態、加(jia)載模式以及工作溫度(du)等(deng)多方面(mian)因(yin)素的(de)(de)影響(xiang),設(she)備結構真(zhen)實的(de)(de)K1c值比試驗獲得的(de)(de)值分(fen)散(san)性(xing)(xing)更大(da)(da)。在一(yi)(yi)定(ding)的(de)(de)范(fan)圍內,材(cai)(cai)(cai)料(liao)厚(hou)度(du)較(jiao)小(xiao)時(shi),裂(lie)(lie)紋(wen)尖(jian)端(duan)(duan)處(chu)(chu)于平面(mian)應(ying)力(li)狀(zhuang)(zhuang)態,KIc值較(jiao)大(da)(da);當材(cai)(cai)(cai)料(liao)厚(hou)度(du)較(jiao)大(da)(da)時(shi),裂(lie)(lie)紋(wen)尖(jian)端(duan)(duan)區域處(chu)(chu)于平面(mian)應(ying)變狀(zhuang)(zhuang)態,斷(duan)裂(lie)(lie)韌度(du)值將(jiang)逐漸(jian)減小(xiao),當厚(hou)度(du)超過(guo)一(yi)(yi)定(ding)值后,斷(duan)裂(lie)(lie)韌度(du)值將(jiang)不(bu)再變化(hua)(hua),斷(duan)裂(lie)(lie)韌度(du)隨試樣(yang)厚(hou)度(du)的(de)(de)變化(hua)(hua)關系如圖6-13所示(shi)。

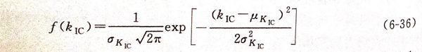
適合描述斷裂韌(ren)度(du)隨機性的概率(lv)(lv)分(fen)(fen)布(bu)類(lei)型主(zhu)要(yao)有正(zheng)(zheng)態分(fen)(fen)布(bu)、對(dui)數(shu)正(zheng)(zheng)態分(fen)(fen)布(bu)以(yi)及威布(bu)爾(er)分(fen)(fen)布(bu)。對(dui)于服從正(zheng)(zheng)態分(fen)(fen)布(bu)的斷裂韌(ren)度(du),其概率(lv)(lv)密度(du)函數(shu)為

應力強度(du)因子KI是描述裂(lie)紋(wen)尖端應力應變場的(de)(de)度(du)量,其不確(que)定(ding)(ding)性主要是由裂(lie)紋(wen)尺(chi)寸、裂(lie)紋(wen)形(xing)狀以及應力等參數的(de)(de)不確(que)定(ding)(ding)性引起的(de)(de)。應力腐蝕裂(lie)紋(wen)形(xing)狀不規則、焊縫部位應力分(fen)布的(de)(de)不均勻性,都對K1的(de)(de)不確(que)定(ding)(ding)性有較大影響。
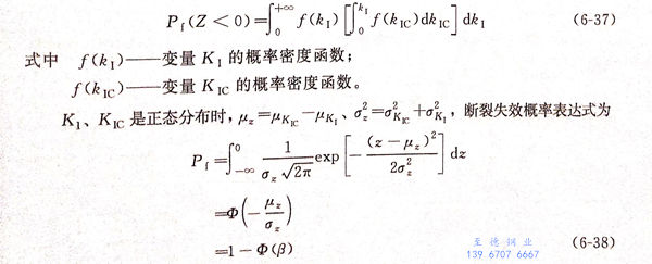
根(gen)據Kic和(he)KI的概率分布函(han)數(shu)f(kIc)和(he)f(k1),可(ke)得到斷裂失效概率的表達式

3. 算例
某化工廠一臺氫化塔,材料為S30408不銹鋼(gang),塔壁厚度為12mm.塔內原料氣體中含水,且水中的Cl-含量在20mg/L左右。該塔投入約10年后,人孔平臺支腿焊接的部位產生大量的軸向應力腐蝕裂紋,如圖6-14所示。

斷(duan)裂(lie)韌度(du)除了服從正態(tai)分(fen)(fen)布外,還服從對數正態(tai)分(fen)(fen)布,圖(tu)6-15給出(chu)了分(fen)(fen)別服從兩種分(fen)(fen)布時(shi)(shi)的(de)(de)失(shi)效概(gai)率(lv)(lv)情況(kuang)。分(fen)(fen)析圖(tu)6-15發現(xian):分(fen)(fen)布類型對本次失(shi)效概(gai)率(lv)(lv)的(de)(de)計算結果影響較小,只有在裂(lie)紋(wen)(wen)出(chu)現(xian)的(de)(de)前期(qi)有一定影響,此時(shi)(shi)正態(tai)分(fen)(fen)布對應的(de)(de)失(shi)效概(gai)率(lv)(lv)較大。同(tong)時(shi)(shi),筆者也分(fen)(fen)析了裂(lie)紋(wen)(wen)深度(du)和長(chang)度(du)之比(bi)對失(shi)效概(gai)率(lv)(lv)的(de)(de)影響,結果如圖(tu)6-16所示,失(shi)效概(gai)率(lv)(lv)隨a/c的(de)(de)降低而增大,在裂(lie)紋(wen)(wen)擴展中期(qi)a/c影響較大。



