當不銹鋼管坯料在感應器內加熱時,由于感應加熱的端部效應和坯料端部的散熱,導致加熱后的不銹鋼管坯料存在軸向溫差,進而使坯料在擠壓后引起鋼管的壁厚不均缺陷。為了確保擠壓不銹鋼管的質量,必須使經感應加熱后的坯料的軸向溫差控制在±30℃左右。為此,坯料在感應加熱(再加熱)過程中需要進行端部功率補償:
1. 端部補償(chang)的原理(li)
感應(ying)(ying)器(qi)的電(dian)(dian)(dian)(dian)路由(you)電(dian)(dian)(dian)(dian)感電(dian)(dian)(dian)(dian)容和電(dian)(dian)(dian)(dian)阻組成(cheng),當(dang)將(jiang)端(duan)(duan)(duan)部(bu)補(bu)償電(dian)(dian)(dian)(dian)容器(qi)并聯在(zai)感應(ying)(ying)器(qi)線路上時,使(shi)(shi)電(dian)(dian)(dian)(dian)路中的阻抗值增(zeng)高,從而(er)引(yin)起(qi)感應(ying)(ying)器(qi)的兩端(duan)(duan)(duan)與中部(bu)的匝間電(dian)(dian)(dian)(dian)壓重新分(fen)配(pei),使(shi)(shi)主感應(ying)(ying)器(qi)兩端(duan)(duan)(duan)電(dian)(dian)(dian)(dian)壓較(jiao)低的部(bu)分(fen)得到了(le)補(bu)償,并且(qie)導致感應(ying)(ying)器(qi)兩端(duan)(duan)(duan)部(bu)電(dian)(dian)(dian)(dian)壓增(zeng)高,使(shi)(shi)端(duan)(duan)(duan)部(bu)的磁通密度(du)增(zeng)加,即分(fen)配(pei)到鋼坯端(duan)(duan)(duan)部(bu)的功率增(zeng)加,從而(er)使(shi)(shi)加熱坯料(liao)的端(duan)(duan)(duan)部(bu)溫度(du)得到了(le)補(bu)償,降低了(le)加熱(再加熱)后(hou)坯料(liao)的軸(zhou)向溫差。
2. 補償(chang)電(dian)容器容量的計算
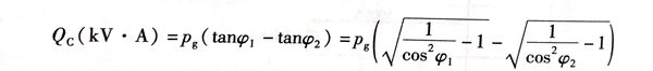
感應器的功率因數由cosφ1 補償到 cosφ2所需電容器的容量按下式計算:

3. 端部補(bu)償的控制
傳統的(de)功率(lv)補償(chang)控(kong)制(zhi)方法(fa)是采(cai)用(yong)無(wu)(wu)功功率(lv)繼電(dian)器等(deng)組成(cheng)的(de)有觸點的(de)系統來進(jin)行控(kong)制(zhi)。根(gen)據(ju)(ju)所(suo)測(ce)得(de)的(de)電(dian)流、電(dian)壓、溫度等(deng)數值,將補償(chang)電(dian)容(rong)器的(de)容(rong)量調節到(dao)(dao)最佳(jia)狀態。隨著計算(suan)機(ji)技術和電(dian)子(zi)技術的(de)發展,近代一般都(dou)已采(cai)用(yong)無(wu)(wu)功功率(lv)自(zi)動補償(chang)裝置,根(gen)據(ju)(ju)所(suo)采(cai)集到(dao)(dao)的(de)數據(ju)(ju),通過(guo)分析計算(suan),自(zi)動切換補償(chang)電(dian)路,使之(zhi)達到(dao)(dao)最佳(jia)效果(guo)。

