浙江至德鋼業有限公司研究人員除了研究點蝕機理及其影響因素之外,關注的重點還有點蝕(shi)的隨機性。隨機性的研究方法可分為兩大類:隨機變量和隨機過程。對于點蝕隨機性的研究,集中于20世紀70年代,比較有代表性的是日本的學者。點蝕隨機性的研究內容主要包括點蝕的萌生和生長,點蝕萌生又分為亞穩態點蝕和穩態點蝕;對于點蝕生長,重點關注一定時間內產生點蝕的數目以及點蝕坑尺寸的變化。對點蝕電位和點蝕誘導時間進行了統計分析,結果表明點蝕電位服從正態分布,作者深入透徹地介紹了局部腐蝕的統計和隨機性研究方法。隨機變量的研究重點是參數的概率分布類型,除了考慮變量的隨機性,也有的研究人員采用隨機過程模型來研究點蝕的隨機性。并不是所有的微觀點蝕都能夠發展成為宏觀點蝕,對于亞穩態點蝕,很有可能在后期消失,Williams等在考慮了亞穩態點蝕消滅的前提下,建立了宏觀點蝕產生的隨機過程模型,模型如下所示:

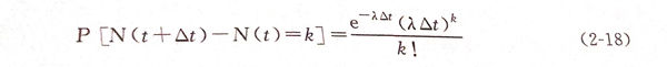
在點(dian)蝕(shi)隨機(ji)過(guo)程研究中,泊(bo)松(song)過(guo)程(Poisson process)是常用的一(yi)種(zhong)模型,特別是對于點(dian)蝕(shi)數(shu)量的隨機(ji)性描(miao)述,Poisson過(guo)程應用較多。Poisson過(guo)程包括齊次(ci)泊(bo)松(song)過(guo)程和非齊次(ci)泊(bo)松(song)過(guo)程。齊次(ci)泊(bo)松(song)過(guo)程屬(shu)于一(yi)種(zhong)離(li)散的隨機(ji)過(guo)程,采(cai)用泊(bo)松(song)過(guo)程來(lai)描(miao)述點(dian)蝕(shi)數(shu)目隨時間(jian)的變(bian)化時,認(ren)為在時間(jian)[t,t+Δt]內產生點(dian)蝕(shi)的數(shu)量與時間(jian)t之前(qian)出(chu)現(xian)的點(dian)蝕(shi)數(shu)量無關。泊(bo)松(song)分布函數(shu)為:

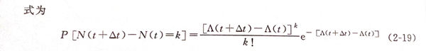
當(dang)強度因子(zi)λ為非常數時,齊次(ci)泊(bo)松過程轉化為非齊次(ci)泊(bo)松過程,其表達式為:

齊(qi)次(ci) Poisson過程假設每個時間段內(nei)平均點(dian)蝕(shi)的個數是相同(tong)的,但是,從實驗觀察來看,點(dian)蝕(shi)萌生率在初始階段較大(da),后趨于(yu)平穩(wen)。因此,用非(fei)齊(qi)次(ci)Poisson過程描(miao)述點(dian)蝕(shi)的萌生更符合點(dian)蝕(shi)發生的實際情(qing)況。
在(zai)點(dian)蝕概(gai)率(lv)研究中(zhong),馬(ma)爾科夫模(mo)型使(shi)用比較(jiao)廣。馬(ma)爾科夫過(guo)程(cheng)(cheng)(Markorvprocess,也稱馬(ma)氏過(guo)程(cheng)(cheng))的特征(zheng):在(zai)給定(ding)當前(qian)X(t)情況下,將來狀態(tai)X(u)(u>t)不(bu)受以前(qian)狀態(tai)X(v)(v<t)的影響,即

Hong首次把泊松(song)過(guo)(guo)(guo)(guo)程(cheng)和馬爾(er)科夫鏈結合(he)(he)起來(lai)研(yan)(yan)究點(dian)(dian)蝕(shi)(shi)(shi)的(de)萌發過(guo)(guo)(guo)(guo)程(cheng)與生(sheng)(sheng)(sheng)(sheng)長(chang)過(guo)(guo)(guo)(guo)程(cheng)。在此基(ji)礎(chu)上,Valor等將點(dian)(dian)蝕(shi)(shi)(shi)萌生(sheng)(sheng)(sheng)(sheng)和生(sheng)(sheng)(sheng)(sheng)長(chang)的(de)隨機性(xing)結合(he)(he)起來(lai)研(yan)(yan)究,點(dian)(dian)蝕(shi)(shi)(shi)萌生(sheng)(sheng)(sheng)(sheng)采用非齊(qi)(qi)次Poisson過(guo)(guo)(guo)(guo)程(cheng)模(mo)擬(ni),其中點(dian)(dian)蝕(shi)(shi)(shi)誘導時間被(bei)認(ren)為服從Weibull分布(bu);采用非齊(qi)(qi)次Markov過(guo)(guo)(guo)(guo)程(cheng)模(mo)擬(ni)點(dian)(dian)蝕(shi)(shi)(shi)坑的(de)生(sheng)(sheng)(sheng)(sheng)長(chang),極值統計被(bei)用來(lai)找出(chu)最大點(dian)(dian)蝕(shi)(shi)(shi)坑的(de)分布(bu),最大點(dian)(dian)蝕(shi)(shi)(shi)坑的(de)分布(bu)受多個點(dian)(dian)蝕(shi)(shi)(shi)萌生(sheng)(sheng)(sheng)(sheng)和生(sheng)(sheng)(sheng)(sheng)長(chang)的(de)影響;筆者通(tong)過(guo)(guo)(guo)(guo)試(shi)驗對(dui)模(mo)型的(de)有效性(xing)進行了驗證。點(dian)(dian)蝕(shi)(shi)(shi)萌生(sheng)(sheng)(sheng)(sheng)的(de)隨機過(guo)(guo)(guo)(guo)程(cheng)模(mo)型是(shi)通(tong)過(guo)(guo)(guo)(guo)實驗統計一(yi)定時間內點(dian)(dian)蝕(shi)(shi)(shi)出(chu)現的(de)數目,建立點(dian)(dian)蝕(shi)(shi)(shi)數量與時間之間的(de)關系(xi),側重于(yu)對(dui)宏觀點(dian)(dian)蝕(shi)(shi)(shi)的(de)研(yan)(yan)究。其缺點(dian)(dian)是(shi)沒有與點(dian)(dian)蝕(shi)(shi)(shi)萌生(sheng)(sheng)(sheng)(sheng)機理很(hen)好地結合(he)(he)起來(lai)。
1. 點蝕萌生的隨機性(xing)
當采用隨機變量模型時,點蝕萌生的隨機性由腐蝕電位和臨界點蝕電位的不確定性引起。在實際生產中,介質一般不除氧,介質被空氣所飽和,認為Po2=0.21MPa,因此,可以把Po2作為常量。溫度T和溶液的pH值是波動較小的變量。ip和io不但與溫度和介質有關,還與鈍化的性質有關,因此,是兩個比較重要而且隨時間變化的變量。臨界點蝕電位φcp是一個隨時間的增加而單調遞減的變量。
根據可靠性理論,把腐蝕電位φcott看成作用在結構上的廣義應力S,臨界點蝕電位φcp是結構的廣義抗力R.結構的功能函數可表示為:

當Φcp<φcott時,點蝕就萌生。應力和強度都是與時間有關的隨機變量,設f(φcott)和f(φcp)分別為應力和強度的概率密度函數,它們隨時間變化情況可用圖2-9所示曲線表示。根據應力-強度干涉理論,兩條曲線干涉面積的大小反映了點蝕萌生概率的小,但兩者在數值上并不相等。

2. 隨(sui)機變量(liang)分布
浙江至德鋼業有限公司只對某一時刻的4個變量進行隨機性分析,數據來源于304L不(bu)銹鋼在貧胺液中的電化學實驗。實驗采用動電位掃描法測極化曲線,掃描速度為10mV/min,因此我們可以把實驗得到的點蝕電位作為體系的臨界點蝕電位。首先假設4個變量都滿足正態分布,根據數據做出頻率直方圖和理論正態分布密度函數圖,如圖2-10所示。再對分布進行卡方檢驗,結果表明4個變量都滿足正態分布。


