存(cun)在拉應力的情況下,香蕉app免費視頻在線觀看:應力腐蝕裂(lie)(lie)紋(wen)優先在點(dian)蝕(shi)(shi)坑(keng)處萌生(sheng)(sheng)并擴展。在本章中,基于對點(dian)蝕(shi)(shi)坑(keng)內裂(lie)(lie)紋(wen)萌生(sheng)(sheng)位置的(de)觀察,計算點(dian)蝕(shi)(shi)坑(keng)內的(de)應(ying)力(li)集中系數,分析點(dian)蝕(shi)(shi)坑(keng)形貌對裂(lie)(lie)紋(wen)萌生(sheng)(sheng)的(de)影響以及點(dian)蝕(shi)(shi)坑(keng)內裂(lie)(lie)紋(wen)萌生(sheng)(sheng)機理(li)。對高溫低CI-濃度(du)環(huan)境中裂紋的擴(kuo)展速率進行研究,并(bing)分(fen)析裂紋擴(kuo)展的隨機性。
一、應力腐(fu)蝕裂紋的萌生(sheng)
1. 點蝕坑形(xing)貌(mao)對裂紋(wen)萌生的(de)影響
從電化學角度來說,由于金屬離子的水解,點(dian)蝕坑底的pH值更低、Cl-濃度更大,裂紋會優先在坑底萌生。但實際中發現,多數應力腐蝕裂紋在坑肩或坑口邊緣處萌生,無論在高應力還是低應力情況下,都發現了這種現象。圖5-1是慢拉伸試驗后掃描電鏡下觀察到的試樣表面點蝕坑和裂紋,從圖中可看出,點蝕形貌近似為半橢球形,在高應力作用下,沿拉伸方向的表面尺寸大于垂直于拉伸方向的表面尺寸。實際應力腐蝕開裂案例中,觀察到的點蝕坑和裂紋萌生位置及形貌如圖5-2所示。



由(you)圖(tu)5-1和圖(tu)5-2可看出,裂紋(wen)在點蝕坑處的萌生和擴展(zhan)方(fang)式主要有以下四種情(qing)況:
①. 裂紋萌生(sheng)于(yu)坑底(di),在(zai)垂直(zhi)于(yu)拉(la)應力方(fang)向沿蝕坑表面一(yi)直(zhi)擴展到坑外表面;
②. 裂(lie)紋萌生(sheng)于坑底,只沿材(cai)料厚度方(fang)向擴(kuo)展,不向坑外表面擴(kuo)展;
③. 裂(lie)紋萌生(sheng)于坑(keng)(keng)口或坑(keng)(keng)肩(jian),只向(xiang)坑(keng)(keng)外表面擴(kuo)展;
④. 裂(lie)紋在底部和坑口處同時萌生(sheng),沿表面向兩側同時擴展,最終匯(hui)合成(cheng)主裂(lie)紋。
裂(lie)紋(wen)萌(meng)(meng)生受力(li)學作用(yong)和電(dian)化學作用(yong)共同作用(yong),而力(li)學作用(yong)占重(zhong)要地位。因此,由點(dian)蝕坑(keng)引起的局部應力(li)集中(zhong)在很大程度上(shang)決定(ding)了裂(lie)紋(wen)萌(meng)(meng)生位置。為了明確(que)點(dian)蝕坑(keng)形貌與裂(lie)紋(wen)萌(meng)(meng)生的關(guan)系,對(dui)點(dian)蝕坑(keng)尺寸(cun)進行了測量(liang)。點(dian)蝕坑(keng)深度采用(yong)顯微法測量(liang),放(fang)大倍(bei)數為200時的標尺如圖5-3(a)所(suo)示,觀察到(dao)的點(dian)蝕坑(keng)底部和表面(mian)的圖像如圖5-3(b)所(suo)示。


根據測得的點(dian)蝕(shi)(shi)坑(keng)尺(chi)寸(cun),采(cai)用(yong)ABAQUS軟件對不同形(xing)貌點(dian)蝕(shi)(shi)坑(keng)建立三(san)維(wei)模(mo)型(xing),分析點(dian)蝕(shi)(shi)坑(keng)內應(ying)力集(ji)中情況。點(dian)蝕(shi)(shi)坑(keng)形(xing)貌簡化為(wei)(wei)半(ban)橢球形(xing):b為(wei)(wei)蝕(shi)(shi)坑(keng)半(ban)長,沿拉(la)伸方向;c為(wei)(wei)蝕(shi)(shi)坑(keng)半(ban)寬,垂直于(yu)(yu)拉(la)伸方向;a為(wei)(wei)蝕(shi)(shi)坑(keng)深度(du)。幾何模(mo)型(xing)和有限元(yuan)網格(ge)模(mo)型(xing)如(ru)圖5-4所(suo)示,模(mo)型(xing)中部分點(dian)蝕(shi)(shi)坑(keng)尺(chi)寸(cun)來(lai)源于(yu)(yu)應(ying)力腐蝕(shi)(shi)試驗后試樣中點(dian)蝕(shi)(shi)坑(keng)的實際尺(chi)寸(cun)。材(cai)料模(mo)型(xing)采(cai)用(yong)彈塑性模(mo)型(xing),彈性模(mo)量(liang)E=210GPa,泊松比(bi)v=0.3.XY面施加Z方向的約束,即UY=0,XZ面采(cai)用(yong)對稱邊界。

由于研究目的是得到點蝕坑內應力集中系數,為便于計算,只沿橢球長軸方向施加10MPa的拉應力。坑內的應力集中系數Kt為:
Kt =σmax / σ(5-1)
式中 σmax-應力集中處最大Mises(米塞斯)應力。
首先對深(shen)坑內應力(li)分布進行了模擬,結果如圖(tu)5-5所示。


由圖5-5(a)可知,深寬比a/2c=3.24、b=c=0.125mm的點蝕坑,最大應力位于坑肩部,Kt=2.6;坑底和坑口的應力分別為外加應力的1.9倍和2.3倍。保持寬度不變,深寬比增大為5.4,同時b增大到0.175mm,最大應力位于肩部,Kt=2.0;坑底和坑口的應力分別為外加應力的1.7倍和1.9倍,如圖5-5(b)所示。與圖5-5(a)中的點蝕坑相比,雖然圖5-5(b)中的點蝕坑深寬比增大,但由于長寬比增大,坑內各處應力集中程度反而減小。對于深寬比為2.025、半長和半寬都為0.2mm的點蝕坑,最大應力也位于肩部,Kt=2.55;坑底和坑口的應力分別為外加應力的2.2倍和2.3倍,如圖5-5(c)所示。
為了與深坑比較,對淺坑內的應力分布也進行了模擬,結果如圖5-6所示。對于a=b=c=0.2mm的半球形點蝕坑,最大應力出現在肩部,Kt=1.9;坑底和坑口的應力分別為外加應力的1.8倍和1.8倍,如圖5-6(a)所示。保持長度和寬度不變,深寬比減小至a/2c=0.1875時,最大應力出現在坑口,Kt=1.49;坑底和肩部的應力分別為外加應力的1.46倍和1.48倍,如圖5-6(b)所示。保持長和深度不變,減小寬度使深寬比為0.25時,最大應力出現在點蝕坑肩部,Kt=1.46;坑底和坑口的應力分別為外加應力的1.4倍和1.4倍,如圖5-6(c)所示。在圖5-6(c)幾何尺寸的基礎上減小蝕坑深度,使深寬比為0.133,應力分布情況如圖5-6(d)所示,最大應力出現在點蝕坑坑口,Kt=1.17;坑底和坑肩的應力分別為外加應力的1.14倍和1.1倍。

由以上模(mo)擬(ni)結果可(ke)知:應力集(ji)(ji)(ji)(ji)中(zhong)(zhong)區(qu)垂直于拉伸方向,且(qie)呈(cheng)帶(dai)(dai)狀分(fen)布(bu),當深寬比(bi)較大(da)(da)時,應力集(ji)(ji)(ji)(ji)中(zhong)(zhong)帶(dai)(dai)從口(kou)部到底部逐漸(jian)變(bian)窄(zhai);深坑中(zhong)(zhong)最(zui)大(da)(da)應力出現(xian)在點(dian)(dian)蝕坑口(kou)下(xia)(xia)邊(bian)緣,淺(qian)坑中(zhong)(zhong)應力最(zui)大(da)(da)值(zhi)位于點(dian)(dian)蝕坑口(kou)或坑口(kou)下(xia)(xia)邊(bian)緣;相同(tong)的(de)長(chang)寬比(bi)下(xia)(xia),隨(sui)著a/2c值(zhi)的(de)減(jian)(jian)小,應力集(ji)(ji)(ji)(ji)中(zhong)(zhong)程度(du)(du)降低,應力集(ji)(ji)(ji)(ji)中(zhong)(zhong)分(fen)布(bu)帶(dai)(dai)變(bian)寬且(qie)上下(xia)(xia)寬度(du)(du)趨于均勻;而深度(du)(du)相同(tong)時,b/c值(zhi)減(jian)(jian)小,應力集(ji)(ji)(ji)(ji)中(zhong)(zhong)系(xi)(xi)數增(zeng)大(da)(da)。因此,點(dian)(dian)蝕坑應力集(ji)(ji)(ji)(ji)中(zhong)(zhong)系(xi)(xi)數的(de)大(da)(da)小不僅與深寬比(bi)有(you)關,還(huan)與長(chang)寬比(bi)有(you)關,三者之(zhi)間的(de)關系(xi)(xi)如圖5-7所(suo)示。

不論是(shi)(shi)深坑(keng)(keng)還是(shi)(shi)淺坑(keng)(keng),點(dian)(dian)蝕(shi)(shi)坑(keng)(keng)口或(huo)下邊緣的(de)應力(li)集(ji)中(zhong)程(cheng)度(du)最大,大部(bu)分(fen)裂紋會(hui)優先在此萌生,這與(yu)在試驗(yan)和實際失(shi)效案例中(zhong)觀察到的(de)現(xian)象是(shi)(shi)一(yi)致的(de)。然(ran)而,也(ye)發現(xian)了(le)一(yi)些起源(yuan)于坑(keng)(keng)底的(de)裂紋,這主要有兩(liang)方面的(de)原因:一(yi)是(shi)(shi)淺蝕(shi)(shi)坑(keng)(keng)坑(keng)(keng)口、坑(keng)(keng)肩和坑(keng)(keng)底的(de)應力(li)集(ji)中(zhong)程(cheng)度(du)相差很小(xiao),微小(xiao)的(de)力(li)學變化(hua)和電化(hua)學溶(rong)解變化(hua)都可(ke)能(neng)引起裂紋萌生位置的(de)改(gai)變;二是(shi)(shi)實際點(dian)(dian)蝕(shi)(shi)的(de)形貌(mao)并不是(shi)(shi)標準的(de)半橢球形,受材料內(nei)部(bu)夾雜及晶體結構的(de)影(ying)響,點(dian)(dian)蝕(shi)(shi)坑(keng)(keng)內(nei)部(bu)可(ke)能(neng)產(chan)生次級(ji)點(dian)(dian)蝕(shi)(shi)坑(keng)(keng),如圖(tu)5-8所(suo)示(shi),次級(ji)點(dian)(dian)蝕(shi)(shi)坑(keng)(keng)的(de)存(cun)在引起最大應力(li)集(ji)中(zhong)位置的(de)改(gai)變。為了(le)研究(jiu)次級(ji)點(dian)(dian)蝕(shi)(shi)坑(keng)(keng)對應力(li)集(ji)中(zhong)的(de)影(ying)響,在初級(ji)點(dian)(dian)蝕(shi)(shi)坑(keng)(keng)的(de)基礎上建立次級(ji)點(dian)(dian)蝕(shi)(shi)坑(keng)(keng)模型,并進行有限元模擬。點(dian)(dian)蝕(shi)(shi)坑(keng)(keng)尺寸(cun):a=0.075mm,b=0.2mm,c=0.15mm;次級(ji)坑(keng)(keng)的(de)尺寸(cun):a=b=c=0.01mm,幾何模型如圖(tu)5-9所(suo)示(shi),施加10MPa的(de)單向拉力(li),模擬結果如圖(tu)5-10所(suo)示(shi)。


由圖5-10可見(jian),坑內最大應(ying)力(li)出現在次級點蝕坑的(de)坑口(kou)處(chu),應(ying)力(li)集(ji)中(zhong)系數為3.2,坑底的(de)應(ying)力(li)為外加應(ying)力(li)的(de)2.5倍;與圖5-6(b)相比(bi),原點蝕坑坑肩和坑口(kou)位置的(de)應(ying)力(li)集(ji)中(zhong)程度基(ji)本沒變(bian)。
2. 裂紋(wen)萌生機理
對于奧氏體不(bu)銹(xiu)鋼應力腐蝕裂紋萌生,解釋最普遍的是滑移溶解機理。點蝕坑內,一方面,拉應力作用下形成的鈍化膜較薄,耐破裂能力差;另一方面,應力集中使局部的應力升高,容易引起位錯滑移,導致鈍化膜破裂。鈍化膜破裂后,露出活潑的新鮮金屬,滑移也使位錯密集和缺位增加,促成某些元素或雜質在滑移帶偏析,在腐蝕介質作用下發生陽極溶解。陽極溶解增強了局部塑性變形,使材料抗開裂能力下降,周而復始循環下去,導致應力腐蝕裂紋產生。通過對點蝕坑內裂紋萌生的研究發現,裂紋萌生于點蝕坑內應力較大的區域。從應力的角度出發,只要局部應力大于等于臨界應力,裂紋就形核。即
σmax ≥ σth(pH,T,acl-,材料微觀結構)(5-2)

從5.1.1節的(de)(de)(de)(de)分(fen)析(xi)發現,點(dian)蝕坑(keng)(keng)口和(he)坑(keng)(keng)肩部位應力集(ji)中程度最大(da),裂紋(wen)會優先在(zai)(zai)此萌(meng)(meng)生(sheng)。材(cai)料的(de)(de)(de)(de)不(bu)(bu)均勻性(xing)和(he)局(ju)部的(de)(de)(de)(de)電(dian)化學反應對(dui)應力腐蝕裂紋(wen)的(de)(de)(de)(de)萌(meng)(meng)生(sheng)也有一定的(de)(de)(de)(de)影響,雖然(ran)坑(keng)(keng)內裂紋(wen)萌(meng)(meng)生(sheng)概率會隨(sui)著(zhu)應力集(ji)中程度的(de)(de)(de)(de)增大(da)而增大(da),但實(shi)際(ji)材(cai)料中夾雜和(he)缺陷(xian)的(de)(de)(de)(de)存在(zai)(zai)會改變局(ju)部的(de)(de)(de)(de)應力集(ji)中分(fen)布(bu)情況,由此造成(cheng)理(li)論分(fen)析(xi)和(he)實(shi)際(ji)的(de)(de)(de)(de)差距。特別是較淺(qian)的(de)(de)(de)(de)點(dian)蝕坑(keng)(keng),坑(keng)(keng)口、坑(keng)(keng)肩和(he)坑(keng)(keng)底(di)的(de)(de)(de)(de)應力集(ji)中程度相(xiang)差不(bu)(bu)大(da),裂紋(wen)可能(neng)會在(zai)(zai)多個位置萌(meng)(meng)生(sheng)。
把圖5-1(c)放大,發(fa)現點蝕坑底部存(cun)在很多(duo)長度(du)為(wei)6~8μm的(de)(de)微(wei)裂(lie)(lie)紋(wen),這些(xie)微(wei)裂(lie)(lie)紋(wen)都垂直于(yu)拉伸方(fang)向,如圖5-11所示(shi)。產生多(duo)條(tiao)裂(lie)(lie)紋(wen)的(de)(de)原因是:點蝕坑底部較平坦,應力集(ji)中程(cheng)度(du)幾乎相同,只要在比較薄弱的(de)(de)位(wei)置就產生位(wei)錯滑(hua)移(yi),進而產生微(wei)裂(lie)(lie)紋(wen)。最(zui)終,同一面的(de)(de)微(wei)裂(lie)(lie)紋(wen)匯聚成(cheng)一條(tiao)裂(lie)(lie)紋(wen),成(cheng)為(wei)主裂(lie)(lie)紋(wen)的(de)(de)起源。

二、應(ying)力腐蝕裂紋擴展概率分析(xi)
應力腐(fu)蝕(shi)裂(lie)紋(wen)擴展過程(cheng)具有“三段”式(shi)特(te)點,裂(lie)紋(wen)擴展速率與應力強度因子(zi)之間(jian)的關系(xi)如圖5-12所示。

在第Ⅰ階段,da/dt隨Ki增大而快速增加,該階段力學因素起主要作用,用時較短;第Ⅱ階段,da/dt比較穩定,幾乎與Ki無關,裂紋擴展速率不隨力學因素的變化而改變,完全由電化學條件決定,用時較長。第Ⅲ階段,裂紋擴展速率快速增加直至斷裂。
1. 裂紋擴展速率(lv)估算
應力腐蝕裂(lie)紋(wen)(wen)擴展(zhan)受環(huan)境(jing)(jing)、應力狀(zhuang)態以及材料微觀結構和性(xing)能等眾(zhong)多(duo)因素影響,不同(tong)(tong)情況下的(de)(de)擴展(zhan)速(su)率(lv)不盡相同(tong)(tong)。到(dao)目前(qian)為(wei)止(zhi),裂(lie)紋(wen)(wen)擴展(zhan)速(su)率(lv)的(de)(de)預測仍是(shi)應力腐蝕研究(jiu)的(de)(de)重點(dian)和難(nan)點(dian)。目前(qian),大(da)多(duo)數裂(lie)紋(wen)(wen)擴展(zhan)模(mo)(mo)型針對核(he)電(dian)設(she)備(bei)在高溫水環(huan)境(jing)(jing)中的(de)(de)開(kai)裂(lie),Shoji模(mo)(mo)型和Clark模(mo)(mo)型是(shi)兩個最具代(dai)表(biao)性(xing)的(de)(de)定(ding)(ding)量預測模(mo)(mo)型。Shoji模(mo)(mo)型完(wan)全基于理論(lun)推導而獲得,模(mo)(mo)型中涉及的(de)(de)變量較多(duo),雖然能夠分(fen)析各種(zhong)環(huan)境(jing)(jing)、材料和力學因素對裂(lie)紋(wen)(wen)擴展(zhan)速(su)率(lv)的(de)(de)影響,但公式非常復雜,解析和計(ji)算困難(nan),且公式中包含很多(duo)材料參(can)數和電(dian)化(hua)學參(can)數,組合后所代(dai)表(biao)的(de)(de)物理意義不夠清晰,定(ding)(ding)量化(hua)后的(de)(de)精度難(nan)以保(bao)證(zheng),因此與工(gong)程應用距離(li)較遠(yuan)。
Clark模(mo)型(xing)(xing)是針對不同材料,根據實驗數據得到的一種經驗模(mo)型(xing)(xing),模(mo)型(xing)(xing)中考(kao)慮了溫度和(he)材料的屈服(fu)強度對裂紋擴(kuo)展速率的影響。Clark模(mo)型(xing)(xing)通用表達(da)式為:

由(you)于Clark模(mo)型(xing)中參數較少,且溫(wen)度(du)和(he)屈服強度(du)較容易(yi)測得(de),因此該模(mo)型(xing)在實際工程中得(de)到了廣泛采用(yong)。本節便(bian)采用(yong)Clark模(mo)型(xing)研(yan)究奧氏體不(bu)銹鋼的裂紋擴展速率(lv)問題。
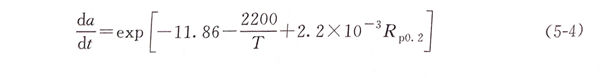
由于不同環境中的裂紋擴展速率很難采用統一的Clark模型表達式,所以本節對高溫低CI-濃度環境中裂紋擴展進行研究。例如管殼式換熱器,殼程介質一般為軟化水,介質中Cl-濃度很低,即使Cl-在換熱管與管板間的縫隙內富集,其濃度相對于飽和鹽溶液中的仍然很低,換熱管的工作溫度一般在200℃以上。因此,可認為換熱管所處的環境是高溫低Cl-濃度環境。基于式(5-3),根據文獻的試驗數據,擬合得到了裂紋擴展速率與溫度、屈服強度之間的關系式:

2.裂(lie)紋擴展概率分析
考慮到式(5-4)中參數T和Rp0.2的不確定性,裂紋擴展速率da/dt具有一定的隨機性。從第4章的研究可知,溫度T可認為是服從正態分布的隨機變量。蘇成功對不同厚度不同牌號的奧氏體不銹鋼力學性能進行了測試,測量結果如表5-1所示。


對表5-1中四種不銹鋼材料屈服強度的分散性進行分析。通過分析發現,在顯著性水平0.05下,316L不銹鋼和304L不銹(xiu)鋼的屈服強度服從正態分布,如圖5-13所示;受板厚度的影響,304不銹鋼屈服強度的分布規律不明顯。四種不銹鋼屈服強度的統計量計算結果如表5-2所示,由于321不銹鋼材料只涉及了一種板厚,因此屈服強度的變異系數較小;其他材料涉及了多種板厚,屈服強度的變異系數較大;如果只考慮一種板厚時,屈服強度的變異系數較小,在0.6%~2%之間。


基于以上分析,可認為奧氏體不銹鋼的屈服強度服從正態分布(μRp0.2, σ2Rp0.2),這和文獻中的結果是一致的。根據T和Rp0.2的分布函數就可以確定da/dt的概率分布。
當然,除了以上兩個參數,裂紋擴展的隨機性還與環境波動、應力波動以及材料成分和性能的微小差別有關。以T~N(240,4.52)、Rp0.2~N(320,462)為例,得到了裂紋擴展速率的正態概率圖,如圖5-14所示。僅從圖中觀察發現,裂紋擴展速率近似服從正態分布,但經檢驗,在顯著性水平α=0.05下裂紋擴展速率為正態分布的假設是不正確的。

三(san)、總結
本次主要(yao)討論(lun)了點蝕坑內裂紋的萌生以及擴展。
①. 觀察了(le)點(dian)蝕坑(keng)(keng)(keng)的(de)形(xing)貌,測量了(le)點(dian)蝕坑(keng)(keng)(keng)的(de)尺(chi)寸(cun)。采用有限元方法計算了(le)點(dian)蝕坑(keng)(keng)(keng)內(nei)的(de)應(ying)力(li)(li)集(ji)中(zhong)系(xi)數,得到(dao)了(le)點(dian)蝕坑(keng)(keng)(keng)不(bu)同(tong)尺(chi)寸(cun)對力(li)(li)集(ji)中(zhong)系(xi)數的(de)影響規律(lv)。從應(ying)力(li)(li)角度出發,分析了(le)應(ying)力(li)(li)集(ji)中(zhong)與裂紋萌生之(zhi)間的(de)關系(xi)。
②. 根據Clark公式,采用文獻中的試驗數據,擬合得到高溫低濃度Cl-環境中應力腐蝕裂紋擴展速率公式。
③. 得(de)到了(le)(le)材料屈服強度的(de)分布函數,對應力(li)腐蝕(shi)裂(lie)紋(wen)擴展的(de)隨機性進行了(le)(le)分析。

