作為應力腐蝕裂紋的萌(meng)生源,香蕉app免費視頻在線觀看:點蝕的(de)(de)(de)產生(sheng)(sheng)(sheng)以及生(sheng)(sheng)(sheng)長過(guo)程相當于裂紋的(de)(de)(de)孕育期。目前,對于點(dian)(dian)蝕(shi)的(de)(de)(de)萌(meng)生(sheng)(sheng)(sheng)機(ji)理(li)(li)(li)有很(hen)(hen)多(duo)說法,每一種機(ji)理(li)(li)(li)都得(de)到了相當多(duo)的(de)(de)(de)實驗支持。點(dian)(dian)蝕(shi)萌(meng)生(sheng)(sheng)(sheng)機(ji)理(li)(li)(li)雖多(duo),但是(shi)建(jian)立的(de)(de)(de)相應判(pan)據卻(que)很(hen)(hen)少。點(dian)(dian)蝕(shi)的(de)(de)(de)萌(meng)生(sheng)(sheng)(sheng)和(he)生(sheng)(sheng)(sheng)長受很(hen)(hen)多(duo)因素(su)的(de)(de)(de)影響,如腐蝕(shi)介質的(de)(de)(de)成分、溫(wen)度和(he)流動狀態,材料(liao)的(de)(de)(de)力學性能、表面硬質夾(jia)雜和(he)粗(cu)糙度,這些物理(li)(li)(li)量的(de)(de)(de)不(bu)(bu)確定性使(shi)得(de)點(dian)(dian)蝕(shi)在整個生(sheng)(sheng)(sheng)命周期內(nei)的(de)(de)(de)發展(zhan)具有很(hen)(hen)大的(de)(de)(de)隨機(ji)性。本(ben)章中,在點(dian)(dian)蝕(shi)機(ji)理(li)(li)(li)的(de)(de)(de)研究基礎上,建(jian)立點(dian)(dian)蝕(shi)萌(meng)生(sheng)(sheng)(sheng)判(pan)據,并把點(dian)(dian)蝕(shi)分為兩個不(bu)(bu)同的(de)(de)(de)階段(duan),即點(dian)(dian)蝕(shi)的(de)(de)(de)萌(meng)生(sheng)(sheng)(sheng)和(he)生(sheng)(sheng)(sheng)長,分別研究這兩個階段(duan)的(de)(de)(de)隨機(ji)性。
一、點蝕的產(chan)生
奧氏體不銹鋼表面點蝕的產生是由于鈍化膜受到局部破壞,使其下的基體不斷溶解造成的。在相同外部條件下,鋼表面存在缺陷的鈍化膜會優先破壞,鈍化膜的劃傷或應力集中、晶格缺陷、表面夾雜都可能是產生點蝕的起因。對于不(bu)銹鋼,點蝕幾乎無一例外地從硫化物夾雜部位萌生。在外加拉應力的作用下,由于夾雜物與基體材料邊界處存在一定的應力集中,鈍化膜會優先在應力集中程度大的地方破裂,使得硫化物與周圍的基體材料之間形成縫隙,造成硫化物周圍環境的改變。在局部環境的影響下,硫化物容易溶解,溶解的硫化物再附著在該位置,形成封閉的區間,封閉區內溶液成分發生變化,易于溶解基體材料,最終使點蝕形核。
在拉應(ying)力的(de)作(zuo)用下(xia),鈍化(hua)(hua)膜易修復(fu),產(chan)生(sheng)(sheng)(sheng)點(dian)蝕(shi)所需(xu)時間縮(suo)短,產(chan)生(sheng)(sheng)(sheng)點(dian)蝕(shi)的(de)概(gai)率也(ye)會增大。但(dan)是,點(dian)蝕(shi)的(de)產(chan)生(sheng)(sheng)(sheng)主要還是受電(dian)化(hua)(hua)學(xue)過(guo)程控制。因此(ci),從電(dian)化(hua)(hua)學(xue)角度建立點(dian)蝕(shi)的(de)萌(meng)生(sheng)(sheng)(sheng)判(pan)據更加合理。
1. 點蝕產生的電化(hua)學判(pan)據(ju)
點蝕的產生與點蝕電位φp有密切關系。在實際情況中,點蝕電位是用來確定鈍態金屬耐點蝕能力的重要參數。由于不銹鋼的點蝕優先在一些夾雜物部位形核,因此對于每個鈍態金屬腐蝕體系,總會存在一個臨界點蝕電位φcp,即鈍態金屬表面上具有臨界尺寸和最大活性點的平衡電位。在自腐蝕狀態下,如果把臨界點蝕電位作為點蝕發生的阻力,那么鈍態體系的腐蝕電位φcorr則成為推動點蝕萌生的動力。當體系的腐蝕電位超過臨界點蝕電位時,點蝕就可能萌生。
a. 動(dong)力
在中(zhong)(zhong)性(xing)、堿性(xing)及弱(ruo)酸(suan)(suan)性(xing)介質中(zhong)(zhong),奧氏體不(bu)銹(xiu)鋼點(dian)蝕(shi)(shi)與其他(ta)大多數金屬的腐(fu)備一樣(yang),都屬于(yu)氧(yang)去極化腐(fu)蝕(shi)(shi)。假設不(bu)銹(xiu)鋼在弱(ruo)酸(suan)(suan)性(xing)NaCl溶液中(zhong)(zhong)陰極反應僅為氧(yang)的還原反應:

根據混合電位理論,在自腐蝕狀態下,金屬的陽極溶解電流密度ia與去極化劑陰極反應電流密度的絕對值ic相等,電化學反應步驟控制時,氧還原反應的超電位ηo可由以下公式計算:

在酸性環境(jing)中,氧(yang)還原反(fan)應的基本步驟可分為:

b. 阻力
不銹鋼表面的鈍(dun)化膜對基體的保護程度與鈍化膜的穩定性、致密性等有關。夾雜物的存在使鈍化膜產生缺陷,Cl-等侵蝕性離子很容易沉積在鈍化膜缺陷處,使鈍態體系的臨界點蝕電位φcp降低。
目前,沒有通用的理論公式來計算臨界點蝕電位φcp和點蝕電位φp數值。
點蝕電位可以通過測極化曲線得到,一般把掃描速度接近于0時的測量值作為真正的點蝕電位,此時,臨界點蝕電位和測量點蝕電位相差很小。因此,掃描速度為0時的點蝕電位可作為臨界點蝕電位的近似值。但在實際情況中,把掃描速度設為0是不現實的。為求得真實的點蝕電位,可以對不同掃描速度下測得的φp進行線性擬合,并采用外推法,外推至掃描速度為0時的數值即為真實的點蝕電位。通過試驗發現,Cl-濃度越低,掃描速度對點蝕電位的影響越小。當Cl-濃度較小時,掃描速度為10mV/min時測得的點蝕電位與掃描速度為0時的點蝕電位相近。為了減少試驗數量,可以把掃描速度為10mV/min時測得的點蝕電位近似作為臨界點蝕電位。
受(shou)試驗條件(jian)的(de)(de)限制,一般測得的(de)(de)臨界(jie)(jie)點蝕電位沒考慮(lv)應(ying)(ying)(ying)力的(de)(de)影響,但是(shi)應(ying)(ying)(ying)力可以提(ti)高金(jin)屬(shu)基體和表面氧化膜層的(de)(de)化學(xue)位,還會使金(jin)屬(shu)表面的(de)(de)缺(que)陷位置(zhi)發生應(ying)(ying)(ying)力集(ji)中(zhong),從而使臨界(jie)(jie)點蝕電位降低(di)。在彈性(xing)變形范圍(wei)內(nei),因應(ying)(ying)(ying)力而引(yin)起的(de)(de)臨界(jie)(jie)直蝕電位變化可以用下式計算:

不考(kao)慮應(ying)力(li)集(ji)中(zhong)(zhong)時(shi),由式(4-8)計算出的(de)(de)電位(wei)降與文(wen)獻(xian)的(de)(de)實(shi)測值處(chu)于同一數量級(ji)。然而,MnS夾(jia)雜與基體材料相交部位(wei)會(hui)存在一定(ding)的(de)(de)應(ying)力(li)集(ji)中(zhong)(zhong)。根據(ju)文(wen)獻(xian)取(qu)應(ying)力(li)集(ji)中(zhong)(zhong)系(xi)數為(wei)2,當施加(jia)240MPa(小于屈服強度(du))的(de)(de)應(ying)力(li)時(shi),由式(4-8)計算得到臨(lin)界點(dian)蝕電位(wei)變化量ΔΦcp=-18mV.受MnS形狀的(de)(de)影響,有些部位(wei)的(de)(de)應(ying)力(li)集(ji)中(zhong)(zhong)系(xi)數可(ke)能(neng)遠大(da)(da)于2,臨(lin)界點(dian)蝕電位(wei)的(de)(de)降低量會(hui)更大(da)(da)。
基于以上分析,點蝕產生的準則為: φcorr > Ψcp (4-9)
2. 點蝕產生的概率分析
從以上分析可以看出,點蝕的產生受很多變量的影響,變量的不確定性給點蝕產生帶來很大的隨機性,主要的隨機變量為T、pH、ib、i0以及φcp。對某煉油廠提供的監測數據進行統計分析,經過x2檢驗發現,在顯著性水平0.05下,溫度T和溶液的pH值都滿足正態分布,如圖4-1所示。變量φcp、ip、io的隨機性需要通過試驗數據統計獲得。根據文獻的試驗結果,當Cl-濃度較小(約60mg/kg以下)時,維鈍電流密度和交換電流密度變化很小,可作為確定性變量;當Cl-濃度大于60mg/kg時,分析發現,維鈍電流密度和交換電流密度滿足正態分布。

當(dang)考慮以上變量(liang)的隨機性時,點(dian)蝕萌生(sheng)概(gai)率可表示為:

Cl-濃度較低的情況下(小于60mg/L),變量i0和ip的隨機性可忽略,點蝕萌生的概率表達式為:

隨著時間的增加,Cl-在活性點的吸附量增多,加速了鈍化膜的溶解,從而使臨界點蝕電位向負方向偏移。因此,臨界點蝕電位隨時間在數值上是減小的,即t↑→φcb(t)↓.因此,采用強度退化的動態應力-強度模型可以很好地描述點蝕產生隨時間的變化關系,模型如圖4-2所示。

3. 計算實例
為分析點蝕萌生概率,以304L不銹鋼(gang)為試樣,進行動電位極化曲線測試,材料化學成分如表4-1所示。把圓柱形試樣用環氧樹脂密封,只保留直徑為1cm的圓形表面,經打磨、拋光、清洗、吹干后備用。電化學實驗采用三電極體系,工作電極的封裝過程如下:

①. 準備環(huan)氧(yang)樹(shu)脂(zhi)。通(tong)常是按照特定比例(li),混合A、B兩(liang)膠(jiao)。混合后的環(huan)氧(yang)樹(shu)脂(zhi)很黏稠。
②. 抽濾(lv)環(huan)氧樹脂(zhi)。用真空(kong)泵將環(huan)氧樹脂(zhi)中的氣泡抽出。
③. 準(zhun)備模(mo)具和(he)樣品(pin)。將(jiang)一個PVC環平放(fang)在(zai)(zai)桌(zhuo)面/墊布上,將(jiang)和(he)銅導柱焊接在(zai)(zai)一起的(de)樣品(pin)倒立放(fang)置在(zai)(zai)PVC環的(de)中央。
④. 往圓環(huan)中倒(dao)入環(huan)氧樹(shu)脂,在室溫下(xia)風(feng)干至少24h。
⑤. 在打磨機上對電極進行(xing)打磨拋光直至形成鏡面。如樣(yang)品(pin)和銅導(dao)柱(zhu)之間(jian)焊接的(de)不(bu)好,打磨的(de)外力可能會導(dao)致(zhi)接觸不(bu)良,以致(zhi)測試時(shi)導(dao)通不(bu)良好。
試驗溶液為0.1%NaCl+CH3COOH,溶液的pH值為5左右。把試樣分批次浸泡在試驗溶液中,浸泡時間分別為0d、5d、25d、45d、60d、65d.把浸泡后的試樣作為工作電極進行極化曲線測試,試驗后部分試樣表面點蝕情況如圖4-3所示。室溫下,由于溫度波動很小,把溫度作為確定性變量;介質為空氣所飽和,氧分壓比取0.21;對實驗數據進行統計處理后,采用蒙特卡羅數值模擬法計算不同時間的點蝕萌生概率。當模擬次數大于105時,計算結果基本不隨模擬次數的增加而變化。因此,把模擬次數為105時的計算結果作為最終值,結果如圖4-4所示。


二、點(dian)蝕產生率分(fen)析(xi)
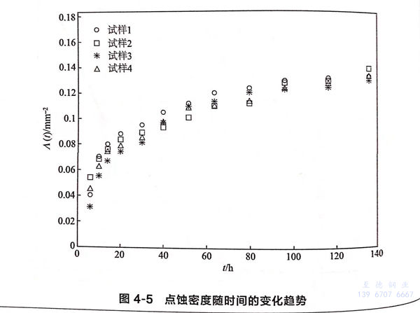
為(wei)(wei)了解不同時(shi)(shi)(shi)間(jian)點(dian)蝕(shi)(shi)萌(meng)(meng)生數(shu)量,采用浸泡(pao)法(fa)研究點(dian)蝕(shi)(shi)的(de)(de)(de)萌(meng)(meng)生率(lv),為(wei)(wei)縮短試驗周期(qi),使用FeCl。溶(rong)液作為(wei)(wei)腐蝕(shi)(shi)液。試驗用材(cai)、試樣(yang)尺寸、封裝方(fang)式同4.1.3節,試樣(yang)打磨后(hou)放入6%FeCl3溶(rong)液中(zhong)浸泡(pao)。經(jing)過(guo)一定時(shi)(shi)(shi)間(jian)的(de)(de)(de)腐蝕(shi)(shi)后(hou),把(ba)試樣(yang)取(qu)出,經(jing)清洗(xi)和烘干,在(zai)低倍鏡(jing)下測量單位面積上的(de)(de)(de)點(dian)蝕(shi)(shi)坑數(shu)目。點(dian)蝕(shi)(shi)密(mi)度(du)隨浸泡(pao)時(shi)(shi)(shi)間(jian)的(de)(de)(de)變(bian)化趨勢如圖4-5所示。從(cong)圖4-5可看出,點(dian)蝕(shi)(shi)產(chan)生的(de)(de)(de)初始階段(duan),點(dian)蝕(shi)(shi)萌(meng)(meng)生率(lv)很(hen)大,經(jing)過(guo)一段(duan)時(shi)(shi)(shi)間(jian)后(hou)逐漸減小,并(bing)趨于(yu)平穩。由于(yu)點(dian)蝕(shi)(shi)的(de)(de)(de)產(chan)生與材(cai)料表(biao)面的(de)(de)(de)MnS夾雜(za)有關,MnS夾雜(za)部位點(dian)蝕(shi)(shi)的(de)(de)(de)孕育時(shi)(shi)(shi)間(jian)基本相(xiang)同,點(dian)蝕(shi)(shi)萌(meng)(meng)生時(shi)(shi)(shi)間(jian)比較(jiao)集中(zhong)。

點(dian)(dian)蝕(shi)萌生率趨于平(ping)穩的(de)原(yuan)因有(you)兩方面(mian)(mian):一(yi)方面(mian)(mian),當(dang)材料表面(mian)(mian)絕大部分的(de)MnS夾(jia)雜溶解并(bing)形(xing)成(cheng)(cheng)點(dian)(dian)蝕(shi)坑(keng)后(hou),點(dian)(dian)蝕(shi)坑(keng)萌生速率由萌生速率平(ping)穩的(de)光滑表面(mian)(mian)上形(xing)成(cheng)(cheng)的(de)點(dian)(dian)蝕(shi)坑(keng)控制(zhi);另一(yi)方面(mian)(mian),在已有(you)的(de)點(dian)(dian)蝕(shi)坑(keng)生長過程(cheng)中,坑(keng)外的(de)陰極反應抑制(zhi)了(le)點(dian)(dian)蝕(shi)坑(keng)周圍(wei)鈍化膜的(de)溶解,降低(di)了(le)點(dian)(dian)蝕(shi)敏感性。
為(wei)(wei)了描述(shu)點蝕(shi)萌生(sheng)數量與時間之間的關(guan)系(xi),選用非齊(qi)次(ci)泊松過(guo)程來模擬點蝕(shi)的萌生(sheng)過(guo)程。定義平(ping)均點蝕(shi)密度為(wei)(wei):

根據試驗數據,采用極大似然法估算γ 和 δ 值。假設第 i 個時間區間(ti-1,ti)內單位面積上萌生的點蝕數目ki,每個進行了12次觀察,根據式(4-14),可得到任一試樣j 上點蝕萌生數目分布的似然函數:

采(cai)用MATLAB軟件求解,分別得(de)到γ和8的(de)(de)最大似然估計(ji)值為0.0317和0.301。根據參(can)數(shu)擬(ni)(ni)合的(de)(de)曲線(如(ru)圖4-6所(suo)示),雖然單個試樣上點蝕萌生數(shu)量與擬(ni)(ni)合結(jie)果有一定的(de)(de)差距,但是(shi)綜合所(suo)有的(de)(de)試樣來比較,試驗(yan)值與模擬(ni)(ni)值是(shi)很接(jie)近的(de)(de)。因此(ci),采(cai)用非齊(qi)次泊(bo)松過程(cheng)可以很好地描述奧氏(shi)體不銹鋼點蝕產生過程(cheng)的(de)(de)隨(sui)機性。

三、點蝕(shi)生長概(gai)率分析
1. 點蝕生長模型
穩態點蝕一旦形成,坑外發生陰極反應:2H2O+O2+4e- → 4OH-或H++e- → H;坑內的金屬發生陽極溶解反應:M→Mn++ne-;金屬離子向外擴散并會進一步發生水解反應:Mn++H2O→M(OH)(n-1)++H+。腐蝕產物和可溶性鹽在坑口沉淀,使蝕坑形成閉塞電池。隨著水解反應的進行,點蝕坑內溶液的酸性增強,為了保持電荷平衡,Cl-向坑內遷移,坑壁金屬無法再鈍化,坑內Cl-濃度逐漸升高,加速了腐蝕進程。
點(dian)(dian)蝕坑的(de)形(xing)狀(zhuang)有半球(qiu)形(xing)、半橢球(qiu)性、錐形(xing)等,其中(zhong)半橢球(qiu)形(xing)是奧氏體(ti)不銹鋼(gang)點(dian)(dian)蝕中(zhong)最常見的(de)一種類型。假設點(dian)(dian)蝕坑的(de)形(xing)狀(zhuang)為(wei)半橢球(qiu)形(xing),長軸、短軸和深度分(fen)別用2b、2c、a表示,當開口平面內長、短兩軸相等,即b=c時(shi),點(dian)(dian)蝕坑的(de)體(ti)積可寫為(wei):

點蝕坑的生長包括亞穩態和穩態兩個階段。亞穩態點蝕生長過程中,一般點蝕電流密度較大,點蝕生長較快,與整個點蝕生長過程相比較,此階段所經歷的時間很短。可以采用點蝕電流密度ip和點蝕坑深度a的乘積值來判斷點蝕是否已發展到穩定狀態。Pistorius等人的研究表明,當ipa值達到3×10-4A/mm時就可使點蝕坑穩定生長。根據文獻的研究結果,304L不銹鋼在3.5%NaCl溶液中亞穩態點蝕活性溶解階段電流密度為3.5×10-2A/m㎡,由此可計算出穩態點蝕坑的初始深度為8.57μm。
2. 點蝕(shi)生長概率
根據式(4-22)來分析點蝕生長概率,首先需要分析表達式中的確定變量有隨機變量。其中,M、z和p是確定變量,Ip、? 和a0為隨機變量。在點蝕者定生長階段,由于不考慮形態的變化,可以只考慮Ip和a0的不確定性而忽略形狀系數?的不確定性。
a. Ip的不確定性

由于不同的環境和應力作用下Ip0無法通過計算公式得到,因此Ip的隨機性只能通過對大量實測數據統計獲得。
b. ao的不確定性
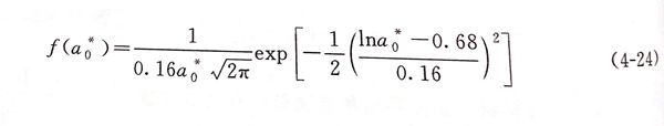
假設點蝕初始深度等于MnS夾雜物的橫截面尺寸,那么,ao的不確定性是由夾雜物的尺寸引起的。對于奧氏體(ti)不(bu)銹鋼(gang),MnS夾雜物直徑在1~5μm之間,根據文獻的統計,MnS夾雜物橫截面尺寸服從對數正態分布,均值和方差分別是2μm和0.1μ㎡,根據概率理論求得ao的概率密度函數為:

四(si)、總結
本次(ci)主要研究(jiu)了點蝕(shi)的萌(meng)(meng)生和(he)生長,在此基(ji)礎上,分析了萌(meng)(meng)生和(he)生長的概率(lv)。
①. 分(fen)析點(dian)(dian)蝕(shi)萌(meng)生(sheng)(sheng)的(de)電化學機理(li),建立(li)了(le)點(dian)(dian)蝕(shi)萌(meng)生(sheng)(sheng)的(de)判據。根(gen)據試(shi)驗數據;計算了(le)點(dian)(dian)蝕(shi)萌(meng)生(sheng)(sheng)的(de)概(gai)率。
②. 對304L不銹鋼(gang)點蝕實驗數據(ju)進(jin)行了分析,采用(yong)非齊次泊松過(guo)(guo)程(cheng)描述了點蝕產(chan)生的隨(sui)機過(guo)(guo)程(cheng),并對模型(xing)的參數進(jin)行了估計。
③. 對半橢(tuo)球點蝕坑的(de)生長過程進(jin)行了建(jian)模(mo),分析了模(mo)型中變量的(de)隨機(ji)性(xing)。
結果表明,點(dian)(dian)蝕坑深(shen)度尺(chi)寸的概(gai)率主要與(yu)點(dian)(dian)蝕電(dian)流(liu)和MnS夾(jia)雜物的尺(chi)寸兩個(ge)隨機變量有關。

